Evacuate or Stay? A Typhoon Evacuation Decision Model in China Based on the Evolutionary Game Theory in Complex Networks
Abstract
1. Introduction
2. Literature Review
2.1. Evacuation Decision-Making
2.2. Social Cues of Evacuation
2.3. Role of Government
3. Research Method
3.1. Model of Evolutionary Game
3.1.1. Basic Assumptions of the Evolutionary Game Model
3.1.2. Notation
3.2. Equilibrium Analysis of the Evolutionary Game
3.3. Complex Network Model Construction
4. The Simulation and Discussion
4.1. Parameter Initialization Settings
4.2. Numerical Simulation and Discussion
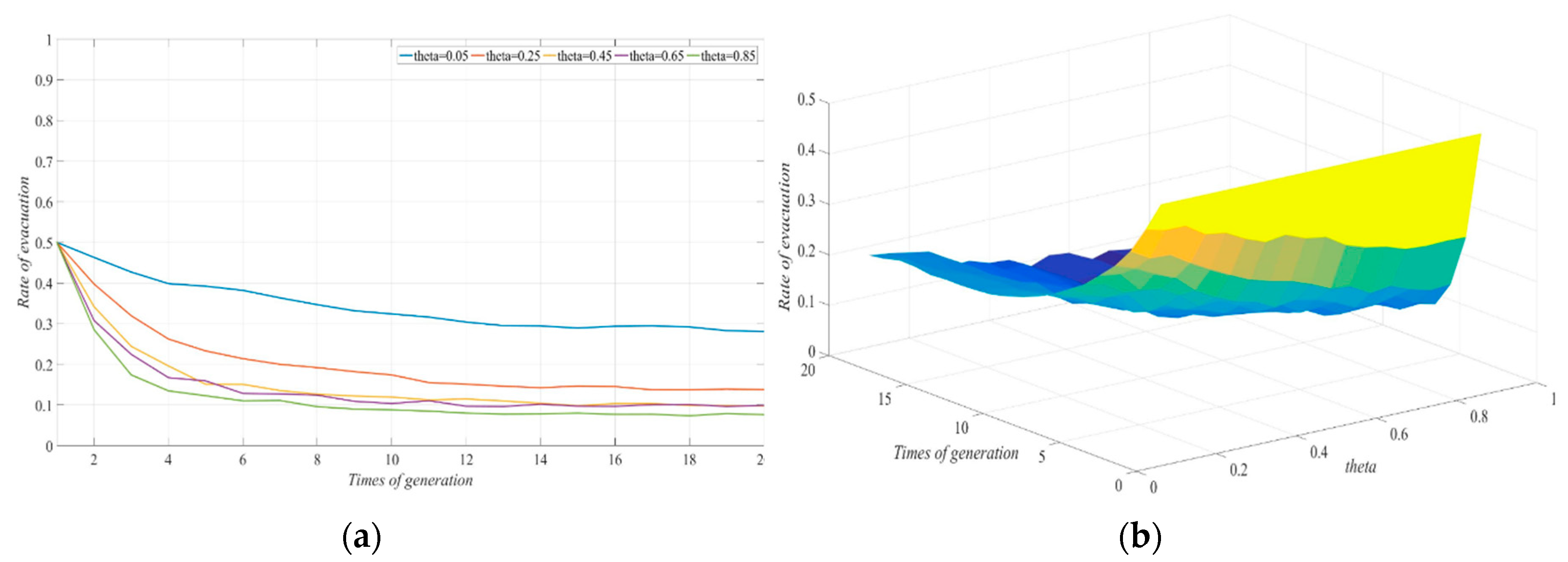
4.2.1. Impact of Decrease in Evacuees on Cost-Reduction Rate Differences in the Evacuation Process
4.2.2. Impact on Cost Reduction in Evacuation Process Due to Government Involvement
4.2.3. The Degree Coefficient of Government Participation Reduced the Consumption Cost of the Non-Evacuation Group to the Original Cost
4.2.4. The Degree Coefficient of Government Participation Reduced the Consumption Cost of the Non-Evacuation Group to the Original Cost (Considering the Non-Evacuation Group Only)
4.2.5. Impact of Reduction in Evacuees Leading to Cost-Reduction Rate of Non-Evacuation in the Evacuation Process
5. Conclusions
Author Contributions
Funding
Conflicts of Interest
References
- An, S.; Cui, N.; Hu, C. Simulation and analysis of route guidance strategy based on a multi-agent-game approach. In Proceedings of the 2008 IEEE International Conference on Management Science and Engineering 15th Annual Conference, Long Beach, CA, USA, 10–12 September 2008; pp. 140–146. [Google Scholar]
- Huang, S.K.; Lindell, M.K.; Prater, C.S.; Wu, H.C.; Siebeneck, L.K. Household Evacuation Decision Making in Response to Hurricane Ike. Nat. Hazards Rev. 2012, 13, 283–296. [Google Scholar] [CrossRef]
- Yan, S.; Dian, S.; Zifeng, S. Research on Emergency Evacuation Decision-making Mechanism of Typhoon Disaster Based on Evolutionary Game Theory. Forecasting 2018, 37, 69–75. [Google Scholar]
- Yan, S.; Dian, S.; Zifeng, S. Modeling and simulating evacuation timing decisions during typhoon disasters. J. Harbin Eng. Univ. 2018, 39, 793–798. [Google Scholar]
- Gladwin, C.; Gladwin, H.; Peacock, W.G. Modelling Hurricane Evacuation Decisions with Ethnographic Method. Int. J. Mass Emerg. Disasters 2001, 19, 117–143. [Google Scholar]
- Cheng, Y.; Zheng, X. Effect of uncertainty on cooperative behaviors during an emergency evacuation. Commun. Nonlinear Sci. Numer. Simul. 2019, 66, 216–225. [Google Scholar] [CrossRef]
- Song, X.; Ma, L.; Ma, Y.; Yang, C.; Ji, H. Selfishness-and selflessness-based models of pedestrian room evacuation. Phys. A Stat. Mech. Appl. 2016, 447, 455–466. [Google Scholar] [CrossRef]
- Zheng, X.; Cheng, Y. Modeling cooperative and competitive behaviors in emergency evacuation: A game-theoretical approach. Comput. Math. Appl. 2011, 62, 4627–4634. [Google Scholar] [CrossRef]
- Zheng, X.; Cheng, Y. Conflict game in evacuation process: A study combining Cellular Automata model. Phys. A: Stat. Mech. Appl. 2011, 30, 1042–1050. [Google Scholar] [CrossRef]
- Southworth, F. Regional Evacuation Modeling: A State-of-the-Art Reviewing. Oak Ridge Natl. Labs 1991, 11, 511–521. [Google Scholar]
- Murray-Tuite, P.; Wolshon, B. Evacuation transportation modeling: An overview of research, development, and practice. Transp. Res. Part C 2013, 27, 25–45. [Google Scholar] [CrossRef]
- Pel, A.J.; Bliemer, M.C.J.; Hoogendoorn, S.P. A review on travel behaviour modelling in dynamic traffic simulation models for evacuations. Transportation 2012, 39, 97–123. [Google Scholar] [CrossRef]
- Xie, C.; Lin, D.Y.; Waller, S.T. A dynamic evacuation network optimization problem with lane reversal and crossing elimination strategies. Transp. Res. Part E Logist. Transp. Rev. 2010, 46, 295–316. [Google Scholar] [CrossRef]
- Kalafatas, G.; Peeta, S. Planning for Evacuation: Insights from an Efficient Network Design Model. J. Infrastruct. Syst. 2009, 15, 21–30. [Google Scholar] [CrossRef]
- Senkbeil, J.C.; Rockman, M.S.; Mason, J.B. Shelter seeking plans of Tuscaloosa residents for a future tornado event. Weather Clim. Soc. 2012, 4, 159–171. [Google Scholar] [CrossRef][Green Version]
- Miran, S.M.; Ling, C.; James, J.J. People’s thresholds of decision-making against a tornado threat using dynamic probabilistic hazard information. Int. J. Disaster Risk Reduct. 2019, 42, 101345. [Google Scholar] [CrossRef]
- Balluz, L.; Schieve, L.; Holmes, T.; Kiezak, S.; Malilay, J. Predictors for people’s response to a tornado warning: Arkansas, 1 March 1997. Disasters 2000, 24, 71–77. [Google Scholar] [CrossRef]
- Durage, S.W.; Wirasinghe, S.C.; Ruwanpura, J. Comparison of the Canadian and US tornado detection and warning systems. Nat. Hazards 2013, 66, 117–137. [Google Scholar] [CrossRef]
- Gudishala, R.; Wilmot, C. Comparison of Time-Dependent Sequential Logit and Nested Logit for Modeling Hurricane Evacuation Demand. Transp. Res. Rec. J. Transp. Res. Board 2012, 2312, 134–140. [Google Scholar] [CrossRef]
- Carnegie, J.; Deka, D. Using Hypothetical Disaster Scenarios to Predict Evacuation Behavioral Response. In Proceedings of the Transportation Research Board 89th Annual Meeting, Washington, DC, USA, 10–14 January 2010. [Google Scholar]
- Mei, B. Development of Trip Generation Models of Hurricane Evacuation. Master’s Thesis, Louisiana State University, Baton Rouge, LA, USA, 2002. [Google Scholar]
- Moore, H.E.; Bates, F.L.; Layman, M.V.; Parenton, V.J. Before the Wind: A Study of the Response to Hurricane Carla. Soc. Forces 1964, 43, 184. [Google Scholar]
- De Moor, F.C.; Wilkinson, R.C.; Herbst, H.M. Food and feeding habits of Oreochromis mossambicus (Peters) in hypertrophic Hartbeespoort Dam, South Africa. Afr. Zool. 1986, 21, 170–176. [Google Scholar]
- Baker, E.J. The Social Impact of Hurricane Eloise on Panama City, Florida; Florida Resources and Environmental Analysis Center, the Florida State University: Tallahassee, FL, USA, 1976. [Google Scholar]
- Nelson, C.E.; Kurtz, A.; Gulitz, E.; Hacker, G.; Lee, M.; Craiger, P. Post-Hurricane Survey of Evacuees Sheltered in the Tampa Bay Region during Hurricane Elena in 1985; University of South Florida: Tampa, FL, USA, 1988. [Google Scholar]
- Stein, R.; Buzcu-Guven, B.; Dueñas-Osorio, L.; Subramanian, D.; Kahle, D. How risk perceptions influence evacuations from hurricanes and compliance with government directives. Policy Stud. J. 2013, 41, 319–342. [Google Scholar] [CrossRef]
- Jie, M.; Ruihua, X.; Jiajun, H. Simulation of pedestrian evacuation processes in a metro station considering the effect of dangerous source. Syst. Eng. Theory Pract. 2016, 36, 1585–1592. [Google Scholar]
- Yongbin, Z.; Jian, W.; Chao, W.; Weiqing, L. Pedestrian Evacuation Model Research Based on SAPSO Algorithm. Manag. Rev. 2016, 28, 152–157. [Google Scholar]
- Lindell, M.K.; Perry, R.W. Communicating Environmental Risk in Multiethnic Communities; Sage Publications: Thousand Oaks, CA, USA, 2004. [Google Scholar]
- Fu, H.Q.; Wilmot, C.G. A Sequential Logit Dynamic Travel Demand Model for Hurricane Evacuation. Transp. Res. Rec. J. Transp. Res. Board 2004, 1882, 19–26. [Google Scholar] [CrossRef]
- Nagarajan, M.; Shaw, D.; Albores, P. Disseminating a warning message to evacuate: A simulation study of the behaviour of neighbours. Eur. J. Oper. Res. 2012, 220, 810–819. [Google Scholar] [CrossRef]
- Sadri, A.M.; Ukkusuri, S.V.; Gladwin, H. The role of social networks and information sources on hurricane evacuation decision making. Nat. Hazards Rev. 2017, 18, 04017005. [Google Scholar] [CrossRef]
- Wilmot, C.G.; Mei, B. Comparison of Alternative Trip Generation Models for Hurricane Evacuation. Nat. Hazards Rev. 2004, 5, 170–178. [Google Scholar] [CrossRef]
- Han, Q.; Dellaert, B.; Raaij, F.V.; Timmermans, H. Modeling strategic behavior in anticipation of congestion. Transportmetrica 2007, 3, 119–138. [Google Scholar] [CrossRef]
- Borowska-Stefańska, M.; Kowalski, M.; Turoboś, F.; Wiśniewski, S. Optimisation patterns for the process of a planned evacuation in the event of a flood. Environ. Hazards 2019, 18, 1–26. [Google Scholar] [CrossRef]
- Batty, M.; DeSyllas, J.; Duxbury, E. The discrete dynamics of small-scale spatial events: Agent-based models of mobility in carnivals and street parades. Int. J. Geogr. Inf. Sci. 2003, 17, 673–697. [Google Scholar] [CrossRef]
- Swamy, R.; Kang, J.E.; Batta, R.; Chung, Y. Hurricane evacuation planning using public transportation. Socio-Econ. Plan. Sci. 2017, 59, 43–55. [Google Scholar] [CrossRef]
- Yawen, G. Study of Route Choice Behavior of Drivers Based on the Evolutionary Game under Condition of Information Guidance. Highway 2015, 60, 108–113. [Google Scholar]
- Pi, Z.; Gao, X.; Chen, L.; Liu, J. The new path to improve construction safety performance in China: An evolutionary game theoretic approach. Int. J. Environ. Res. Public Health 2019, 16, 2443. [Google Scholar] [CrossRef] [PubMed]
- Chen, Y.; Zhang, J.; Tadikamalla, P.R.; Gao, X. The Relationship among Government, Enterprise, and Public in Environmental Governance from the Perspective of Multi-Player Evolutionary Game. Int. J. Environ. Res. Public Health 2019, 16, 3351. [Google Scholar] [CrossRef]
- Kandiah, V.; Binder, A.R.; Berglund, E.Z. An Empirical Agent-Based Model to Simulate the Adoption of Water Reuse Using the Social Amplification of Risk Framework. Risk Anal. 2017, 37, 2005–2022. [Google Scholar] [CrossRef]
- Griffin, R.J.; Dunwoody, S. Community structure and science framing of news about local environmental risks. Sci. Commun. 1997, 18, 362–384. [Google Scholar] [CrossRef]
- Strogatz, S.H. Exploring complex networks. Nature 2001, 410, 268. [Google Scholar] [CrossRef]
- Szabó, G.; Tőke, C. Evolutionary prisoner’s dilemma game on a square lattice. Phys. Rev. E 1998, 58, 69. [Google Scholar] [CrossRef]
- Sun, D.; Kang, J.; Batta, R.; Song, Y. Optimization of Evacuation Warnings Prior to a Hurricane Disaster. Sustainability 2017, 9, 2152. [Google Scholar] [CrossRef]
- Yi, W.; Nozick, L.; Davidson, R.; Blanton, B.; Colle, B. Optimization of the issuance of evacuation orders under evolving hurricane conditions. Transp. Res. Part B Methodol. 2017, 95, 285–304. [Google Scholar] [CrossRef]
- De Pascale, F.; Bernardo, M.; Muto, F.; D’Amico, S.; Zumbo, R.; Galea, P.; Agius, M. Neogeography and seismic risk perception. A comparison between two case studies: Calabria, southern italy and malta. Eur. J. Geogr. 2015, 6, 64–82. [Google Scholar]






| Group | Evacuees-G2 | ||
|---|---|---|---|
| Evacuate | Stay | ||
| Evacuees-G1 | Evacuate | ; | ; |
| Stay | ; | ; | |
| (x, y) | Det J | Tr J |
|---|---|---|
| (0,0) | ||
| (0,1) | ||
| (1,0) | ||
| (1,1) | ||
| (x *, y *) |
| Network Structure | Network Size | Number of Iterations | P1 | C1 | D1 | E1 | ||
|---|---|---|---|---|---|---|---|---|
| 10 | 8 | 1 | 4 | 2 | ||||
| Small-world | 200 nodes | 20 | 0.5 | P2 | C2 | D2 | E2 | |
| 10 | 8 | 1 | 4 | 2 | ||||
| 0.05 | 0.05 | 0.1 | 0.9 | 0.9 | ||||
| 0.25 | 0.25 | 0.2 | 0.8 | 0.8 | ||||
| 0.45 | 0.45 | 0.3 | 0.7 | 0.7 | ||||
| 0.65 | 0.65 | 0.4 | 0.6 | 0.6 | ||||
| 0.85 | 0.85 | 0.5 | 0.5 | 0.5 |
© 2020 by the authors. Licensee MDPI, Basel, Switzerland. This article is an open access article distributed under the terms and conditions of the Creative Commons Attribution (CC BY) license (http://creativecommons.org/licenses/by/4.0/).
Share and Cite
Sun, D.; Zhang, L.; Su, Z. Evacuate or Stay? A Typhoon Evacuation Decision Model in China Based on the Evolutionary Game Theory in Complex Networks. Int. J. Environ. Res. Public Health 2020, 17, 682. https://doi.org/10.3390/ijerph17030682
Sun D, Zhang L, Su Z. Evacuate or Stay? A Typhoon Evacuation Decision Model in China Based on the Evolutionary Game Theory in Complex Networks. International Journal of Environmental Research and Public Health. 2020; 17(3):682. https://doi.org/10.3390/ijerph17030682
Chicago/Turabian StyleSun, Dian, Lupeng Zhang, and Zifeng Su. 2020. "Evacuate or Stay? A Typhoon Evacuation Decision Model in China Based on the Evolutionary Game Theory in Complex Networks" International Journal of Environmental Research and Public Health 17, no. 3: 682. https://doi.org/10.3390/ijerph17030682
APA StyleSun, D., Zhang, L., & Su, Z. (2020). Evacuate or Stay? A Typhoon Evacuation Decision Model in China Based on the Evolutionary Game Theory in Complex Networks. International Journal of Environmental Research and Public Health, 17(3), 682. https://doi.org/10.3390/ijerph17030682

