Insight Into the Formation Paths of Methyl Bromide From Syringic Acid in Aqueous Bromide Solutions Under Simulated Sunlight Irradiation
Abstract
1. Introduction
2. Materials and Methods
2.1. Reagents
2.2. Irradiation Experiments
2.3. Analysis Methods
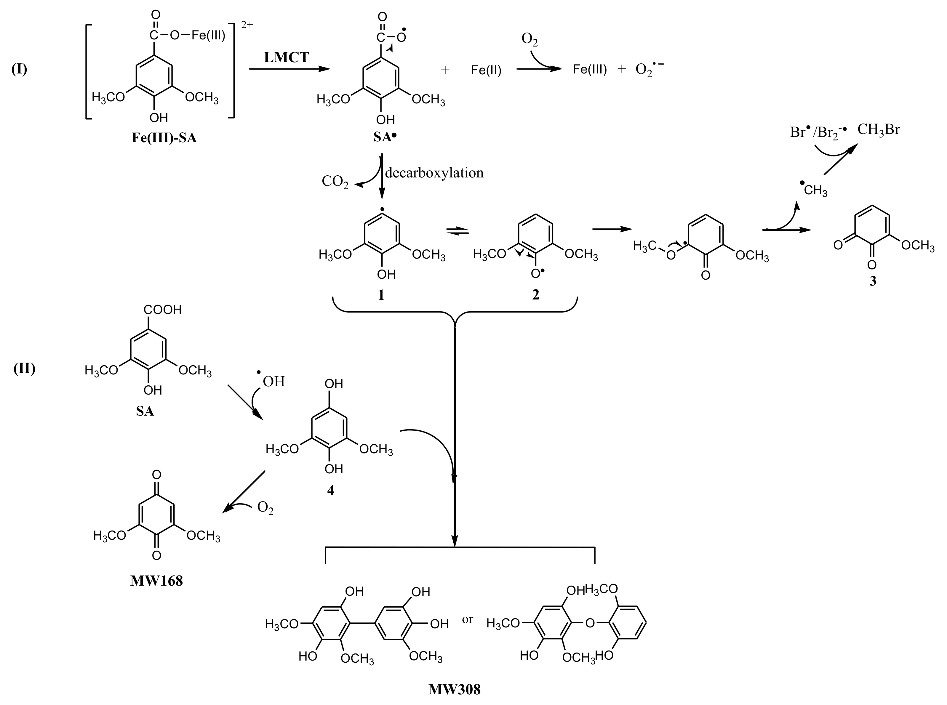
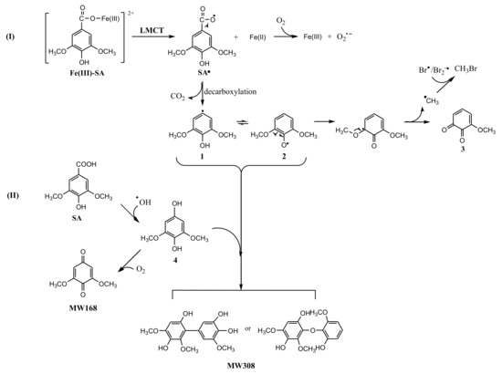
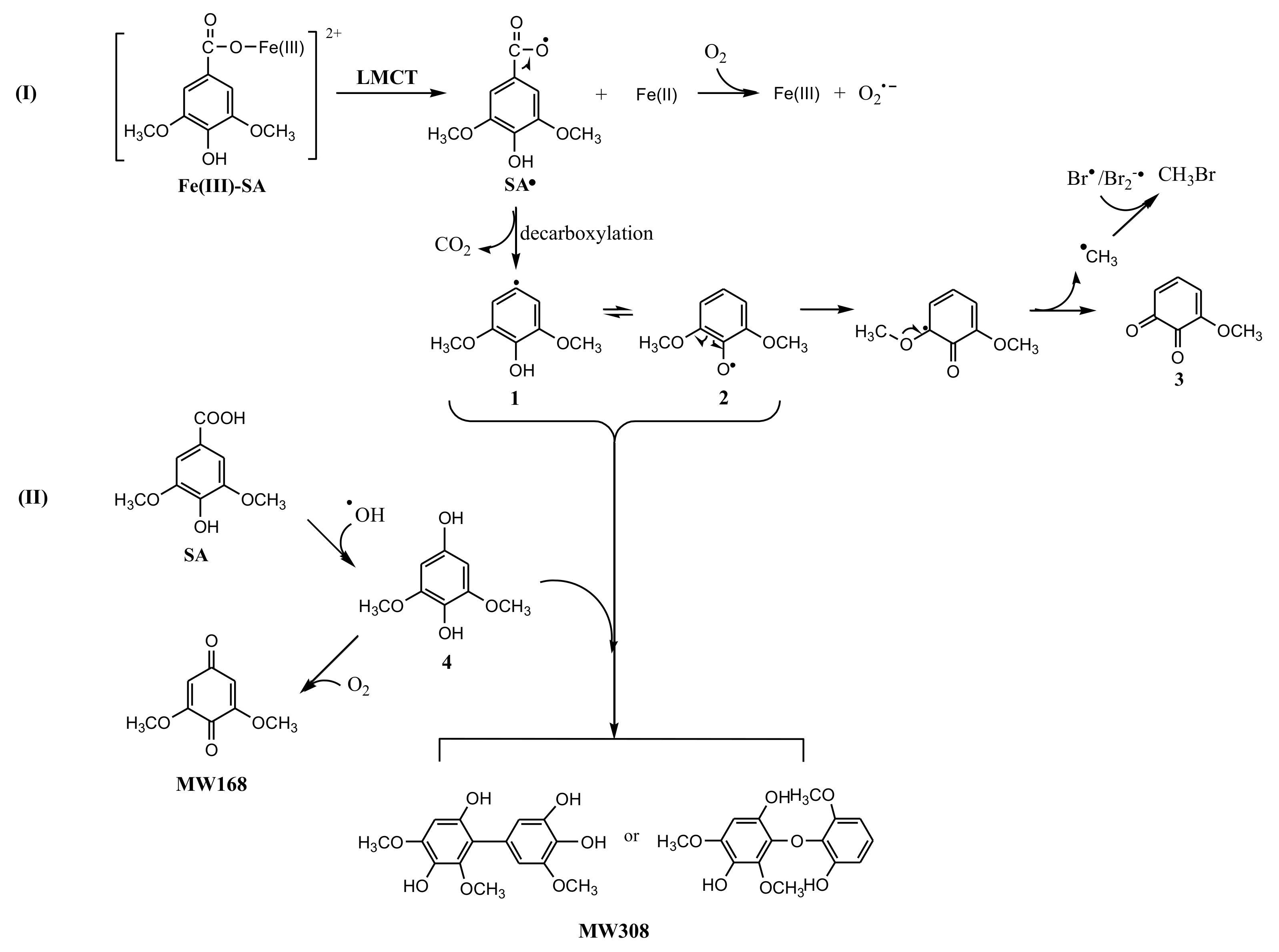
3. Results and Discussion
3.1. Formation of CH3Br from SA in Aqueous Bromide Solutions
3.2. Effect of Chloride on the Formation of CH3Br
3.3. Formation of CH3Br and CH3Cl in the Presence of Ferric Ions
4. Conclusions
Supplementary Materials
Author Contributions
Funding
Conflicts of Interest
References
- Schauffler, S.M.; Atlas, E.L.; Blake, D.R.; Flocke, F.; Lueb, R.A.; Lee-Taylor, J.M.; Stroud, V.; Travnicek, W. Distributions of brominated organic compounds in the troposphere and lower stratosphere. J. Geophys. Res. 1999, 104, 513–535. [Google Scholar] [CrossRef]
- Butler, J.H. Better budgets for methyl halides. Nature 2000, 403, 260–261. [Google Scholar] [CrossRef] [PubMed]
- WMO. Scientific Assessment of Ozone Depletion: 2010. In Global Ozone Research and Monitoring Project-Report No. 52; WMO: Geneva, Switzerland, 2011. [Google Scholar]
- Yvon-Lewis, S.A.; Saltzman, E.S.; Montzka, S.A. Recent trends in atmospheric methyl bromide: Analysis of post-Montreal Protocol variability. Atmos. Chem. Phys. 2009, 9, 5963–5974. [Google Scholar] [CrossRef]
- Rhew, R.C.; Miller, B.R.; Weiss, R.F. Natural methyl bromide and methyl chloride emissions from coastal salt marshes. Nature 2000, 403, 292–295. [Google Scholar] [CrossRef] [PubMed]
- Redeker, K.R.; Wang, N.Y.; Low, J.C.; McMillan, A.; Tyler, S.C.; Cicerone, R.J. Emissions of methyl halides and methane from rice paddies. Science 2000, 290, 966–969. [Google Scholar] [CrossRef] [PubMed]
- Andreae, M.O.; Merlet, P. Emission of trace gases and aerosols from biomass burning. Glob. Biogeochem. Cycles 2001, 15, 955–966. [Google Scholar] [CrossRef]
- King, D.B.; Butler, J.H.; Yvon-Lewis, S.A.; Cotton, S.A. Predicting oceanic methyl bromide saturation from SST. Geophys. Res. Lett. 2002, 29, 2199. [Google Scholar] [CrossRef]
- Butler, J.H.; King, D.B.; Lobert, J.M.; Montzka, S.A.; Yvon-Lewis, S.A.; Hall, B.D.; Warwick, N.J.; Mondeel, D.J.; Aydin, M.; Elkins, J.W. Oceanic distributions and emissions of short-lived halocarbons. Glob. Biogeochem. Cycles 2007, 21, GB1023. [Google Scholar] [CrossRef]
- Hu, L.; Yvon-Lewis, S.A.; Liu, Y.; Salisbury, J.E.; Julia, E.O. Coastal emissions of methyl bromide and methyl chloride along the eastern Gulf of Mexico and the east coast of the United States. Glob. Biogeochem. Cycles 2010, 24, GB1007. [Google Scholar] [CrossRef]
- Yuan, D.; Zhen, H.; Yang, G.P. Spatiotemporal distributions of halocarbons in the marine boundary air and surface seawater of the Changjiang estuary and its adjacent East China Sea. Mar. Pollut. Bull. 2019, 140, 227–240. [Google Scholar] [CrossRef]
- Butler, A.; Sandy, M. Mechanistic considerations of halogenating enzymes. Nature 2009, 460, 848–854. [Google Scholar] [CrossRef] [PubMed]
- Hamilton, J.T.G.; McRoberts, W.C.; Keppler, F.; Kalin, R.M.; Harper, D.B. Chloride methylation by plant pectin: An efficient environmentally significant process. Science 2003, 301, 206–209. [Google Scholar] [CrossRef]
- Horst, A.; Holmstrand, H.; Andersson, P.; Thornton, B.F.; Wishkerman, A.; Keppler, F.; Gustafsson, O. Stable bromine isotopic composition of methyl bromide released from plant matter. Geochim. Cosmochim. Acta 2014, 125, 186–195. [Google Scholar] [CrossRef]
- Wishkerman, A.; Gebhardt, S.; McRoberts, C.W.; Hamilton, J.T.G.; Williams, J.; Keppler, F. Abiotic methyl bromide formation from vegetation, and its strong dependence on temperature. Environ. Sci. Technol. 2008, 42, 6837–6842. [Google Scholar] [CrossRef] [PubMed]
- Keppler, F.; Eiden, R.; Niedan, V.; Pracht, J.; Schöler, H.F. Halocarbons produced by natural oxidation processes during degradation of organic matter. Nature 2000, 403, 298–301. [Google Scholar] [CrossRef]
- Moore, R.M. A photochemical source of methyl chloride in saline waters. Environ. Sci. Technol. 2008, 42, 1933–1937. [Google Scholar] [CrossRef]
- Wang, W.; He, C.; Gao, Y.; Zhang, Y.; Shi, Q. Isolation and characterization of hydrophilic dissolved organic matter in waters by ion exchange solid phase extraction followed by high resolution mass spectrometry. Environ. Chem. Lett. 2019, 17, 1857–1866. [Google Scholar] [CrossRef]
- McNeill, K.; Canonica, S. Triplet state dissolved organic matter in aquatic photochemistry: Reaction mechanisms, substrate scope, and photophysical properties. Environ. Sci. Process. Impacts 2016, 18, 1381–1399. [Google Scholar] [CrossRef]
- Sandron, S.; Rojas, A.; Wilson, R.; Davies, N.W.; Haddad, P.R.; Shellie, R.A.; Nesterenko, P.N.; Kelleher, B.P.; Paull, B. Chromatographic methods for the isolation, separation and characterisation of dissolved organic matter. Environ. Sci. Process. Impacts 2015, 17, 1531–1567. [Google Scholar] [CrossRef]
- Glover, C.M.; Rosario-Ortiz, F.L. Impact of halides on the photoproduction of reactive intermediates from organic matter. Environ. Sci. Technol. 2013, 47, 13949–13956. [Google Scholar] [CrossRef]
- Brigante, M.; Minella, M.; Mailhot, G.; Maurino, V.; Minero, C.; Vione, D. Formation and reactivity of the dichloride radical (Cl2−•) in surface waters: A modelling approach. Chemosphere 2014, 95, 464–469. [Google Scholar] [CrossRef] [PubMed]
- Mylon, S.E.; Chen, K.L.; Elimelech, M. Influence of natural organic matter and ionic composition on the kinetics and structure of hematite colloid aggregation: Implications to iron depletion in estuaries. Langmuir 2004, 20, 9000–9006. [Google Scholar] [CrossRef] [PubMed]
- Méndez-Díaz, J.D.; Shimabuku, K.K.; Ma, J.; Enumah, Z.O.; Pignatello, J.J.; Mitch, W.A.; Dodd, M.C. Sunlight-driven photochemical halogenation of dissolved organic matter in seawater: A natural abiotic source of organobromine and organoiodine. Environ. Sci. Technol. 2014, 48, 7418–7427. [Google Scholar] [CrossRef] [PubMed]
- Moore, R.M.; Zafiriou, O.C. Photochemical production of methyl iodide in seawater. J. Geophys. Res. 1994, 99, 16415–16420. [Google Scholar] [CrossRef]
- Moore, R.M. Methyl halide production and loss rates from field incubation experiments. Mar. Chem. 2006, 101, 213–219. [Google Scholar] [CrossRef]
- Richter, U.; Wallace, D.W.R. Production of methyl iodide in the tropical Atlantic Ocean. Geophys. Res. Lett. 2004, 31, L23S03. [Google Scholar] [CrossRef]
- Stemmler, I.; Hense, I.; Quack, B.; Maier-Reimer, E. Methyl iodide production in the open ocean. Biogeosciences 2014, 11, 4459–4476. [Google Scholar] [CrossRef][Green Version]
- Dallin, E.; Wan, P.; Krogh, E.; Gill, C.; Moore, R.M. New pH-dependent photosubstitution pathways of syringic acid in aqueous solution: Relevance in environmental photochemistry. J. Photochem. Photobiol. A Chem. 2009, 207, 297–305. [Google Scholar] [CrossRef]
- Yang, Q.; Guo, Y.; Yue, E.; Zhang, S.; Blatchley, E.R., III; Li, J. Methyl chloride produced during UV254 irradiation of saline water. J. Hazard. Mater. 2020, 384, 121263. [Google Scholar] [CrossRef]
- Benner, R.; Opsahl, S. Molecular indicators of the sources and transformations of dissolved organic matter in the Mississippi river plume. Org. Geochem. 2001, 32, 597–611. [Google Scholar] [CrossRef]
- Mekic, M.; Loisel, G.; Zhou, W.; Jiang, B.; Vione, D.; Gligorovski, S. Ionic-strength effects on the reactive uptake of ozone on aqueous pyruvic acid: Implications for air-sea ozone deposition. Environ. Sci. Technol. 2018, 52, 12306–12315. [Google Scholar] [CrossRef] [PubMed]
- Carpenter, L.J.; Nightingale, P.D. Chemistry and release of gases from the surface ocean. Chem. Rev. 2015, 115, 4015–4034. [Google Scholar] [CrossRef] [PubMed]
- Flury, M.; Papritz, A. Bromide in the natural environment: Occurrence and toxicity. J. Environ. Qual. 1993, 22, 747–758. [Google Scholar] [CrossRef]
- Voelker, B.M.; Morel, F.M.M.; Sulzberger, B. Iron redox cycling in surface waters: Effects of humic substances and light. Environ. Sci. Technol. 1997, 31, 1004–1011. [Google Scholar] [CrossRef]
- Yang, Y.; Pignatello, J.J. Participation of the halogens in photochemical reactions in natural and treated waters. Molecules 2017, 22, 1684. [Google Scholar] [CrossRef]
- Zhang, K.; Parker, K.M. Halogen radical oxidants in natural and engineered aquatic systems. Environ. Sci. Technol. 2018, 52, 9579–9594. [Google Scholar] [CrossRef]
- Debbache, I.G.N.; Dekkiche, B.A.; Seraghni, N.; Sehili, T.; Marín, Z.; Santaballa, J.A.; Canle, M. Fe (III)-citrate enhanced sunlight-driven photocatalysis of aqueous Carbamazepine. J. Photochem. Photobiol. A Chem. 2019, 378, 147–155. [Google Scholar]
- Singh, K.; Kumar, A. Kinetics of complex formation of Fe (III) with syringic acid: Experimental and theoretical study. Food Chem. 2018, 265, 96–100. [Google Scholar] [CrossRef]
- Liu, H.; Pu, Y.; Tong, T.; Zhu, X.; Sun, B.; Zhang, X. Photochemical generation of methyl chloride from humic aicd: Impacts of precursor concentration, solution pH, solution salinity and ferric ion. Int. J. Environ. Res. Public Health 2020, 17, 503. [Google Scholar] [CrossRef]
- Parker, K.M.; Mitch, W.A. Halogen radicals contribute to photooxidation in coastal and estuarine waters. Proc. Natl. Acad. Sci. USA 2016, 113, 5868–5873. [Google Scholar] [CrossRef]
- Zafiriou, O.C. Sources and reactions of OH and daughter radicals in seawater. J. Geophys. Res. 1974, 79, 4491–4497. [Google Scholar] [CrossRef]
- Zhou, X.; Mopper, K. Determination of photochemically produced hydroxyl radicals in seawater and freshwater. Mar. Chem. 1990, 30, 71–88. [Google Scholar] [CrossRef]
- Sato, N.; Hamamoto, K.; Kurihara, M.; Abe, M.; Hashimoto, S. Methyl halide production by cultures of marine thraustochytrids, Aurantiochytrium sp., Botryochytrium radiatum, and Schizochytrium sp. Mar. Chem. 2019, 208, 95–102. [Google Scholar] [CrossRef]
- Yan, G.; Ding, Q.; Gao, X. The effect of temperature, salinity and light Intensity on growth and methyl halides production of Phaeocystis globose. Period. Ocean. Univ. China 2019, 49, 67–73. [Google Scholar]








© 2020 by the authors. Licensee MDPI, Basel, Switzerland. This article is an open access article distributed under the terms and conditions of the Creative Commons Attribution (CC BY) license (http://creativecommons.org/licenses/by/4.0/).
Share and Cite
Liu, H.; Tong, T.; Pu, Y.; Sun, B.; Zhu, X.; Yan, Z. Insight Into the Formation Paths of Methyl Bromide From Syringic Acid in Aqueous Bromide Solutions Under Simulated Sunlight Irradiation. Int. J. Environ. Res. Public Health 2020, 17, 2081. https://doi.org/10.3390/ijerph17062081
Liu H, Tong T, Pu Y, Sun B, Zhu X, Yan Z. Insight Into the Formation Paths of Methyl Bromide From Syringic Acid in Aqueous Bromide Solutions Under Simulated Sunlight Irradiation. International Journal of Environmental Research and Public Health. 2020; 17(6):2081. https://doi.org/10.3390/ijerph17062081
Chicago/Turabian StyleLiu, Hui, Tong Tong, Yingying Pu, Bing Sun, Xiaomei Zhu, and Zhiyu Yan. 2020. "Insight Into the Formation Paths of Methyl Bromide From Syringic Acid in Aqueous Bromide Solutions Under Simulated Sunlight Irradiation" International Journal of Environmental Research and Public Health 17, no. 6: 2081. https://doi.org/10.3390/ijerph17062081
APA StyleLiu, H., Tong, T., Pu, Y., Sun, B., Zhu, X., & Yan, Z. (2020). Insight Into the Formation Paths of Methyl Bromide From Syringic Acid in Aqueous Bromide Solutions Under Simulated Sunlight Irradiation. International Journal of Environmental Research and Public Health, 17(6), 2081. https://doi.org/10.3390/ijerph17062081
 
        


