Health Risk Assessment of Metals (Cu, Pb, Zn, Cr, Cd, As, Hg, Se) in Angling Fish with Different Lengths Collected from Liuzhou, China
Abstract
1. Introduction
2. Materials and Methods
2.1. Study Sites and Fish Sampling
2.2. Sample Preparation and Analysis
2.3. Assessment Method
2.3.1. Assessment of Metal Pollution
2.3.2. Health Risk Assessment of Fish Consumption
2.4. Statistical Analysis
3. Results and Discussion
3.1. The Concentration of Metals in the Fish Samples
3.1.1. Analysis of Concentration of Metals in the Fish Samples
3.1.2. Correlation Between the Length of Fish and Concentration of Metals
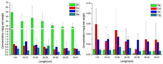
3.2. Concentration of Metals in fish with Different Length Ranges
3.3. Degree of Metals Pollution in Fish with Different Length Ranges
3.4. Health Risk Assessment of Metals in Fish with Different Length Ranges
4. Conclusions
Author Contributions
Funding
Acknowledgments
Conflicts of Interest
References
- Sinha, A.K.; Kumar, V.; Makkar, H.P.S.; De Boeck, G.; Becker, K. Non-starch polysaccharides and their role in fish nutrition—a review. Food Chem. 2011, 127, 1409–1426. [Google Scholar] [CrossRef]
- Gu, Y.G.; Lin, Q.; Wang, X.H.; Du, F.Y.; Yu, Z.L.; Huang, H.H. Heavy metal concentrations in wild fishes captured from the South China sea and associated health risks. Mar. Pollut. Bull. 2015, 96, 508–512. [Google Scholar] [CrossRef] [PubMed]
- Food and Agriculture Organization of the United Nations (FAO). The State of World Fisheries and Aquaculture; FAO: Rome, Italy, 2008. [Google Scholar]
- Lv, D.Z.; Tang, Y.J.; Yuan, H.Q.; Li, J.G. Research on pollution status and risk assessment of environmental hormone in aquaculture seawater of Shenzhen, China. Adv. Mater. Res. 2013, 4, 807–809. [Google Scholar] [CrossRef]
- Liu, X.; Steele, J.C.; Meng, X.Z. Usage, residue, and human health risk of antibiotics in Chinese aquaculture: A review. Environ. Pollut. 2017, 223, 161–169. [Google Scholar] [CrossRef] [PubMed]
- Liu, J.L.; Xu, X.R.; Ding, Z.H.; Peng, J.X.; Jin, M.H.; Wang, Y.S.; Hong, Y.G.; Yue, W.Z. Heavy metals in wild marine fish from South China Sea: Levels, tissue- and species-specific accumulation and potential risk to humans. Ecotoxicology 2015, 24, 1583–1592. [Google Scholar] [CrossRef]
- Varol, M.; Sünbül, M.R. Multiple approaches to assess human health risks from carcinogenic and non-carcinogenic metals via consumption of five fish species from a large reservoir in Turkey. Sci. Total Environ. 2018, 633, 684–694. [Google Scholar] [CrossRef]
- Zhong, W.; Zhang, Y.; Wu, Z.; Yang, R.; Chen, X.; Yang, J.; Zhu, L. Health risk assessment of heavy metals in freshwater fish in the central and eastern North China. Ecotoxicol. Environ. Saf. 2018, 157, 343–349. [Google Scholar] [CrossRef]
- Miao, X.Y.; Hao, Y.P.; Tang, X.; Xie, Z.Q.; Liu, L.P.; Luo, S.W.; Huang, Q.B.; Zou, S.Z.; Zhang, C.L.; Li, J. Analysis and health risk assessment of toxic and essential elements of the wild fish caught by anglers in Liuzhou as a large industrial city of China. Chemosphere 2020, 243, 125337. [Google Scholar] [CrossRef]
- Alkan, N.; Muammer, A.; Gedik, K. Comparison of metal accumulation in fish species from the southeastern black sea. Bull. Environ. Contam. Toxicol. 2012, 88, 807–812. [Google Scholar] [CrossRef]
- Sackett, D.; Cope, W.; James, R.; Aday, D. The influence of fish length on tissue mercury dynamics: Implications for natural resource management and human health risk. Int. J. Environ. Res. Public Health 2013, 10, 638–659. [Google Scholar] [CrossRef]
- Affandi, F.A.; Ishak, M.Y. Impacts of suspended sediment and metal pollution from mining activities on riverine fish population—a review. Environ. Sci. Pollut. Res. 2019, 26, 16939–16951. [Google Scholar] [CrossRef] [PubMed]
- Canli, M.; Atli, G. The relationships between heavy metal (Cd, Cr, Cu, Fe, Pb, Zn) levels and the size of six Mediterranean fish species. Environ. Pollut. 2003, 121, 129–136. [Google Scholar] [CrossRef]
- Mortazavi, M.S.; Sharifian, S. Metal Concentrations in Two Commercial Fish from Persian Gulf, in Relation to Body Length and Sex. Bull. Environ. Contam. Toxicol. 2012, 89, 450–454. [Google Scholar] [CrossRef] [PubMed]
- Miao, Y.; Kong, X.; Li, C. Distribution, sources, and toxicity assessment of polycyclic aromatic hydrocarbons in surface soils of a heavy industrial city Liuzhou. China. Environ. Monit. Assess. 2018, 190, 164. [Google Scholar] [CrossRef]
- Zhang, Q.H.; Wei, Y.Z.; Cao, J.H.; Yu, S. Heavy metal pollution of the drinking water sources in the Liujiang River Basin, and related health risk assessments. Environ. Sci. 2018, 39, 1598–1607. [Google Scholar]
- Lan, X.L.; Ning, Z.P.; Xiao, Q.X.; Huang, Z.Y.; Liu, Y.Z.; Xiao, T.F.; Zhao, Y.L.; Shi Liang, W.U. Spatial Distribution, Sources and bioavailability of heavy metals in the surface sediments of Longjiang River, Southern China. Environ. Sci. 2018, 39, 748–757. [Google Scholar]
- Fu, L.; Lu, X.; Niu, K.; Tan, J.; Chen, J. Bioaccumulation and human health implications of essential and toxic metals in freshwater products of Northeast China. Sci. Total Environ. 2019, 673, 768–776. [Google Scholar] [CrossRef]
- Liu, Y.; Fu, Q.; Gao, J.; Xu, W.G.; Qin, W.H. Concentrations and safety evaluation of heavy metals in aquatic products of Yancheng, Jiangsu province. Environ. Sci. 2013, 34, 4081–4089. [Google Scholar]
- Zhu, F.; Qu, L.; Fan, W.; Wang, A.; Hao, H.; Li, X.; Yao, S. Study on heavy metal levels and its health risk assessment in some edible fishes from Nansi Lake, China. Environ. Monit. Assess. 2015, 187, 1–13. [Google Scholar] [CrossRef]
- China Food and Drug Administration. National and Food Safety Standard-Maximum Residue Limits of Contaminants in Food (GB 2762-2017); China Standards Press: Beijing, China, 2012.
- General Administration of Quality Supervision. Safety Qualification for Agricultural Product-Safety Requirements for Non-environmental Pollution Aquatic Products (GB 18406.4-2001); China Standards Press: Beijing, China, 2001. [Google Scholar]
- Yap, C.K.; Ismail, A.; Tan, S.G. Background concentrations of Cd, Cu, Pb and Zn in the green-lipped mussel Perna viridis (Linnaeus) from Peninsular Malaysia. Mar. Pollut. Bull. 2003, 46, 1044–1048. [Google Scholar] [CrossRef]
- United States Environmental Protection Agency (EPA). U.S. Risk-Based Concentration Table; EPA: Washington, DC, USA, 2000.
- Jiang, Z.; Xu, N.; Liu, B.; Zhou, L.; Wang, J.; Wang, C.; Dai, B.; Xiong, W. Metal concentrations and risk assessment in water, sediment and economic fish species with various habitat preferences and trophic guilds from Lake Caizi, Southeast China. Ecotoxicol. Environ. Saf. 2018, 157, 1–8. [Google Scholar] [CrossRef]
- Chen, X.; Tang, Z.; Han, Y. Investigation on Dietary Intake and Nutritional Status of Residents in Guangxi Province. China Public Health 2005, 21, 1476–1478. [Google Scholar]
- U.S. EPA. Guidance for Assessing Chemical Contaminant Data for Use in Fish Advisories; EPA: Washington, DC, USA, 2000.
- Wang, Z.; Duan, X.; Liu, P.; Nie, J.; Zhang, J. Human exposure factors of Chinese people in environmental health risk assessment. Res. J. Environ. Sci. 2009, 22, 1164–1170. [Google Scholar]
- Agusa, T.; Kunito, T.; Sudaryanto, A.; Monirith, I.; Kan-Atireklap, S.; Iwata, H.; Ismail, A.; Sanguansin, J.; Muchtar, M.; Tana, T.S. Exposure assessment for trace elements from consumption of marine fish in Southeast Asia. Environ. Pollut. 2007, 145, 766–777. [Google Scholar] [CrossRef] [PubMed]
- Liu, H.; Liu, G.; Wang, S.; Zhou, C.; Yuan, Z.; Da, C. Distribution of heavy metals, stable isotope ratios (δ13C and δ15N) and risk assessment of fish from the Yellow River Estuary, China. Chemosphere 2018, 208, 731–739. [Google Scholar] [CrossRef]
- Zhang, F.F.; Yang, S.Q.; Xu, Y.P.; Zhou, Z.; Huang, Q.H. Contamination of heavy metals in game fishes in Shanghai and fish consumption safety assessment. China Environ. Sci. 2017, 37, 754–760. [Google Scholar]
- Siddiqui, E.; Verma, K.; Pandey, U.; Pandey, J. Metal contamination in seven tributaries of the Ganga River and assessment of human health risk from fish consumption. Arch. Environ. Contam. Toxicol. 2019, 77, 263–278. [Google Scholar] [CrossRef]
- Avigliano, E.; Maichak de Carvalho, B.; Invernizzi, R.; Olmedo, M.; Jasan, R.; Volpedo, A.V. Arsenic, selenium, and metals in a commercial and vulnerable fish from Southwestern Atlantic estuaries: Distribution in water and tissues and public health risk assessment. Environ. Sci. Pollut. Res. Int. 2019, 26, 7994–8006. [Google Scholar] [CrossRef]
- Ali, H.; Khan, E. Assessment of potentially toxic heavy metals and health risk in water, sediments, and different fish species of River Kabul, Pakistan. Hum. Ecol. Risk Assess. 2018, 24, 2101–2118. [Google Scholar] [CrossRef]
- Hosseini, S.M.; Sobhanardakani, S.; Navaei, M.B.; Kariminasab, M.; Aghilinejad, S.M.; Regenstein, J.M. Metal content in caviar of wild Persian sturgeon from the southern Caspian Sea. Environ. Sci. Pollut. Res. 2013, 20, 5839–5843. [Google Scholar] [CrossRef]
- Hosseini, S.V.; Sobhanardakani, S.; Tahergorabi, R.; Delfieh, P. Selected heavy metals analysis of Persian sturgeon’s ( Acipenser persicus ) caviar from southern caspian sea. Biol. Trace Elem. Res. 2013, 154, 357–362. [Google Scholar] [CrossRef] [PubMed]
- Sobhanardakani, S. Potential health risk assessment of heavy metals via consumption of caviar of Persian sturgeon. Mar. Pollut. Bull. 2017, 123, 34–38. [Google Scholar] [CrossRef] [PubMed]
- Sobhanardakani, S. Tuna fish and common kilka: Health risk assessment of metal pollution through consumption of canned fish in Iran. J. Consum. Protect. Food Saf. 2017, 12, 1–7. [Google Scholar] [CrossRef]
- Sobhanardakani, S.; Tayebi, L.; Hosseini, S.V. Health risk assessment of arsenic and heavy metals (Cd, Cu, Co, Pb, and Sn) through consumption of caviar of Acipenser persicus from Southern Caspian Sea. Environ. Sci. Pollut. Res. Int. 2018, 25, 2664–2671. [Google Scholar] [CrossRef] [PubMed]
- Morshdy, A.E.M.A.; Darwish, W.S.; Daoud, J.R.M.; Sebak, M.A.M. Estimation of metal residues in oreochromis niloticus and mugil cephalus intended for human consumption in Egypt: A health risk assessment study with some reduction trials. J. Verbrauch. Lebensm. 2019, 14, 81–91. [Google Scholar] [CrossRef]
- Darwish, W.S.; Ikenaka, Y.; Nakayama, S.; Ishizuka, M. The effect of copper on the mrRNA expression profile of xenobiotic-metabolizing enzymes in cultured rat H4-II-E cells. Biol. Trace Elem. Res. 2014, 158, 243–248. [Google Scholar] [CrossRef]
- Hajahmadi, Z.; Younesi, H.; Bahramifar, N.; Khakpour, H.; Pirzadeh, K. Multicomponent isotherm for biosorption of Zn(II), CO(II) and Cd(II) from ternary mixture onto pretreated dried Aspergillus niger biomass. Water Resour. Ind. 2015, 11, 71–80. [Google Scholar] [CrossRef]
- Niri, A.S.; Sharifian, S.; Ahmadi, R. Assessment of Metal Accumulation in Two Fish Species (Tenualosa ilisha and Otolithes ruber), Captured from the North of Persian Gulf. Bull. Environ. Contam. Toxicol. 2015, 94, 71–76. [Google Scholar] [CrossRef]
- Iribar, V.; Izco, F.; Tames, P.; Antigüedad, I.; Silva, A.D. Water contamination and remedial measures at the Troya abandoned Pb-Zn mine (The Basque Country, Northern Spain). Environ. Geol. 2000, 39, 800–806. [Google Scholar] [CrossRef]
- Jones, A.; Rogerson, M.; Greenway, G.; Potter, H.A.; Mayes, W.M. Mine water geochemistry and metal flux in a major historic Pb-Zn-F orefield, the Yorkshire Pennines, UK. Environ. Sci. Pollut. Res. Int. 2013, 20, 7570–7581. [Google Scholar] [CrossRef]
- Lin, W.J. Characteristics and control of Cr pollution in electroplating wastewater. Environ. Sci. Technol. 2010, 33, 156–158. [Google Scholar]
- Zhao, X.M.; Yao, L.A.; Ma, Q.L.; Zhou, G.J.; Wang, L.; Fang, Q.L.; Xu, Z.C. Distribution and ecological risk assessment of cadmium in water and sediment in Longjiang River, China: Implication on water quality management after pollution accident. Chemosphere 2017, 194, 107. [Google Scholar] [CrossRef] [PubMed]
- Zhou, J.M.; Jiang, Z.C.; Xu, G.L.; Qin, X.Q.; Huang, Q.B.; Zhang, L.K. Distribution and health risk assessment of metals in groundwater around iron mine. China Environ. Sci. 2019, 39, 1934–1944. [Google Scholar]
- Papagiannis, I.; Kagalou, I.; Leonardos, J.; Petridis, D.; Kalfakakou, V. Copper and zinc in four freshwater fish species from Lake Pamvotis (Greece). Environ. Int. 2004, 30, 357–362. [Google Scholar] [CrossRef]





| Species | Station | Length (cm) | Weight (g) | Number | Feeding habit | Habitat | ||
|---|---|---|---|---|---|---|---|---|
| Min | Max | Min | Max | |||||
| Pseudohemiculter dispar | S1, S2, S4 and S5 | 5 | 37 | 20.6 | 105.9 | 106 | Omnivore | Pelagic |
| Cyprinus carpio | S2, S3 and S5 | 8 | 41 | 26.3 | 887.0 | 21 | Omnivore | Demersal |
| Ervthroculter hypselonotus | S1, S2 and S3 | 6 | 34 | 38.7 | 79.2 | 19 | Carnivore | Pelagic |
| Others | S2, S3 and S5 | 8.5 | 51 | 19.3 | 1705.2 | 25 | Omnivore, Carnivore and Herbivore | Pelagic, Demersal and Shallow area |
| Parameter | Children | Adult | Reference | |
|---|---|---|---|---|
| Ingestion Rate (IRd, g/day) | 59.6 | 59.6 | [26] | |
| Exposure Frequency (EF, days/year) | 365 | 365 | [18,27] | |
| Exposure Duration (ED, year) | 6 | 70 | [18,27] | |
| Body Weigh (BW, Kg) 1 | 30 | 60 | [18,28] | |
| Average Time (AT. day/year) | 6 × 365 | 70 × 365 | [18,27] | |
| Oral Reference Dose (RfD, μg/kg/day) | Cu | 40 | 40 | [25,29] |
| Pb | 4 | |||
| Zn | 300 | 300 | ||
| Cr | 3 | 3 | ||
| Cd | 1 | 1 | ||
| As 2 | 0.3 | 0.3 | ||
| Hg | 0.1 | 0.1 | ||
| Se | 5 | 5 |
| Region | Cu | Pb | Zn | Cr | Cd | As | Hg | Se | |
|---|---|---|---|---|---|---|---|---|---|
| Current study | 0.245–2.002 | 0.0041–0.044 | 7.532–109.294 | 0.040–4.226 | 0.001–0.196 | 0.010–0.056 | 0.002–0.039 | 0.052–1.971 | |
| 0.660 | 0.009 | 31.649 | 0.796 | 0.034 | 0.030 | 0.010 | 0.422 | ||
| Yellow River Estuary, China [30] | 0.15–2.88 | 0.04–0.79 | 7.06–29.8 | 0.02–2.4 | 0.001–0.09 | - | - | - | |
| Northeast China [18] | 1.8 | 0.062 | 12.6 | 0.35 | 0.0047 | 0.17 | 0.13 | - | |
| Shanghai, China [31] | 0.15–12.3 | nd–1.43 | 4.3–85.7 | 0.44–2.68 | nd–0.31 | nd–0.47 | 0.02–0.42 | - | |
| 2.95 | 0.35 | 34.3 | 1.23 | 0.06 | 0.18 | 0.15 | - | ||
| Ganga River, India [32] | 1.12–2.14 | 0.34–2.03 | 9.43–22.38 | 2.41–4.90 | 0.22–0.71 | - | - | - | |
| Río de la Plata Estuary, Brazil [33] | - | - | 17.6 | - | - | 14.5 | - | 0.4 | |
| River Kabul, Pakistan [34] | - | 0.476 | - | 0.29 | 0.028 | - | - | - | |
| MRL | China | 50 | 0.5 | NA | 2.0 | 0.1 | 0.5 | 0.3 | NA |
| International | 30 | 0.5 | 50 | 8.0 | 0.05 | 1.0 | 0.5 | 2.0 | |
| Factor | Length (cm) | Weight (g) | Cu | Pb | Zn | Cr | Cd | As | Hg | Se |
|---|---|---|---|---|---|---|---|---|---|---|
| Length (cm) | 1.000 | 0.718 ** | −0.347 ** | −0.196 | −0.377 ** | −0.248 * | −0.202 | −0.208 | −0.098 | −0.051 |
| Weight (g) | - | 1.000 | −0.263 * | −0.156 | −0.239 * | −0.225 | −0.242 * | −0.216 | −0.197 | −0.083 |
| Cu | - | - | 1.000 | 0.201 | 0.524 ** | 0.237 * | 0.380 ** | 0.317 ** | −0.032 | 0.092 |
| Pb | - | - | - | 1.000 | 0.111 | 0.310 ** | 0.127 | 0.034 | 0.195 | −0.155 |
| Zn | - | - | - | - | 1.000 | 0.062 | 0.515 ** | 0.050 | 0.178 | 0.251 * |
| Cr | - | - | - | - | - | 1.000 | −0.109 | 0.125 | −0.008 | −0.295 * |
| Cd | - | - | - | - | - | - | 1.000 | 0.038 | 0.419 ** | 0.345 ** |
| As | - | - | - | - | - | - | - | 1.000 | −0.115 | 0.206 |
| Hg | - | - | - | - | - | - | - | - | 1.000 | 0.249 * |
| Se | - | - | - | - | - | - | - | - | - | 1.000 |
| Length (cm) | Cu | Pb | Zn | Cr | Cd | As | Hg | Se | TTHQ |
|---|---|---|---|---|---|---|---|---|---|
| Adults | |||||||||
| <10 | 0.006–0.033 | 0.0010–0.0056 | 0.053–0.207 | 0.098–0.498 | 0.007–0.107 | 0.033–0.135 | 0.026–0.142 | 0.040–0.115 | 0.309–0.909 |
| 0.202 | 0.0027 | 0.161 | 0.226 | 0.058 | 0.098 | 0.094 | 0.091 | 0.752 | |
| 10–15 | 0.006–0.034 | 0.0003–0.0109 | 0.032–0.234 | 0.021–1.400 | 0.002–0.112 | 0.044–0.159 | 0.019–0.201 | 0.010–0.152 | 0.269–1.688 |
| 0.017 | 0.0023 | 0.098 | 0.344 | 0.026 | 0.100 | 0.085 | 0.066 | 0.738 | |
| 15–20 | 0.010–0.497 | 0.0002–0.0066 | 0.032–0.362 | 0.013–0.709 | 0.012–0.195 | 0.068–0.185 | 0.040–0.368 | 0.048–0.391 | 0.362–1.614 |
| 0.018 | 0.0025 | 0.123 | 0.254 | 0.047 | 0.115 | 0.147 | 0.107 | 0.814 | |
| 20–25 | 0.011–0.294 | 0.0002–0.0050 | 0.034–0.245 | 0.055–0.363 | 0.006–0.087 | 0.059–0.120 | 0.022–0.389 | 0.031–0.373 | 0.387–1.008 |
| 0.015 | 0.0018 | 0.099 | 0.161 | 0.025 | 0.096 | 0.126 | 0.138 | 0.662 | |
| 25–30 | 0.010–0.011 | 0.0006–0.0007 | 0.044–0.830 | 0.066–0.433 | 0.008–0.013 | 0.048–0.142 | 0.028–0.135 | 0.022–0.067 | 0.244–0.680 |
| 0.010 | 0.0006 | 0.069 | 0.201 | 0.010 | 0.095 | 0.064 | 0.042 | 0.492 | |
| 30–35 | 0.008–0.016 | 0.0009–0.0035 | 0.028–0.114 | 0.079–0.467 | 0.002–0.097 | 0.066–0.105 | 0.024–0.153 | 0.034–0.111 | 0.286–0.852 |
| 0.012 | 0.0020 | 0.060 | 0.170 | 0.029 | 0.084 | 0.063 | 0.060 | 0.480 | |
| 35–51 | 0.006–0.204 | 0.0004–0.0026 | 0.029–0.087 | 0.099–0.154 | 0.001–0.074 | 0.050–0.085 | 0.020–0.199 | 0.039–0.078 | 0.251–0.670 |
| 0.012 | 0.0013 | 0.057 | 0.118 | 0.027 | 0.071 | 0.082 | 0.054 | 0.422 | |
| Children | |||||||||
| <10 | 0.012–0.066 | 0.0019–0.4133 | 0.106–0.413 | 0.196–0.995 | 0.014–0.214 | 0.066–0.270 | 0.053–0.285 | 0.081–0.231 | 0.618–1.817 |
| 0.040 | 0.0054 | 0.322 | 0.453 | 0.116 | 0.195 | 0.189 | 0.183 | 1.503 | |
| 10–15 | 0.012–0.069 | 0.0006–0.0217 | 0.065–0.468 | 0.042–2.799 | 0.003–0.224 | 0.089–0.319 | 0.039–0.402 | 0.021–0.304 | 0.537–3.376 |
| 0.034 | 0.0047 | 0.196 | 0.688 | 0.052 | 0.200 | 0.170 | 0.131 | 1.476 | |
| 15–20 | 0.021–0.099 | 0.0004–0.0131 | 0.065–0.724 | 0.027–1.418 | 0.024–0.390 | 0.137–0.371 | 0.079–0.737 | 0.096–0.783 | 0.724–3.229 |
| 0.035 | 0.0050 | 0.245 | 0.509 | 0.095 | 0.231 | 0.294 | 0.214 | 1.627 | |
| 20–25 | 0.022–0.059 | 0.0005–0.0101 | 0.068–0.490 | 0.111–0.726 | 0.011–0.175 | 0.118–0.239 | 0.044–0.777 | 0.062–0.747 | 0.774–2.017 |
| 0.031 | 0.0037 | 0.197 | 0.321 | 0.051 | 0.192 | 0.252 | 0.276 | 1.324 | |
| 25–30 | 0.019–0.022 | 0.0012–0.0014 | 0.088–0.166 | 0.133–0.866 | 0.017–0.026 | 0.096–0.284 | 0.055–0.270 | 0.044–0.133 | 0.489–1.360 |
| 0.020 | 0.0013 | 0.139 | 0.402 | 0.021 | 0.189 | 0.127 | 0.084 | 0.984 | |
| 30–35 | 0.015–0.033 | 0.0017–0.0071 | 0.057–0.229 | 0.157–0.934 | 0.004–0.194 | 0.132–0.211 | 0.047–0.305 | 0.068–0.222 | 0.572–1.705 |
| 0.024 | 0.0040 | 0.119 | 0.339 | 0.059 | 0.168 | 0.126 | 0.120 | 0.960 | |
| 35–51 | 0.012–0.041 | 0.0007–0.0053 | 0.058–0.174 | 0.198–0.308 | 0.003–0.148 | 0.101–0.170 | 0.041–0.398 | 0.078–0.156 | 0.501–1.399 |
| 0.025 | 0.0027 | 0.113 | 0.235 | 0.055 | 0.142 | 0.165 | 0.107 | 0.844 | |
© 2020 by the authors. Licensee MDPI, Basel, Switzerland. This article is an open access article distributed under the terms and conditions of the Creative Commons Attribution (CC BY) license (http://creativecommons.org/licenses/by/4.0/).
Share and Cite
Li, J.; Miao, X.; Hao, Y.; Xie, Z.; Zou, S.; Zhou, C. Health Risk Assessment of Metals (Cu, Pb, Zn, Cr, Cd, As, Hg, Se) in Angling Fish with Different Lengths Collected from Liuzhou, China. Int. J. Environ. Res. Public Health 2020, 17, 2192. https://doi.org/10.3390/ijerph17072192
Li J, Miao X, Hao Y, Xie Z, Zou S, Zhou C. Health Risk Assessment of Metals (Cu, Pb, Zn, Cr, Cd, As, Hg, Se) in Angling Fish with Different Lengths Collected from Liuzhou, China. International Journal of Environmental Research and Public Health. 2020; 17(7):2192. https://doi.org/10.3390/ijerph17072192
Chicago/Turabian StyleLi, Jun, Xiongyi Miao, Yupei Hao, Zhouqing Xie, Shengzheng Zou, and Changsong Zhou. 2020. "Health Risk Assessment of Metals (Cu, Pb, Zn, Cr, Cd, As, Hg, Se) in Angling Fish with Different Lengths Collected from Liuzhou, China" International Journal of Environmental Research and Public Health 17, no. 7: 2192. https://doi.org/10.3390/ijerph17072192
APA StyleLi, J., Miao, X., Hao, Y., Xie, Z., Zou, S., & Zhou, C. (2020). Health Risk Assessment of Metals (Cu, Pb, Zn, Cr, Cd, As, Hg, Se) in Angling Fish with Different Lengths Collected from Liuzhou, China. International Journal of Environmental Research and Public Health, 17(7), 2192. https://doi.org/10.3390/ijerph17072192
