A 2-Month Follow-Up Study of Psychological Distress among Italian People during the COVID-19 Lockdown
Abstract
1. Introduction
2. Materials and Methods
2.1. Procedures
2.2. Participants
2.3. Survey Measures
2.3.1. Initial Measures
2.3.2. Follow-Up Measures
3. Statistical Analysis
4. Results
4.1. Differences Between the Initial and the Final Period of the Lockdown
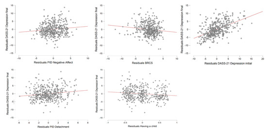
4.2. Regression Analysis
5. Discussion
6. Strengths and Limitations
7. Conclusions
Author Contributions
Funding
Conflicts of Interest
References
- Banks, J.; Xu, X. The Mental Health Effects of the First Two Months of Lockdown and Social Distancing During the COVID-19 Pandemic in the UK; IFS Working Papers; No. W20/16; Institute for Fiscal Studies (IFS): London, UK, 2020. [Google Scholar] [CrossRef]
- Brooks, S.K.; Webster, R.K.; Smith, L.E.; Woodland, L.; Wessely, S.; Greenberg, N.; Rubin, G.J. The psychological impact of quarantine and how to reduce it: Rapid review of the evidence. Lancet 2020, 395, 912–920. [Google Scholar] [CrossRef]
- Gualano, M.R.; Lo Moro, G.; Voglino, G.; Bert, F.; Siliquini, R. Effects of COVID-19 lockdown on mental health and sleep disturbances in Italy. Int. J. Environ. Res. Public Health 2020, 17, 4779. [Google Scholar] [CrossRef] [PubMed]
- Rossi, R.; Socci, V.; Talevi, D.; Mensi, S.; Niolu, C.; Pacitti, F.; Di Marco, A.; Rossi, A.; Siracusano, A.; Di Lorenzo, V. COVID-19 pandemic and lockdown measures impact on mental health among the general population in Italy. Front. Psychiatry 2020, 11, 790. [Google Scholar] [CrossRef] [PubMed]
- Wang, C.; Pan, R.; Wan, X.; Tan, Y.; Xu, L.; McIntyre, R.S.; Choo, F.N.; Tran, B.; Ho, R.; Sharma, V.K.; et al. A longitudinal study on the mental health of general population during the COVID-19 epidemic in China. Brain Behav. Immun. 2020, 87, 40–48. [Google Scholar] [CrossRef] [PubMed]
- Planchuelo-Gómez, Álvaro; Odriozola-González, P.; Irurtia, M.J.; De Luis-García, R. Longitudinal evaluation of the psychological impact of the COVID-19 crisis in Spain. J. Affect. Disord. 2020, 277, 842–849. [Google Scholar] [CrossRef] [PubMed]
- Pierce, M.; Hope, H.; Ford, T.; Hatch, S.; Hotopf, M.; John, A.; Kontopantelis, E.; Webb, R.; Wessely, S.; McManus, S.; et al. Mental health before and during the COVID-19 pandemic: A longitudinal probability sample survey of the UK population. Lancet Psychiatry 2020, 7, 883–892. [Google Scholar] [CrossRef]
- Mazza, C.; Ricci, E.; Biondi, S.; Colasanti, M.; Ferracuti, S.; Napoli, C.; Roma, P. A nationwide survey of psychological distress among Italian people during the COVID-19 pandemic: Immediate psychological responses and associated factors. Int. J. Environ. Res. Public Health 2020, 17, 3165. [Google Scholar] [CrossRef]
- Bottesi, G.; Ghisi, M.; Altoè, G.; Conforti, E.; Melli, G.; Sica, C. The Italian version of the Depression Anxiety Stress Scales-21: Factor structure and psychometric properties on community and clinical samples. Compr. Psychiatry 2015, 60, 170–181. [Google Scholar] [CrossRef]
- Krueger, R.F.; Derringer, J.; Markon, K.E.; Watson, D.; Skodol, A.E. The Personality Inventory for DSM-5—Brief Form (PID-5-BF)—Adult; American Psychiatric Association: Arlington, VA, USA, 2013. [Google Scholar]
- Sinclair, V.G.; Wallston, K.A. The development and psychometric evaluation of 18 the brief resilient coping scale. Assessment 2004, 11, 94–101. [Google Scholar] [CrossRef]
- Roesch, S.C.; Adams, L.; Hines, A.; Palmores, A.; Vyas, P.; Tran, C.; Pekin, S.; Vaughn, A.A. Coping with prostate cancer: A meta-analytic review. J. Behav. Med. 2005, 28, 281–293. [Google Scholar] [CrossRef]
- Duangdao, K.M.; Roesch, S.C. Coping with diabetes in adulthood: A meta-analysis. J. Behav. Med. 2008, 31, 291–300. [Google Scholar] [CrossRef] [PubMed]
- Moskowitz, J.T.; Hult, J.R.; Bussolari, C.; Acree, M. What works in coping with HIV? A meta-analysis with implications for coping with serious illness. Psychol. Bull. 2009, 135, 121–141. [Google Scholar] [CrossRef] [PubMed]
- Chen, P.Y.; Chang, H.C. The coping process of patients with cancer. Eur. J. Oncol. Nurs. 2012, 16, 10–16. [Google Scholar] [CrossRef]
- Sim, K.; Chan, Y.H.; Chong, P.N.; Chua, H.C.; Soon, S.W. Psychosocial and coping responses within the community health care setting towards a national outbreak of an infectious disease. J. Psychosom. Res. 2010, 68, 195–202. [Google Scholar] [CrossRef]
- Skapinakis, P.; Bellos, S.; Oikonomou, A.; Dimitriadis, G.; Gkikas, P.; Perdikari, E.; Mavreas, V. Depression and its relationship with coping strategies and illness perceptions during the COVID-19 lockdown in Greece: A cross-sectional survey of the population. Depress. Res. Treat. 2020. [Google Scholar] [CrossRef] [PubMed]
- Anderson, J.L.; Sellbom, M.; Salekin, R.T. Utility of the Personality Inventory for DSM-5—Brief Form (PID-5-BF) in the measurement of maladaptive personality and psychopathology. Assessment 2018, 25, 596–607. [Google Scholar] [CrossRef]
- Combaluzier, S.; Gouvernet, B.; Menant, F.; Rezrazi, A. Validation of a French translation of Krueger’s Personality Inventory for DSM-5 in its brief form (PID-5-BF). Encephale 2018, 44, 9–13. [Google Scholar] [CrossRef]
- Team JASP. JASP (Version 0.13.1) [Computer Software]. 2020. Available online: https://jasp-stats.org/ (accessed on 31 July 2020).
- Shaffer, J.P. Multiple hypothesis testing. Annu. Rev. Psychol. 1995, 46, 561–584. [Google Scholar] [CrossRef]
- Friedrich, R.J. In defense of multiplicative terms in multiple regression equations. Am. J. Pol. Sci. 1982, 26, 797. [Google Scholar] [CrossRef]
- Hyatt, C.S.; Maples-Keller, J.L.; Crowe, M.L.; Sleep, C.E.; Carter, S.T.; Michopoulos, V.; Stevens, J.S.; Jovanovic, T.; Bradley, B.; Miller, J.D.; et al. Psychometric Properties of the Personality Inventory for DSM-5-Brief Form in a Community Sample with High Rates of Trauma Exposure. J. Pers. Assess. 2020, 1–10. [Google Scholar] [CrossRef]
- Kroencke, L.; Geukes, K.; Utesch, T.; Kuper, N.; Back, M. Neuroticism and emotional risk during the COVID-19 pandemic. J. Res. Pers. 2020, 89. [Google Scholar] [CrossRef] [PubMed]
- Aschwanden, D.; Strickhouser, J.E.; Sesker, A.A.; Lee, J.H.; Luchetti, M.; Stephan, Y.; Sutin, A.R.; Terracciano, A. Psychological and behavioural responses to coronavirus disease 2019: The role of personality. Eur. J. Personal. 2020. [Google Scholar] [CrossRef] [PubMed]
- Roohafza, H.R.; Afshar, H.; Keshteli, A.H.; Mohammadi, N.; Feizi, A.; Taslimi, M.; Adibi, P. What’s the role of perceived social support and coping styles in depression and anxiety? J. Res. Med. Sci. 2014, 19, 944–949. [Google Scholar] [PubMed]
- Shanahan, L.; Steinhoff, A.; Bechtiger, L.; Murray, A.L.; Nivette, A.; Hepp, U.; Ribeaud, D.; Eisner, M. Emotional distress in young adults during the COVID-19 pandemic: Evidence of risk and resilience from a longitudinal cohort study. Psychol. Med. 2020, 1–10. [Google Scholar] [CrossRef]
- Munk, A.J.; Schmidt, N.M.; Alexander, N.; Henkel, K.; Hennig, J. Covid-19—Beyond virology: Potentials for maintaining mental health during lockdown. PLoS ONE 2020, 15, e0236688. [Google Scholar] [CrossRef]
- Mazza, C.; Ricci, E.; Marchetti, D.; Fontanesi, L.; Di Giandomenico, S.; Verrocchio, M.C.; Roma, P. How personality relates to distress in parents during the COVID-19 Lockdown: The mediating role of child’s emotional and behavioral difficulties and the moderating effect of living with other people. Int. J. Environ. Res. Public Health 2020, 17, 6236. [Google Scholar] [CrossRef]
- Fontanesi, L.; Marchetti, D.; Mazza, C.; Di Giandomenico, S.; Roma, P.; Verrocchio, M.C. The effect of the COVID-19 lockdown on parents: A call to adopt urgent measures. Psychol. Trauma 2020. [Google Scholar] [CrossRef]
- Marchetti, D.; Fontanesi, L.; Mazza, C.; Di Giandomenico, S.; Roma, P.; Verrocchio, M.C. Parenting-related exhaustion during the Italian COVID-19 LOCKDOWN. J. Pediatr. Psychol. 2020, 45, 1114–1123. [Google Scholar] [CrossRef] [PubMed]
- Flesia, L.; Monaro, M.; Mazza, C.; Fietta, V.; Colicino, E.; Segatto, B.; Roma, P. Predicting Perceived Stress Related to the Covid-19 Outbreak through Stable Psychological Traits and Machine Learning Models. J. Clin. Med. 2020, 9, 3350. [Google Scholar] [CrossRef]
- Islam, S.D.U.; Bodrud-Doza, M.; Khan, R.M.; Haque, M.A.; Mamun, M.A. Exploring COVID-19 stress and its factors in Bangladesh: A perception-based study. Heliyon 2020, 6, e04399. [Google Scholar] [CrossRef]
- Ozamiz-Etxebarria, N.; Dosil-Santamaria, M.; Picaza-Gorrochategui, M.; Idoiaga-Mondragon, N. Stress, anxiety, and depression levels in the initial stage of the COVID-19 outbreak in a population sample in the northern Spain. Cad Saúde Pública 2020, 36, e00054020. [Google Scholar] [CrossRef]
- Protezione Civile. 2020. Available online: http://opendatadpc.maps.arcgis.com/apps/opsdashboard/index.html#/b0c68bce2cce478eaac82fe38d4138b1 (accessed on 20 October 2020).
- Xiong, J.; Lipsitz, O.; Nasri, F.; Lui, L.M.W.; Gill, H.; Phan, L.; Chen-Li, D.; Iacobucci, M.; Ho, R.; Majeed, A.; et al. Impact of COVID-19 pandemic on mental health in the general population: A systematic review. J. Affect. Disord. 2020, 277, 55–64. [Google Scholar] [CrossRef]
- Di Crosta, A.; Palumbo, R.; Marchetti, D.; Ceccato, I.; La Malva, P.; Maiella, R.; Cipi, M.; Roma, P.; Mammarella, N.; Verrocchio, M.C.; et al. Individual Differences, Economic Stability, and Fear of Contagion as Risk Factors for PTSD Symptoms in the COVID-19 Emergency. Front. Psychol. 2020, 11, 567367. [Google Scholar] [CrossRef]
- Roma, P.; Monaro, M.; Muzi, L.; Colasanti, M.; Ricci, E.; Biondi, S.; Napoli, C.; Ferracuti, S.; Mazza, C. How to Improve Compliance with Protective Health Measures during the COVID-19 Outbreak: Testing a Moderated Mediation Model and Machine Learning Algorithms. Int. J. Environ. Res. Public Health 2020, 17, 7252. [Google Scholar] [CrossRef]



| Characteristic | Group | N (%) |
|---|---|---|
| Gender | Female | 329 (74.9%) |
| Male | 110 (25.1%) | |
| Age | 34.70 (13.15) 18–70 | 439 (100%) |
| M (SD) | ||
| Min–Max | ||
| Citizenship | Italian | 436 (99.3%) |
| Foreign | 3 (0.7%) | |
| Region of residence | North | 92 (21%) |
| Center | 246 (56%) | |
| South | 101 (23%) | |
| Education | Middle school diploma | 11 (2.5%) |
| High school diploma | 139 (31.7%) | |
| Graduate | 213 (48.5%) | |
| Postgraduate | 76 (17.3%) | |
| Marital status | Unmarried | 273 (62.2%) |
| Married | 143 (32.6%) | |
| Separated/divorced | 16 (3.6%) | |
| Widower | 7 (1.6%) | |
| Occupation | Employee | 167 (62%) |
| Freelancer | 82 (18.7%) | |
| Unemployed | 37 (8.4%) | |
| Student | 151 (34.4%) | |
| Retired | 2 (0.5%) | |
| Child(ren) in house | No | 316 (72%) |
| Yes | 123 (28%) | |
| Moved after the onset of the COVID-19 emergency | No | 395 (90%) |
| Yes | 13 (3%) | |
| Yes, to get closer to loved ones | 31 (7%) | |
| Spending social distancing period with | Family | 320 (73.0%) |
| Alone | 53 (12.0%) | |
| Roommate(s) | 41 (9.3%) | |
| Partner | 25 (5.7%) | |
| Condition | Must go to work | 63 (14.4%) |
| Can stay at home | 376 (85.6%) | |
| Quarantine | No | 395 (90%) |
| Yes, with family | 33 (7.5%) | |
| Yes, alone | 11 (2.5%) | |
| Number of times you leave your domicile each day | 0–1 | 404 (92%) |
| 2 | 23 (5.2%) | |
| 2+ | 12 (2.7%) | |
| Reason for leaving domicile | Key worker | 64 (14.6%) |
| Health reasons | 21 (4.8%) | |
| Return home | 23 (5.2%) | |
| State of need | 331 (75.4%) | |
| Use of social media (hours) | 1–2 | 144 (32.8%) |
| 3–5 | 215 (49%) | |
| 5–8 | 56 (12.8%) | |
| 8–10 | 18 (4.1%) | |
| 10+ | 6 (1.4%) | |
| Infected acquaintances | No | 340 (77.4%) |
| Yes | 99 (22.6%) | |
| Deaths among infected acquaintances | No | 423 (96.4%) |
| Yes | 16 (3.6%) | |
| Infected loved ones | No | 409 (93.2%) |
| Yes | 30 (6.8%) | |
| History of stressful situations | No | 265 (60.4%) |
| Yes | 174 (39.6%) | |
| History of medical problems | No | 311 (70.8%) |
| Yes | 128 (29.2%) | |
| Psychological support or psychotherapy | No | 314 (71.5%) |
| Yes | 125 (28.5%) | |
| Application of health-related measures | From late February | 149 (33.9%) |
| From the first days of March | 183 (41.7%) | |
| From the second week of March | 102 (23.5%) | |
| From the third week of March | 5 (1.1%) | |
| Social support from government | Very sufficient | 3 (0.7%) |
| Quite enough | 145 (33%) | |
| Enough | 73 (16.6%) | |
| Not enough | 164 (37.4%) | |
| Not enough at all | 54 (12.3%) | |
| Reliability of government information | Very reliable | 100 (22.8%) |
| Quite reliable | 275 (62.6%) | |
| Unreliable | 4 (0.9%) | |
| Not reliable at all | 60 (13.7%) | |
| Detailed government information | Very detailed | 26 (5.9%) |
| Quite detailed | 226 (51.5%) | |
| Detailed | 95 (21.6%) | |
| Not very detailed | 80 (18.2%) | |
| Not detailed at all | 12 (2.7%) | |
| Frequency of updates on COVID-19 | No | 6 (1.4%) |
| Yes, everyday | 203 (46.2%) | |
| Yes, sometimes | 61 (13.9%) | |
| Yes, many times per day | 169 (38.5%) |
| DASS-21 Subscale | M (SD) Initial | M (SD) Final | df | t | p | Cohen’s d | 95% CI for Cohen’s d | |
|---|---|---|---|---|---|---|---|---|
| Lower | Upper | |||||||
| DASS-21 Depression | 5.50 (4.88) | 6.79 (5.40) | 438 | −6.505 | 2.120 × 10−10 | −0.310 | −0.406 | −0.215 |
| DASS-21 Anxiety | 3.14 (3.95) | 3.44 (4.14) | 438 | −1.752 | 0.080 | −0.084 | −0.177 | 0.010 |
| DASS-21 Stress | 7.69 (5.56) | 9.37 (5.66) | 438 | −7.604 | 1.763 × 10−13 | −0.363 | −0.459 | −0.266 |
| Predictors | ΔR2 | Unstandardized Coefficients (B) | S.E. | t | p | 95% CI | |
|---|---|---|---|---|---|---|---|
| Lower Bound | Upper Bound | ||||||
| DASS-21 Depression initial | 0.460 | 0.584 | 0.044 | 13.374 | 2.177 × 10−34 | 0.498 | 0.670 |
| PID-5-BF Negative Affect | 0.033 | 0.202 | 0.073 | 2.769 | 0.006 | 0.059 | 0.345 |
| PID-5-BF Detachment | 0.013 | 0.255 | 0.082 | 3.116 | 0.002 | 0.094 | 0.415 |
| BRCS | 0.007 | −0.176 | 0.069 | −2.533 | 0.012 | −0.312 | −0.039 |
| Having a child (yes) | 0.006 | −0.946 | 0.410 | −2.304 | 0.022 | −1.752 | −0.139 |
| Predictors | ΔR2 | Unstandardized Coefficients (B) | S.E. | t | p | 95% CI | |
|---|---|---|---|---|---|---|---|
| Lower Bound | Upper Bound | ||||||
| DASS-21 Stress initial | 0.435 | 0.559 | 0.039 | 14.429 | 7.879 × 10−39 | 0.483 | 0.636 |
| PID-5-BF Negative Affect | 0.473 | 0.238 | 0.079 | 3.009 | 0.003 | 0.083 | 0.393 |
| PID-5-BF Detachment | 0.494 | 0.186 | 0.085 | 2.175 | 0.030 | 0.018 | 0.354 |
| Age | 0.488 | −0.059 | 0.015 | −3.811 | 1.585 × 10−4 | −0.089 | −0.028 |
Publisher’s Note: MDPI stays neutral with regard to jurisdictional claims in published maps and institutional affiliations. |
© 2020 by the authors. Licensee MDPI, Basel, Switzerland. This article is an open access article distributed under the terms and conditions of the Creative Commons Attribution (CC BY) license (http://creativecommons.org/licenses/by/4.0/).
Share and Cite
Roma, P.; Monaro, M.; Colasanti, M.; Ricci, E.; Biondi, S.; Di Domenico, A.; Verrocchio, M.C.; Napoli, C.; Ferracuti, S.; Mazza, C. A 2-Month Follow-Up Study of Psychological Distress among Italian People during the COVID-19 Lockdown. Int. J. Environ. Res. Public Health 2020, 17, 8180. https://doi.org/10.3390/ijerph17218180
Roma P, Monaro M, Colasanti M, Ricci E, Biondi S, Di Domenico A, Verrocchio MC, Napoli C, Ferracuti S, Mazza C. A 2-Month Follow-Up Study of Psychological Distress among Italian People during the COVID-19 Lockdown. International Journal of Environmental Research and Public Health. 2020; 17(21):8180. https://doi.org/10.3390/ijerph17218180
Chicago/Turabian StyleRoma, Paolo, Merylin Monaro, Marco Colasanti, Eleonora Ricci, Silvia Biondi, Alberto Di Domenico, Maria Cristina Verrocchio, Christian Napoli, Stefano Ferracuti, and Cristina Mazza. 2020. "A 2-Month Follow-Up Study of Psychological Distress among Italian People during the COVID-19 Lockdown" International Journal of Environmental Research and Public Health 17, no. 21: 8180. https://doi.org/10.3390/ijerph17218180
APA StyleRoma, P., Monaro, M., Colasanti, M., Ricci, E., Biondi, S., Di Domenico, A., Verrocchio, M. C., Napoli, C., Ferracuti, S., & Mazza, C. (2020). A 2-Month Follow-Up Study of Psychological Distress among Italian People during the COVID-19 Lockdown. International Journal of Environmental Research and Public Health, 17(21), 8180. https://doi.org/10.3390/ijerph17218180

