Understanding the Interaction between Cyclists’ Traffic Violations and Enforcement Strategies: An Evolutionary Game-Theoretic Analysis
Abstract
1. Introduction
2. An Evolutionary Game Theory-Based Framework
2.1. Proposed Framework
2.2. Evolutionary Equilibrium Stability under FPS
2.3. Evolutionary Equilibrium Stability under DPS
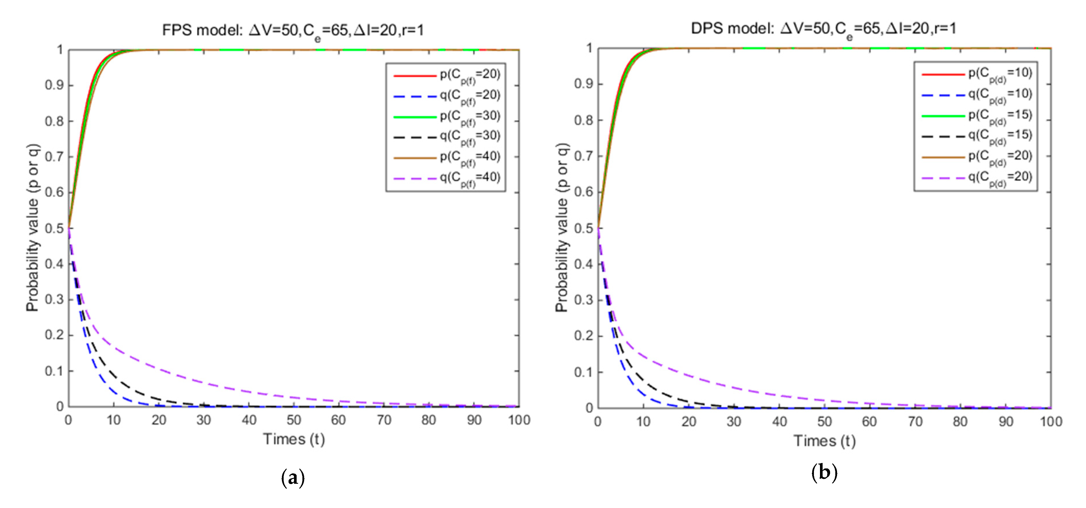
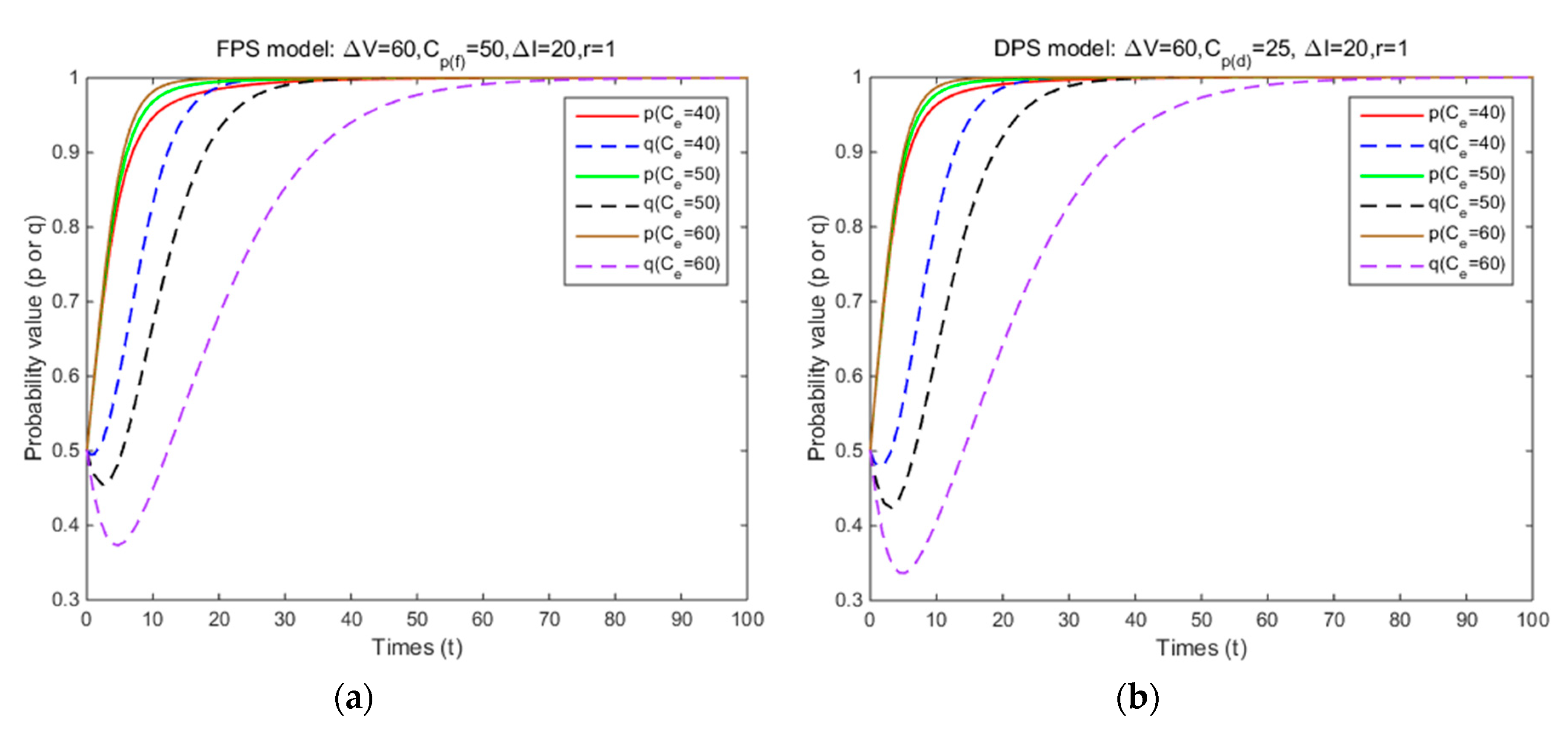
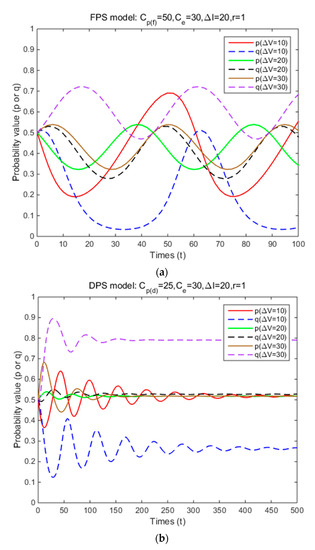
3. Numerical Experiments and Discussion in Situations 1 and 2
4. Numerical Experiments and Discussion in Situation 3
4.1. Analyzing Factors Affecting Cyclists and Law Enforcement Behavior under DPS
4.2. The Effects of Traffic Violation Penalty
4.3. The Effects of Perceived Relative Benefit
4.4. The Effects of Enforcement Cost
4.5. The Effects of Relative Public Image Cost
5. Conclusions
Author Contributions
Funding
Acknowledgments
Conflicts of Interest
Appendix A. The Simulation Results of Situations 1 and 2 under FPS or DPS








Appendix B. First-oRder Partial Derivatives of , and Δ
References
- Cherry, C.; Cervero, R. Use Characteristics and mode choice behavior of electric bike users in China. Transp. Policy 2007, 14, 247–257. [Google Scholar] [CrossRef]
- Zuev, D.; Tyfield, D.; Urry, J. Where is the politics? e-bike mobility in urban China and civilizational government. Environ. Innov. Soc. Transit. 2019, 30, 19–32. [Google Scholar] [CrossRef]
- Papoutsi, S.; Martinolli, L.; Braun, C.T.; Exadaktylos, A.K. E-Bike injuries: Experience from an urban emergency department—A retrospective study from Switzerland. Emerg. Med. Int. 2014, 850236. [Google Scholar] [CrossRef] [PubMed]
- Osland, A.; Anderson, E.; Brazil, J.M.; Curry, M.; David, C.E.; Dean, P.D. Promoting Bicycle Commuter Safety; Mineta Transportation Institute: San José, CA, USA, 2012. [Google Scholar]
- University of North Carolina–Highway Safety Research Center. North Carolina Bicycle Crash Types 2008–2012. 2014. Available online: http://www.pedbikeinfo.org/pbcat_nc/pdf/summary_bike_types08-12.pdf (accessed on 6 March 2020).
- Boston Police Department. Bike Accident Common Causes. 2019. Available online: https://www.bikeattorney.com/bike-accident-common-causes.html (accessed on 20 February 2020).
- Du, W.; Yang, J.; Powis, B.; Zheng, X.; Ozanne-Smith, J.; Bilston, L.; Wu, M. Understanding on-road practices of electric bike riders: An observational study in a developed city of China. Accid. Anal. Prev. 2013, 59, 319–326. [Google Scholar] [CrossRef] [PubMed]
- Knowles, J.; Adams, S.; Cuerden, R.; Savill, T.; Reid, S.; Tight, M. Collisions Involving Pedal Cyclists on Britain’s Roads: Establishing the Causes; TRL: London, UK, 2009. [Google Scholar]
- Lum, K.M.; Wong, Y.D. A before-and-after study of driver stopping propensity at red light camera intersections. Accid. Anal. Prev. 2003, 35, 111–120. [Google Scholar] [CrossRef]
- Lum, K.M.; Wong, Y.D. Impacts of red light camera on violation characteristics. J. Transp. Eng. 2003, 129, 648–656. [Google Scholar] [CrossRef]
- Blais, E.; Dupont, B. Assessing the capability of intensive police programmes to prevent severe road accidents—A systematic review. Brit. J. Criminol. 2005, 45, 914–937. [Google Scholar] [CrossRef]
- Kristie, L.; Martinez, H.; Porter, B.E. Characterizing red light runners following implementation of a photo enforcement program. Accid. Anal. Prev. 2006, 38, 862–870. [Google Scholar]
- Retting, R.A.; Ferguson, S.A.; Farmer, C.M. Reducing red light running through onger yellow signal timing and red light camera enforcement: Results of a field investigation. Accid. Anal. Prev. 2008, 40, 327–333. [Google Scholar] [CrossRef]
- Sze, N.N.; Wong, S.C.; Pei, X.; Choi, P.W.; Lo, Y.K. Is a combined enforcement and penalty strategy effective in combating red light violations? An aggregate model of violation behavior in Hong Kong. Accid. Anal. Prev. 2011, 43, 265–271. [Google Scholar] [CrossRef]
- Chen, F.; Song, M.; Ma, X. Investigation on the injury severity of drivers in rear-end collisions between cars using a random parameters bivariate ordered probit model. Int. J. Env. Res. Pub. He. 2019, 16, 2632. [Google Scholar] [CrossRef] [PubMed]
- Zeng, Q.; Hao, W.; Lee, J.; Chen, F. Investigating the impacts of real-time weather conditions on freeway crash severity: A bayesian spatial analysis. Int. J. Env. Res. Pub. He. 2020, 17, 2768. [Google Scholar] [CrossRef] [PubMed]
- De Waard, D.; Schepers, P.; Ormel, W.; Brookhuis, K. Mobile phone use while cycling: Incidence and effects on behaviour and safety. Ergonomics 2010, 53, 30–42. [Google Scholar] [CrossRef] [PubMed]
- Johnson, M.; Newstead, S.; Charlton, J.; Oxley, J. Riding through red lights: The rate, characteristics and risk factors of non-compliant urban commuter cyclists. Accid. Anal. Prev. 2011, 43, 323–328. [Google Scholar] [CrossRef] [PubMed]
- Wu, C.; Yao, L.; Zhang, K. The red-light running behavior of electric bike cyclists and cyclists at urban intersections in China: An observational study. Accid. Anal. Prev. 2012, 49, 186–192. [Google Scholar] [CrossRef]
- Johnson, M.; Charlton, J.; Oxley, J.; Newstead, S. Why do cyclists infringe at red lights? An investigation of Australian cyclists’ reasons for red light infringement. Accid. Anal. Prev. 2013, 50, 840–847. [Google Scholar] [CrossRef]
- Zhang, Y.; Wu, C. The effects of sunshields on red light running behavior of cyclists and electric bike cyclists. Accid. Anal. Prev. 2013, 52, 210–218. [Google Scholar] [CrossRef]
- Pai, C.W.; Jou, R.C. Cyclists’ red-light running behaviors: An examination of risk taking, opportunistic, and law-obeying behaviors. Accid. Anal. Prev. 2014, 62, 191–198. [Google Scholar] [CrossRef]
- De Waard, D.; Westerhuis, F.; Lewis-Evans, B. More screen operation than calling: The results of observing cyclists’ behaviour while using mobile phones. Accid. Anal. Prev. 2015, 76, 42–48. [Google Scholar] [CrossRef]
- Yang, X.; Huan, M.; Abdel-Aty, M.; Peng, Y.; Gao, Z. A hazard-based duration model for analyzing crossing behavior of cyclists and electric bike cyclists at signalized intersections. Accid. Anal. Prev. 2015, 74, 33–41. [Google Scholar] [CrossRef]
- Kircher, K.; Ahlstrom, C.; Palmqvist, L.; Adell, E. Bicyclists’ speed adaptation strategies when conducting self-paced vs. system-paced smartphone tasks in traffic. Transp. Res. Part F Traffic Psychol. Behav. 2015, 28, 55–64. [Google Scholar] [CrossRef]
- Fraboni, F.; Marín Puchades, V.; De Angelis, M.; Pietrantoni, L.; Prati, G. Red-light running behavior of cyclists in Italy: An observational study. Accid. Anal. Prev. 2018, 120, 219–232. [Google Scholar] [CrossRef] [PubMed]
- Yang, H.; Liu, X.; Su, F.; Cherry, C.; Liu, Y.; Li, Y. Predicting e-bike users’ intention to run the red light: An application and extension of the Theory of Planned Behavior. Transp. Res. Part F Traffic Psychol. Behav. 2018, 58, 282–291. [Google Scholar] [CrossRef]
- Schleinitz, K.; Petzoldt, T.; Kröling, S.; Gehlert, T.; Mach, S. (E-)Cyclists running the red light—The influence of bicycle type and infrastructure characteristics on red light violations. Accid. Anal. Prev. 2019, 122, 99–107. [Google Scholar] [CrossRef] [PubMed]
- Tang, T.; Wang, H.; Ma, J.; Zhou, X. Analysis of crossing behavior and violations of electric bikers at signalized intersections. J. Adv. Transport. 2020, 3594963. [Google Scholar] [CrossRef]
- Chen, F.; Chen, S.; Ma, X. Analysis of hourly crash likelihood using unbalanced panel data mixed logit model and real-time driving environmental big data. J. Safety Res. 2018, 65, 153–159. [Google Scholar] [CrossRef]
- Chen, F.; Chen, S.; Ma, X. Crash frequency modeling using real-time environmental and traffic data and unbalanced panel data models. Int. J. Env. Res. Pub. He. 2016, 13, 609. [Google Scholar] [CrossRef] [PubMed]
- Wong, S.C.; Wong, C.W.; Sze, N.N. Attitudes of public light bus drivers to penalties to combat red light violations in Hong Kong. Transp. Policy 2008, 15, 43–54. [Google Scholar] [CrossRef]
- Paola, M.D.; Scoppa, V.; Falcone, M. The deterrent effects of the penalty points system for driving offences: A regression discontinuity approach. Empir. Econ. 2012, 45, 965–985. [Google Scholar] [CrossRef]
- Dong, B.; Ma, X.; Chen, F.; Chen, S. Investigating the differences of single- and multi-vehicle accident probability using mixed logit model. J. Adv. Transport. 2018, 2702360. [Google Scholar] [CrossRef]
- Bjørnskau, T.; Elvik, R. Can road traffic law enforcement permanently reduce the number of accidents? Accid. Anal. Prev. 1992, 24, 507–520. [Google Scholar] [CrossRef]
- Kim, D.H.; Kim, D.H. A system dynamics model for a mixed-strategy game between police and driver. Syst. Dynam. Rev. 1997, 13, 33–52. [Google Scholar] [CrossRef]
- Jaffray, J.Y. Linear utility theory for belief functions. Oper. Res. Lett. 1989, 8, 107–112. [Google Scholar] [CrossRef]
- Abdellaoui, M. A genuine rank-dependent generalization of the von neumann-morgenstern expected utility theorem. Econometrica 2002, 70, 717–736. [Google Scholar] [CrossRef]
- Ji, A.; Levinson, D. A review of game theory models of lane changing. Transportmetrica A. 2020, 1628–1647. [Google Scholar] [CrossRef]
- Schuster, P.; Sigmund, K. Replicator dynamics. J. Theor. Biol. 1983, 100, 533–538. [Google Scholar] [CrossRef]
- Roca, C.P.; Cuesta, J.A.; Sánchez, A. Evolutionary game theory: Temporal and spatial effects beyond replicator dynamics. Phys. Life. Rev. 2009, 6, 208–249. [Google Scholar] [CrossRef]
- Apaloo, J.; Brown, J.S.; Vincent, T.L. Evolutionary game theory: ESS, convergence stability, and NIS. Evol. Eco.l Res. 2009, 11, 489–515. [Google Scholar]
- Kahneman, D.; Tversky, A. Prospect theory: An analysis of decision under risk. Econometrica 1979, 4, 263–291. [Google Scholar] [CrossRef]
- Tversky, A.; Kahneman, D. Advances in prospect theory: Cumulative representation of uncertainty. J. Risk Uncertainty 1992, 5, 297–323. [Google Scholar] [CrossRef]
- Jiang, X.; Ji, Y.; Du, M.; Deng, W. A study of driver’s route choice behavior based on evolutionary game theory. Comput. Intel. Neurosc. 2014, 124716. [Google Scholar] [CrossRef] [PubMed]
- Li, Q.; Liao, F.; Timmermans, H.J.P.; Zhou, J. A user equilibrium model for combined activity–travel choice under prospect theoretical mechanisms of decision-making under uncertainty. Transportmetrica A. 2016, 12, 629–649. [Google Scholar] [CrossRef]
- Hirshleifer, J. Economics from a biological viewpoint. J. Law. Econ. 1977, 20, 1–52. [Google Scholar] [CrossRef]
- Friedman, D. On economic applications of evolutionary game theory. J. Evol. Econ. 1998, 8, 15–43. [Google Scholar] [CrossRef]
- Sun, J.; Wang, X.; Shen, L. Chinese construction workers’ behaviour towards attending vocational skills trainings: Evolutionary game theory with government participation. J. Differ. Equ. Appl. 2016, 23, 468–485. [Google Scholar]
- Gottlieb, S.; Shu, C.W. Total variation diminishing Runge-Kutta schemes. Math. Comput. 1998, 67, 73–85. [Google Scholar] [CrossRef]
- Damevin, H.M.; Hoffmann, K.A. Development of a Runge-Kutta scheme with total variation diminishing for magnetogasdynamics. J. Spacecr. Rocket. 2002, 39, 624–632. [Google Scholar] [CrossRef]
- Centers for Disease Control and Prevention. Automated Red-Light Enforcement. 2020. Available online: https://www.cdc.gov/motorvehiclesafety/calculator/factsheet/redlight.html (accessed on 10 August 2020).
- Jou, R.C.; Chen, K.H. An application of cumulative prospect theory to freeway drivers’ route choice behaviours. Transp. Res. Part A Policy Pract. 2013, 49, 123–131. [Google Scholar] [CrossRef]
- Zhou, L.; Zhong, S.; Ma, S.; Jia, N. Prospect theory based estimation of drivers’ risk attitudes in route choice behaviors. Accid. Anal. Prev. 2014, 73, 1–11. [Google Scholar] [CrossRef]
- General Administration of Quality Supervision, Inspection and Quarantine of the People’s Republic of China. Safety Technical Specification for Electric Bicycle; Standards Press of China: Beijing, China, 2018. [Google Scholar]











| Law Enforcement | |||
|---|---|---|---|
| Enforce Traffic Rules | Do Not Enforce Traffic Rules | ||
| Cyclists | Commit traffic violations | ||
| Do not commit traffic violations | |||
| Equilibrium State | ||||||
|---|---|---|---|---|---|---|
| 0 | 0 | |||||
| 0 | 0 | |||||
| 0 | 0 | |||||
| 0 | 0 | |||||
| 0 | 0 | 0 |
| Equilibrium | Result | |||||
|---|---|---|---|---|---|---|
| FPS | DPS | FPS | DPS | FPS | DPS | |
| uncertain | uncertain | Saddle | Saddle | |||
| Unstable | Unstable | |||||
| uncertain | uncertain | Saddle | Saddle | |||
| Stable | Stable | |||||
| Equilibrium | Result | |||||
|---|---|---|---|---|---|---|
| FPS | DPS | FPS | DPS | FPS | DPS | |
| uncertain | uncertain | Saddle | Saddle | |||
| uncertain | uncertain | Unstable/Saddle | Unstable/Saddle | |||
| Stable | Stable | |||||
| uncertain | uncertain | Saddle/Unstable | Saddle/Unstable | |||
| Equilibrium | Result | |||||
|---|---|---|---|---|---|---|
| FPS | DPS | FPS | DPS | FPS | DPS | |
| uncertain | uncertain | Saddle | Saddle | |||
| uncertain | uncertain | Saddle | Saddle | |||
| uncertain | uncertain | Saddle | Saddle | |||
| uncertain | uncertain | Saddle | Saddle | |||
| 0 | Center | Stable | ||||
| Equilibrium State | ||||||
|---|---|---|---|---|---|---|
| 0 | 0 | |||||
| 0 | 0 | |||||
| 0 | 0 | |||||
| 0 | 0 | |||||
| Factor | Situation | |||||||||
|---|---|---|---|---|---|---|---|---|---|---|
| Situation 1 | - | 50 | 30 | 20 | 1 | - | - | - | - | |
| Situation 2 | - | 50 | 65 | 20 | 1 | - | - | - | - | |
| Situation 3 | - | 50 | 30 | 20 | 1 | - | - | - | - | |
| Situation 1 | 30/15 | - | 30 | 20 | 1 | - | - | - | - | |
| Situation 2 | 30/15 | - | 60 | 20 | 1 | - | - | - | - | |
| Situation 3 | 50/25 | - | 30 | 20 | 1 | - | - | - | - | |
| Situation 1 | 50/25 | 60 | - | 20 | 1 | - | - | - | - | |
| Situation 2 | 20/10 | 30 | - | 10 | 1 | - | - | - | - | |
| Situation 3 | 50/25 | 30 | - | 20 | 1 | - | - | - | - | |
| Situation 1 | 50/25 | 60 | 30 | - | 1 | - | - | - | - | |
| Situation 2 | 20/10 | 30 | 65 | - | 1 | - | - | - | - | |
| Situation 3 | 50/25 | 30 | 30 | - | 1 | - | - | - | - | |
| Situation 3 | -/50 | 30 | 30 | 20 | - | - | - | - | - | |
| Situation 3 | -/50 | 30 | 30 | 20 | 1 | - | - | - | - | |
| Situation 3 | -/60 | - | 30 | 20 | 1 | 50 | - | 1 | 0.8 | |
| Situation 3 | -/60 | - | 30 | 20 | 1 | 50 | 1 | - | 0.8 | |
| Situation 3 | -/60 | - | 30 | 20 | 1 | 50 | 1 | 1 | - |
| Factor | Converging to Committing Traffic Violations (Cyclists) | Converging to Enforcing Traffic Rules (Law Enforcement) | ||||||
|---|---|---|---|---|---|---|---|---|
| Situation 1 | Situation 2 | Situation 1 | Situation 2 | |||||
| FPS | DPS | FPS | DPS | FPS | DPS | FPS | DPS | |
| Penalty amount increases (20 1, 30 1, 40 1) (10 1, 15 1, 20 1) | Decreases (24 2, 37 2, 73 2) | Decreases (23 2, 36 2, 67 2) | Decreases (19 2, 20 2, 21 2) | Decreases (18 2, 19 2, 20 2) | Increases (97 2, 51 2, 36 2) | Increases (98 2, 52 2, 36 2) | Decreases (34 2, 56 2, 161 2) | Decreases (34 2, 54 2, 156 2) |
| Perceived relative benefit increases (50 1, 60 1, 80 1) | Increases (35 2, 25 2, 15 2) | Increases (34 2, 24 2, 15 2) | Increases (20 2, 16 2, 12 2) | Increases (19 2, 15 2, 12 2) | Increases (50 2, 49 2, 47 2) | Increases (51 2, 50 2, 47 2) | Decreases (83 2, 85 2, 86 2) | Decreases (81 2, 83 2, 85 2) |
| Enforcement cost increases (40 1, 50 1, 60 1) | Increases (67 2, 56 2, 27 2) | Increases (62 2, 50 2, 25 2) | Increases (33 2, 31 2, 30 2) | Increases (32 2, 30 2, 29 2) | Decreases (36 2, 52 2, 102 2) | Decreases (36 2, 53 2, 106 2) | Increases (82 2, 41 2, 28 2) | Increases (81 2, 40 2, 27 2) |
| Relative public image cost increases (10 1, 20 1, 40 1) | Decreases (69 2, 74 2, 78 2) | Decreases (63 2, 69 2, 72 2) | Decreases (30 2, 31 2, 33 2) | Decreases (29 2, 30 2, 32 2) | Increases (35 2, 28 2, 20 2) | Increases (36 2, 29 2, 20 2) | Decreases (23 2, 32 2, 149 2) | Decreases (23 2, 31 2, 148 2) |
| Factor | Probability and Stability of Committing Traffic Violations | Probability and Stability of Enforcing Traffic Rules | ||||||
|---|---|---|---|---|---|---|---|---|
| FPS | DPS | FPS | DPS | |||||
| Probability | Stability | Probability | Stability | Probability | Stability | Probability | Stability | |
| Penalty amount increases | 0.38 | Unstable | 0.67 | 70 1 | 0.83 | Unstable | 1 | 70 1 |
| 0.30 | 0.40 | 90 1 | 0.63 | 0.90 | 90 1 | |||
| 0.25 | 0.34 | 110 1 | 0.50 | 0.74 | 110 1 | |||
| Enforcement effectiveness increases | - | - | 0.52 | 150 1 | - | - | 0.79 | 150 1 |
| - | - | 0.43 | 150 1 | - | - | 0.60 | 150 1 | |
| - | - | 0.34 | 150 1 | - | 0.45 | 150 1 | ||
| Changes in growth rate of dynamic penalty coefficient | - | - | 0.34 | 140 1 | - | - | 0.45 | 140 1 |
| - | - | 0.39 | 140 1 | - | - | 0.52 | 140 1 | |
| - | - | 0.31 | 140 1 | - | - | 0.39 | 140 1 | |
| Perceived relative benefit increases | 0.43 | Unstable | 0.52 | 500 1 | 0.20 | Unstable | 0.27 | 500 1 |
| 0.43 | 0.52 | 200 1 | 0.40 | 0.53 | 200 1 | |||
| 0.43 | 0.52 | 170 1 | 0.60 | 0.79 | 170 1 | |||
| Risk attitude coefficients increase | - | - | 0.30 | 1000 1 | - | - | 0.07 | 1000 1 |
| - | - | 0.30 | 300 1 | - | - | 0.23 | 300 1 | |
| - | - | 0.30 | 150 1 | - | - | 0.50 | 150 1 | |
| Loss aversion coefficient increases | - | - | 0.31 | 150 1 | - | - | 0.50 | 150 1 |
| - | - | 0.31 | 150 1 | - | - | 0.48 | 150 1 | |
| - | - | 0.31 | 150 1 | - | - | 0.46 | 150 1 | |
| Decision weight increases | - | - | 0.31 | 300 1 | - | - | 0.19 | 300 1 |
| - | - | 0.31 | 200 1 | - | - | 0.34 | 200 1 | |
| - | - | 0.31 | 140 1 | - | - | 0.50 | 140 1 | |
| Enforcement cost increases | 0.43 | Unstable | 0.52 | 150 1 | 0.60 | Unstable | 0.79 | 150 1 |
| 0.71 | 0.78 | 300 1 | 0.60 | 0.67 | 300 1 | |||
| 0.86 | 0.89 | 500 1 | 0.60 | 0.62 | 500 1 | |||
| Relative public image cost increases | 0.43 | Unstable | 0.52 | 150 1 | 0.60 | Unstable | 0.79 | 150 1 |
| 0.38 | 0.45 | 150 1 | 0.60 | 0.83 | 150 1 | |||
| 0.30 | 0.36 | 150 1 | 0.60 | 0.88 | 150 1 | |||
Publisher’s Note: MDPI stays neutral with regard to jurisdictional claims in published maps and institutional affiliations. |
© 2020 by the authors. Licensee MDPI, Basel, Switzerland. This article is an open access article distributed under the terms and conditions of the Creative Commons Attribution (CC BY) license (http://creativecommons.org/licenses/by/4.0/).
Share and Cite
Tang, T.; Guo, Y.; Zhang, G.; Wang, H.; Shi, Q. Understanding the Interaction between Cyclists’ Traffic Violations and Enforcement Strategies: An Evolutionary Game-Theoretic Analysis. Int. J. Environ. Res. Public Health 2020, 17, 8457. https://doi.org/10.3390/ijerph17228457
Tang T, Guo Y, Zhang G, Wang H, Shi Q. Understanding the Interaction between Cyclists’ Traffic Violations and Enforcement Strategies: An Evolutionary Game-Theoretic Analysis. International Journal of Environmental Research and Public Health. 2020; 17(22):8457. https://doi.org/10.3390/ijerph17228457
Chicago/Turabian StyleTang, Tianpei, Yuntao Guo, Guohui Zhang, Hua Wang, and Quan Shi. 2020. "Understanding the Interaction between Cyclists’ Traffic Violations and Enforcement Strategies: An Evolutionary Game-Theoretic Analysis" International Journal of Environmental Research and Public Health 17, no. 22: 8457. https://doi.org/10.3390/ijerph17228457
APA StyleTang, T., Guo, Y., Zhang, G., Wang, H., & Shi, Q. (2020). Understanding the Interaction between Cyclists’ Traffic Violations and Enforcement Strategies: An Evolutionary Game-Theoretic Analysis. International Journal of Environmental Research and Public Health, 17(22), 8457. https://doi.org/10.3390/ijerph17228457

