Public Opinion Polarization by Individual Revenue from the Social Preference Theory
Abstract
1. Introduction
2. Literature Review
3. Model Construction
3.1. Social Mainstream Revenue Us
3.2. Viewpoint Expression Revenue Uo
3.3. Individual Interaction Revenue Uf
3.3.1. The Calculation of the Intimacy Degree hij
3.3.2. The Calculation of the Friendliness Degree gij
3.4. The Total Interaction Revenue U
3.5. The Adoption of Social Preference Theory
3.5.1. Modification of the Total Individual Revenue
3.5.2. Modification of the Intimacy Degree
4. Simulation Experiment
4.1. The Influences of Different Social Preferences on Public Opinion Polarization Effects
4.2. The Analysis of Interaction Modes among Individuals with Different Preferences
4.3. The Influence of Individual Revenue on Public Opinion Polarization
4.3.1. The Influences of Different Preferences on Individual Revenue
4.3.2. The Influences of Individual Revenue on Public Opinion Polarization
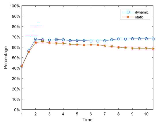
4.4. The Influences of Dynamic Changes of Individual Preferences on Public Opinion Polarization
5. A Real Case Study
6. Conclusions
Author Contributions
Funding
Conflicts of Interest
References
- Sunstein, C.R. The law of group polarization. J. Political Philos. 2002, 10, 175–195. [Google Scholar] [CrossRef]
- Allcott, H.; Gentzkow, M. Social Mediaand Fake Newsinthe 2016 Election. J. Econ. Perspect. 2017, 31, 211–235. [Google Scholar] [CrossRef]
- Kusmartsev, F.V.; KürtenKarl, E. Physics of the mind: Opinion dynamics and decision making processes based on a binary network model. Int. J. Mod. Phys. B 2008, 22, 4482–4494. [Google Scholar] [CrossRef]
- Parsegov, S.E.; Proskurnikov, A.V.; Tempo, R.; Friedkin, N.E. Novel Multidimensional Models of Opinion Dynamics in Social Networks. IEEE Trans. Autom. Control 2017, 62, 2270–2285. [Google Scholar] [CrossRef]
- Rabin, M. Incooperating Fairness into Game Theory and Economics. Am. Econ. Rev. 1993, 83, 1281–1302. [Google Scholar]
- Fehr, E.; Schmidt, K.M. A Theory of Fairness, Competition, and Cooperation. Q. J. Econ. 1999, 114, 817–868. [Google Scholar] [CrossRef]
- Liu, X.; Xu, Y.J.; Herrera, F. Consensus model for large-scale group decision making based on fuzzy preference relation with self-confidence: Detecting and managing overconfidence behaviors. Inf. Fusion 2019, 52, 245–256. [Google Scholar] [CrossRef]
- Dong, Y.C.; Ding, Z.G.; Martinez, L.; Herrera, F. Managing consensus based on leadership in opinion dynamics. Inf. Sci. 2017, 397, 187–205. [Google Scholar] [CrossRef]
- Dandekar, P.; Goel, A.; Lee, D.T. Biased assimilation, homophily, and the dynamics of polarization. Proc. Natl. Acad. Sci. USA 2013, 110, 5791–5796. [Google Scholar] [CrossRef]
- Etesami, S.R.; Basar, T. Game-Theoretic Analysis of the Hegselmann-Krause Model for Opinion Dynamics in Finite Dimensions. IEEE Trans. Autom. Control 2014, 60, 1886–1897. [Google Scholar] [CrossRef]
- Li, L.; Scaglione, A.; Swami, A.; Zhao, Q. Consensus, Polarization and Clustering of Opinions in Social Networks. IEEE J. Sel. Areas Commun. 2013, 31, 1072–1083. [Google Scholar] [CrossRef]
- Leon-Medini, F.J. Endogenous Changes in Public Opinion Dynamics. J. Artif. Soc. Soc. Simul. 2019, 22, 1–4. [Google Scholar] [CrossRef]
- Li, J.; Xiao, R. Agent-Based Modelling Approach for Multidimensional Opinion Polarization in Collective Behaviour. J. Artif. Soc. Soc. Simul. 2017, 20, 1–4. [Google Scholar] [CrossRef]
- Chen, T.; Li, Q.; Yang, J.; Cong, G.; Li, G. Modeling of the Public Opinion Polarization Process with the Considerations of Individual Heterogeneity and Dynamic Conformity. Mathematics 2019, 7, 917. [Google Scholar] [CrossRef]
- Zhou, T. The effect of social interaction on users’ social commerce intention. Int. J. Mob. Commun. 2019, 17, 391–408. [Google Scholar] [CrossRef]
- Kim, J.; Kim, M.; Choi, J.; Trivedi, M. Offline social interactions and online shopping demand: Does the degree of social interactions matter? J. Bus. Res. 2019, 99, 373–381. [Google Scholar] [CrossRef]
- Szczecinska-Musielak, E. Social Conflict Theory in Studying the Conflict in Northern Ireland. Pol. Sociol. Rev. 2016, 193, 119–136. [Google Scholar]
- Cuppen, E. The value of social conflicts. Critiquing invited participation in energy projects. Energy Res. Soc. Sci. 2018, 38, 28–32. [Google Scholar] [CrossRef]
- Zhou, T. Understanding social influence on mobile social networking sites: A social support perspective. Inf. Dev. 2019, 35, 220–229. [Google Scholar] [CrossRef]
- Peng, S.; Yang, A.; Cao, L.; Yu, S.; Xie, D. Social influence modeling using information theory in mobile social networks. Inf. Sci. 2016, 379, 146–159. [Google Scholar] [CrossRef]
- Alizadeh, M.; Cioffi-Revilla, C.; Crooks, A. The effect of in-group favoritism on the collective behavior of individuals’ opinions. Adv. Complex Syst. 2015, 18, 1550002. [Google Scholar] [CrossRef]
- Banisch, S.; Olbrich, E. Opinion polarization by learning from social feedback. J. Math. Sociol. 2019, 43, 76–103. [Google Scholar] [CrossRef]
- Dong, Y.C.; Fan, Y.X.; Liang, H.M.; Chiclana, F.; Herrera-Viedma, E. Preference evolution with deceptive interactions and heterogeneous trust in bounded confidence model: A simulation analysis. Knowl. Based Syst. 2019, 175, 87–95. [Google Scholar] [CrossRef]
- Navarro-Martinez, D.; Loomes, G.; Isoni, A.; Butler, D.; Alaoui, L. Boundedly rational expected utility theory. J. Risk Uncertain. 2018, 57, 199–223. [Google Scholar] [CrossRef]
- Medina Guevara, M.G.; Vargas Rodríguez, H.; Espinoza Padilla, P.B.; Gozález Solís, J.L. Evolution of Electoral Preferences for a Regime of Three Political Parties. Discret. Dyn. Nat. Soc. 2018, 2018, 2989851. [Google Scholar] [CrossRef]
- Cabrerizo, F.J.; Ureña, R.; Pedrycz, W.; Herrera-Viedma, E. Building consensus in group decision making with an allocation of information granularity. Fuzzy Sets Syst. 2014, 255, 115–127. [Google Scholar] [CrossRef]
- Cabrerizo, F.J.; Moreno, J.M.; Perez, I.J.; Herrera-Viedma, E. Analyzing consensus approaches in fuzzy group decision making: Advantages and drawbacks. Soft Comput. 2010, 14, 451–463. [Google Scholar] [CrossRef]
- Herrera-Viedma, E.; Chiclana, F.; Herrera, F.; Alonso, S. Group decision-making model with incomplete fuzzy preference relations based on additive consistency. IEEE Trans. Syst. Man Cybern. Part B Cybern. 2007, 37, 176–189. [Google Scholar] [CrossRef]
- Pérez, L.G.; Mata, F.; Chiclana, F.; Kou, G.; Herrera-Viedma, E. Modelling influence in group decision making. Soft Comput. 2016, 20, 1653–1665. [Google Scholar] [CrossRef]
- Gayle, W.R.; Khorunzhina, N. Micro-Level Estimation of Optimal Consumption Choice with Intertemporal Nonseparability in Preferences and Measurement Errors. J. Bus. Econ. Stat. 2018, 36, 227–238. [Google Scholar] [CrossRef]
- Barseghyan, L.; Molinari, F.; Teitelbaum, J.C. Inference under stability of risk preferences. Quant. Econ. 2016, 7, 367–409. [Google Scholar] [CrossRef]
- Goh, K.I.; Kahng, B.; Kim, D. Universal behavior of load distribution in scale-free networks. Phys. Rev. Lett. 2001, 87, 278701. [Google Scholar] [CrossRef] [PubMed]
- Chen, T.; Shi, J.; Yang, J.; Li, G. Enhancing network cluster synchronization capability based on artificial immune algorithm. Hum. Cent. Comput. Inf. Sci. 2019, 9, 3. [Google Scholar] [CrossRef]
- Xiao, R.; Li, J.; Chen, T. Modeling and intelligent optimization of social collective behavior with online public opinion synchronization. Int. J. Mach. Learn. Cybern. 2019, 10, 1979–1996. [Google Scholar] [CrossRef]
- Jiang, C.; Chen, T.; Li, R.; Li, L.; Li, G.; Xu, C.; Li, S. Construction of extended ant colony labor division model for traffic signal timing and its application in mixed traffic flow model of single intersection. Concurr. Comput. Pract. Exp. 2019, e5592. [Google Scholar] [CrossRef]
- Yi, K.; Chen, T.; Cong, G. Library personalized recommendation service method based on improved association rules. Libr. Hi Tech 2018, 36, 443–457. [Google Scholar] [CrossRef]
- Chen, T.; Wu, S.; Yang, J.; Cong, G. Risk Propagation Model and Its Simulation of Emergency Logistics Network Based on Material Reliability. Int. J. Environ. Res. Public Health 2019, 16, 4677. [Google Scholar] [CrossRef]
- Chen, T.; Wu, S.; Yang, J.; Cong, G.; Li, G. Modeling of Emergency Supply Scheduling Problem Based on Reliability and Its Solution Algorithm under Variable Road Network after Sudden-Onset Disasters. Complexity 2020, 2020, 7501891. [Google Scholar] [CrossRef]
- Wu, Y.; Du, Y.J.; Chen, X.L.; Li, X.Y. Newly exposed conflicting news based network opinion reversal. Acta Phys. Sin. 2016, 65, 030502. [Google Scholar]






























| Node Number | Average Length | Clustering Coefficient | Average Degree |
|---|---|---|---|
| 500 | 1.5602 | 0.45575 | 219.448 |
© 2020 by the authors. Licensee MDPI, Basel, Switzerland. This article is an open access article distributed under the terms and conditions of the Creative Commons Attribution (CC BY) license (http://creativecommons.org/licenses/by/4.0/).
Share and Cite
Chen, T.; Li, Q.; Fu, P.; Yang, J.; Xu, C.; Cong, G.; Li, G. Public Opinion Polarization by Individual Revenue from the Social Preference Theory. Int. J. Environ. Res. Public Health 2020, 17, 946. https://doi.org/10.3390/ijerph17030946
Chen T, Li Q, Fu P, Yang J, Xu C, Cong G, Li G. Public Opinion Polarization by Individual Revenue from the Social Preference Theory. International Journal of Environmental Research and Public Health. 2020; 17(3):946. https://doi.org/10.3390/ijerph17030946
Chicago/Turabian StyleChen, Tinggui, Qianqian Li, Peihua Fu, Jianjun Yang, Chonghuan Xu, Guodong Cong, and Gongfa Li. 2020. "Public Opinion Polarization by Individual Revenue from the Social Preference Theory" International Journal of Environmental Research and Public Health 17, no. 3: 946. https://doi.org/10.3390/ijerph17030946
APA StyleChen, T., Li, Q., Fu, P., Yang, J., Xu, C., Cong, G., & Li, G. (2020). Public Opinion Polarization by Individual Revenue from the Social Preference Theory. International Journal of Environmental Research and Public Health, 17(3), 946. https://doi.org/10.3390/ijerph17030946

