Positive Adolescent Development: Effects of a Psychosocial Intervention Program in a Rural Setting
Abstract
1. Introduction
Positive Development Program for Adolescents Living in Rural Settings (DPAR)
2. Materials and Methods
2.1. Participants and Study Design
2.2. Procedure and Structure of the Intervention Program
2.3. Measures
2.4. Statistical Analysis
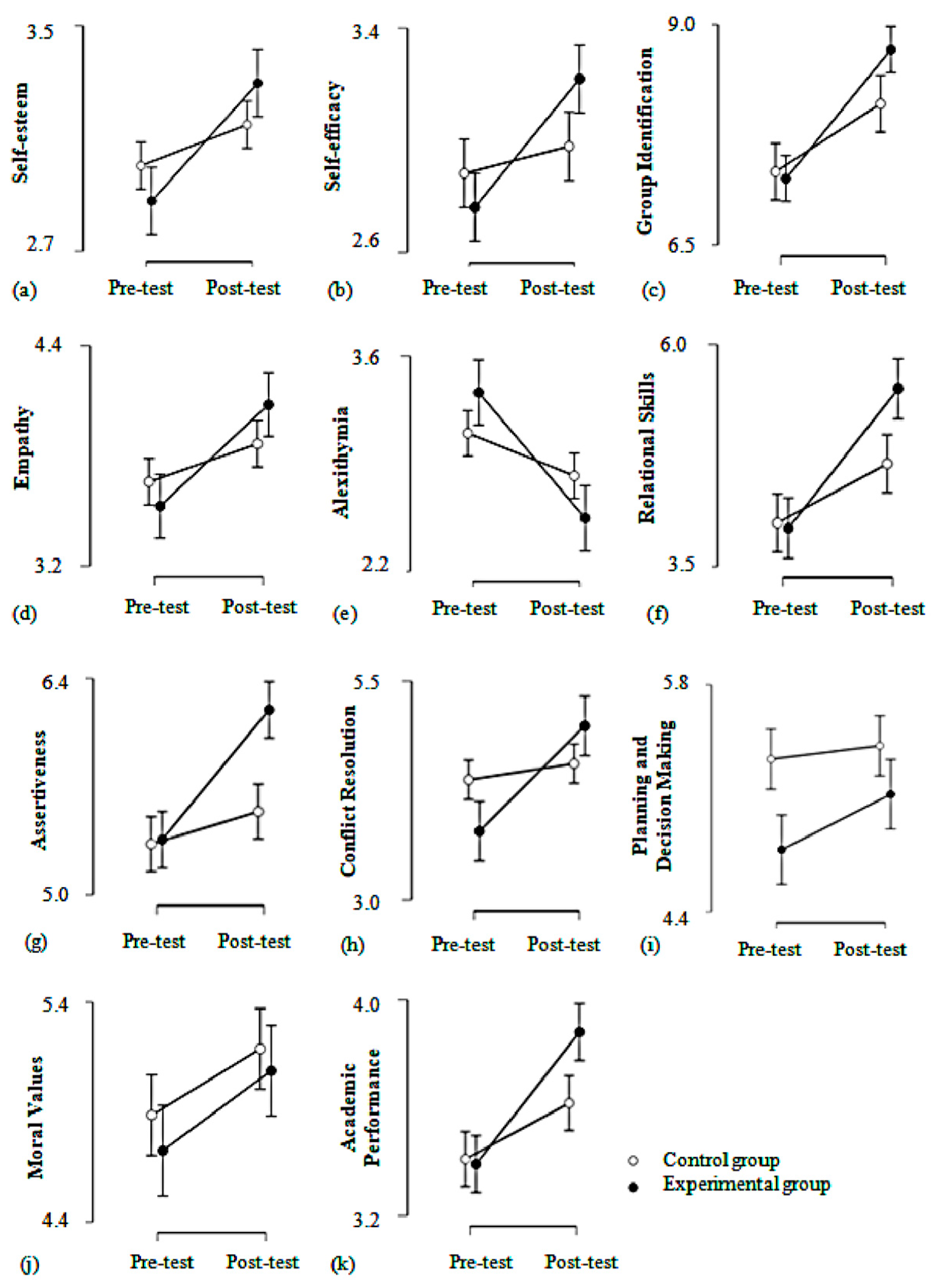
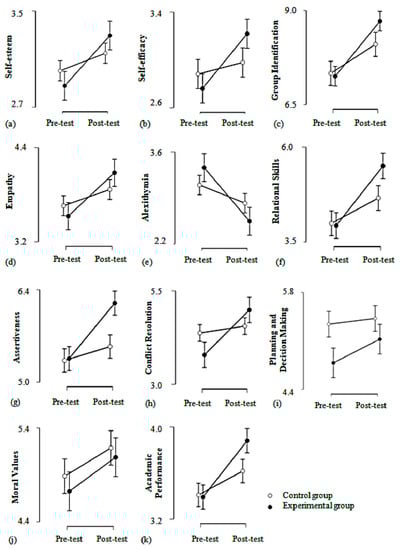
3. Results
4. Discussion
5. Conclusions
Author Contributions
Funding
Acknowledgments
Conflicts of Interest
References
- Damon, W. What is Positive Youth Development? Ann. Am. Acad. Politi. Soc. Sci. 2004, 591, 13–24. [Google Scholar] [CrossRef]
- Lerner, J.V.; Phelps, E.; Forman, Y.; Bowers, E.P. Positive youth development. In Handbook of Adolescent Psychology, 3rd ed.; Lerner, R.M., Steinberg, L., Eds.; John Wiley & Sons: Hoboken, NJ, USA, 2009; pp. 524–558. [Google Scholar] [CrossRef]
- Oliva, A. Desarrollo Positivo Adolescente; Síntesis: Madrid, Spain, 2015. [Google Scholar]
- Tolan, P.; Ross, K.; Arkin, N.; Godine, N.; Clark, E. Toward an integrated approach to positive development: Implications for intervention. App. Dev. Sci. 2016, 20, 214–236. [Google Scholar] [CrossRef]
- Catalano, R.F.; Berglund, M.L.; Ryan, J.A.M.; Lonczak, H.S.; Hawkins, J.D. Positive youth development in the United States: Research findings on evaluations of positive youth development programs. Ann. Am. Acad. Poli. Soc. Sci. 2002, 591, 98–124. [Google Scholar] [CrossRef]
- Lerner, R.M.; Lerner, J.V.; Almerigi, J.B.; Theokas, C.; Phelps, E.; Gestsdottir, S.; von Eye, A. Positive youth development, participation in community youth development programs, and community contributions of fifth-grade adolescents: Findings from the first wave of the 4-H study of positive youth development. J. Early Adolesc. 2005, 25, 17–71. [Google Scholar] [CrossRef]
- Benson, P.L.; Scales, P.C.; Hamilton, S.F.; Sesma, A., Jr. Positive Youth Development: Theory, Research, and Applications. In Handbook of Child Psychology: Theoretical Models of Human Development; Lerner, R.M., Damon, W., Eds.; John Wiley & Sons: Hoboken, NJ, USA, 2006; pp. 894–941. [Google Scholar]
- Schusler, T.M.; Davis-Manigaulte, J.; Cutter-Mackenzie, A. Positive youth development. In Urban Environmental Education Review; Russ, A., Krasny, M.E., Eds.; Cornell University Press: New York, NY, USA, 2017; pp. 165–174. [Google Scholar]
- Snyder, F.J.; Flay, B.R. Positive youth development. In Handbook of Prosocial Education; Brown, P.M., Corrigan, M.W., Higgins, A., Eds.; Rowman & Littlefield: Lanham, MD, USA, 2012; pp. 415–443. [Google Scholar]
- Taylor, R.D.; Oberle, E.; Durlak, J.A.; Weissberg, R.P. Promoting positive youth development through school-based social and emotional learning interventions: A meta-analysis of follow-up effects. Child Dev. 2017, 88, 1156–1171. [Google Scholar] [CrossRef] [PubMed]
- Roth, J.L.; Brooks-Gunn, J. Evaluating youth development programs: Progress and promise. Appl. Dev. Sci. 2015, 20, 188–202. [Google Scholar] [CrossRef] [PubMed]
- Waid, J.; Uhrich, M. A scoping review of the theory and practice of positive youth development. Br. J. S. Work 2020, 50, 5–24. [Google Scholar] [CrossRef]
- Ciocanel, O.; Power, K.; Eriksen, A.; Gillings, K. Effectiveness of Positive Youth Development Interventions: A Meta-Analysis of Randomized Controlled Trials. J. Youth Adolesc. 2016, 46, 483–504. [Google Scholar] [CrossRef]
- Lerner, R.M.; Lerner, J.V. The Positive Development of Youth: Comprehensive Findings from the 4-H Study of Positive Youth Development; National 4-H Council: Chevy Chase, MD, USA, 2013. [Google Scholar]
- Durlak, J.A.; Weissberg, R.P. Afterschool programs that follow evidence-based practices to promote social and emotional development are effective. Collab. Comms Group 2013, 3, 194–198. Available online: http://www.expandinglearning.org/sites/default/files/expandingminds_section_3_0.pdf#page=26 (accessed on 13 March 2020).
- Durlak, J.A.; Weissberg, R.P.; Dymnicki, A.B.; Taylor, R.D.; Schellinger, K.B. The impact of enhancing students’ social and emotional learning: A meta-analysis of school-based universal interventions. Child Dev. 2011, 82, 405–432. [Google Scholar] [CrossRef]
- Roth, J.L.; Brooks-Gunn, J. What exactly is a youth development program? Answers from research and practice. App. Dev. Sci. 2003, 7, 94–111. [Google Scholar] [CrossRef]
- Tolan, P.H.; Henry, D.; Lovegrove, P.; Schoeny, M.; Nichols, E. Meta-analytic review of the impact of mentoring on high-risk youth delinquency and related behavioral outcomes. J. Exp. Criminol. 2014, 10, 179–206. [Google Scholar] [CrossRef] [PubMed]
- Ma, C.M.S.; Shek, D.T.L. Objective Outcome Evaluation of a Positive Youth Development Program: The Project P.A.T.H.S. in Hong Kong. Res. Soc. Work Pract. 2019, 29, 49–60. [Google Scholar] [CrossRef]
- Mercier, J.; Powell, C.; Langdon-Pole, G.; Finau, D.; Hicks, K.; Bourchier, L.; Hampton, J. The Five Cs of Positive Youth Development in an Aotearoa/New Zealand Program Context. J. Youth Dev. 2019, 14, 36–58. [Google Scholar] [CrossRef]
- Arango, L.L.; Kurtines, W.M.; Montgomery, M.J.; Ritchie, R. A Multi-Stage Longitudinal Comparative Design Stage II Evaluation of the Changing Lives Program: The Life Course Interview (RDA-LCI). J. Adolesc. Res. 2008, 23, 310–341. [Google Scholar] [CrossRef]
- Escartí, A.; Buelga, S.; Gutiérrez, M.; Pascual, C. El desarrollo positivo a través de la actividad física y el deporte: El programa de responsabilidad personal y social. Rev. Psic. Gral Apl. 2009, 62, 45–52. [Google Scholar]
- Caballero, P. Diseño, implementación y evaluación de un programa de actividades en la naturaleza para promover la responsabilidad personal y social en alumnos de formación profesional. Cuad. Psic. Deporte 2015, 15, 179–194. [Google Scholar] [CrossRef]
- Rodrigo, M.J.; Máiquez, M.; García, M.; Medina, A.; Martínez, M.A.; Martín, J.C. La influencia de las características personales y contextuales en los estilos de vida en la adolescencia: Aplicaciones para la intervención en contextos de riesgo. Anu. Psic. 2006, 37, 259–276. [Google Scholar]
- García-Poole, C.; Byrne, S.; Rodrigo, M.J. Youth-led activities associated with positive competence changes in a community-based program for adolescents. Child Fam. Soc. Work 2018, 23, 599–608. [Google Scholar] [CrossRef]
- Paricio, D.; Herrera, M.; Rodrigo, M.F.; Viguer, P. Association between Group Identification at School and Positive Youth Development: Moderating Role of Rural and Urban Contexts. Front. Psychol. 2020, 11, 1–14. [Google Scholar] [CrossRef]
- Martínez-Antón, M.; Buelga, S.; Cava, M.J. La satisfacción con la vida en la adolescencia y su relación con la autoestima y el ajuste escolar. Anu. Psic. 2007, 38, 293–303. [Google Scholar]
- Parra, Á.; Oliva, A.; Sánchez-Queija, M.I. Evolución y determinantes de la autoestima durante los años adolescentes. Anu. Psic. 2004, 35, 331–346. [Google Scholar]
- Haraldstad, K.; Kvarme, L.G.; Christophersen, K.A.; Helseth, S. Associations between self-efficacy, bullying and health-related quality of life in a school sample of adolescents: A cross-sectional study. BioMed Central Public Health 2019, 19, 757. [Google Scholar] [CrossRef] [PubMed]
- Otto, C.; Haller, A.C.; Klasen, F.; Hölling, H.; Bullinger, M.; Ravens-Sieberer, U. Risk and protective factors of health-related quality of life in children and adolescents: Results of the longitudinal BELLA study. PLoS ONE 2017, 12, e0190363. [Google Scholar] [CrossRef] [PubMed]
- Bizumic, B.; Reynolds, K.J.; Turner, J.C.; Bromhead, D.; Subasic, E. The Role of the Group in Individual Functioning: School Identification and the Psychological Well-Being of Staff and Students. Appl. Psychol. Inter. Rev. 2009, 58, 171–192. [Google Scholar] [CrossRef]
- Miller, K.; Wakefield, J.R.; Sani, F. Identification with social groups is associated with mental health in adolescents: Evidence from a Scottish community sample. Psy. Res. 2015, 228, 340–346. [Google Scholar] [CrossRef]
- De Mooij, B.; Fekkes, M.; Scholte, R.H.; Overbeek, G. Effective Components of Social Skills Training Programs for Children and Adolescents in Nonclinical Samples: A Multilevel Meta-analysis. Clin. Child Fam. Psychol. Rev. 2020. [Google Scholar] [CrossRef] [PubMed]
- Oliva, A.; Antolín, L.; Pertegal, M.Á.; Ríos, M.; Parra, Á.; Hernando, Á.; Reina, M.D.C. Instrumentos Para la Evaluación de la Salud Mental y el Desarrollo Positivo Adolescente y Los Activos Que lo Promueve. Consejería de Salud: Junta de Andalucía, 2011. Available online: https://www.formajoven.org/AdminFJ/doc_recursos/201241812465364.pdf (accessed on 6 February 2020).
- Collins, C.C.; Sage, P.; DeRigne, L.; Fischer, R. Sense of Self, Empowerment, and Interpersonal Skills among African American Teens in East Cleveland, Ohio. Child Adolesc. Soc. Work J. 2020, 37, 137–152. [Google Scholar] [CrossRef]
- Garaigordobil, M.; Peña, A. Social skills intervention: Effects on emotional intelligence and social behavior. Behav. Psychol. 2014, 22, 551–567. [Google Scholar]
- Buckingham, M.H. My Most Important Characteristic Is “My Empathy”: Exploring the Connection between Empathy and Identity in Adolescence. Ph.D. Thesis, Tufts University, Boston, MA, USA, May 2019. [Google Scholar]
- Gutiérrez, M.; Escartí, A.; Pascual, C. Relaciones entre empatía, conducta prosocial, agresividad, autoeficacia y responsabilidad personal y social de los escolares. Psicothema 2011, 23, 13–19. [Google Scholar]
- Mestre, V.; Frías, M.D.; Samper, P.; Tur, A.M. Adaptación y validación en población española del PROM: Una medida objetiva del razonamiento moral prosocial. Acción Psic. 2002, 3, 221–232. [Google Scholar]
- Extremera, N.; Fernández-Berrocal, P. Inteligencia emocional en adolescentes. J. Parent Teach. 2013, 352, 34–39. [Google Scholar]
- Broche-Pérez, Y.; Cruz-López, D. Toma de decisiones en la adolescencia: Entre la razón y la emoción. Cienc. Cogn. 2014, 8, 70–72. [Google Scholar]
- Alonso-Stuyck, P.; Zacarés, J.J.; Ferreres, A. Emotional separation, autonomy in decision-making, and psychosocial adjustment in adolescence: A proposed typology. J. Child Fam. Stud. 2018, 27, 1373–1383. [Google Scholar] [CrossRef]
- Contreras, F.; Espinosa, J.C.; Esguerra, G.; Haikal, A.; Polanía, A.; Rodríguez, A. Autoeficacia, ansiedad y rendimiento académico en adolescentes. Divers. Perspect. En Psic. 2005, 1, 183–194. [Google Scholar] [CrossRef]
- Pertegal, M.A. Los Centros de Educación Secundaria Como Promotores del Desarrollo Positivo Adolescente. Universidad de Sevilla: Sevilla, 2014. Available online: https://idus.us.es/bitstream/handle/11441/72780/file_1.pdf?sequence=1&isAllowed=y (accessed on 20 March 2020).
- Scales, P.C.; Benson, P.L.; Roehlkepartain, E.C.; Sesma, A.; van Dulmen, M. The role of developmental assets in predicting academic achievement: A longitudinal study. J. Adolesc. 2006, 29, 691–708. [Google Scholar] [CrossRef]
- Pellitteri, J.; Smith, B. Building Academic Success on Social and Emotional Learning: What Does the Research Say? Read. Writ. Q. 2007, 23, 197–202. [Google Scholar] [CrossRef]
- Echeburúa, E. Evaluación y Tratamiento de la Fobia Social; Martínez Roca: Barcelona, Spain, 1995. [Google Scholar]
- Rosenberg, M. Society and Adolescent Self-Image; Princeton Legacy Library: New Jersey, NJ, USA, 1965. [Google Scholar]
- Baessler, J.; Schwarcer, R. Evaluación de la autoeficacia: Adaptación española de la escala de Autoeficacia General. Ansied. Estrés 1996, 2, 1–8. [Google Scholar]
- Sanjuán, P.; Pérez, A.M.; Bermúdez, J. Escala de autoeficacia general: Datos psicométricos de la adaptación para población Española. Psicothema 2000, 12, 509–513. [Google Scholar]
- Tarrant, M. Adolescent peer groups and social identity. Soc. Dev. 2002, 11, 110–123. [Google Scholar] [CrossRef]
- Cava, M.J.; Buelga, S.; Herrero, J.; Musitu, G. Estructura factorial de la adaptación española de la escala de Identificación Grupal de Tarrant. Psicothema 2011, 23, 772–777. [Google Scholar] [PubMed]
- Jolliffe, D.; Farrington, D.P. Development and validation of the Basic Empathy Scale. J. Adolesc. 2006, 29, 589–611. [Google Scholar] [CrossRef]
- Bagby, R.M.; Taylor, G.J.; Parker, J.D. The twenty item Toronto Alexithymia Scale II: Convergent, discriminant, and concurrent validity. J. Psychosom. Res. 1994, 38, 33–40. [Google Scholar] [CrossRef]
- Sánchez-Sosa, J.C. Un Modelo Explicativo de Conducta Alimentaria de Riesgo en Adolescentes Escolarizados. Universidad Autónoma de Nueva León: Monterrey. Available online: https://www.uv.es/lisis/sosa/tesis-sanch-sosa.pdf (accessed on 8 March 2020).
- Darden, C.A.; Ginter, E.J.; Gazda, G.M. Life-Skills Development Scale–Adolescent Form: The theoretical and therapeutic relevance of life-skills. J. Ment. Health Couns. 1996, 18, 142–163. [Google Scholar]
- van Breukelen, G.J. ANCOVA versus CHANGE from baseline in nonrandomized studies: The difference. Multivar. Beh. Res. 2013, 48, 895–922. [Google Scholar] [CrossRef] [PubMed]
- Rose, R.A.; Bowen, N.K. Difference-in-Differences as an Alternative to Pretest–Posttest Regression for Social Work Intervention Evaluation and Research. Soc. Work Res. 2019, 43, 247–258. [Google Scholar] [CrossRef]
- Cohen, J. Statistical Power Analysis for the Behavioral Sciences, 2nd ed.; Lawrence Erlbaum Associates: Hillsdale, NJ, USA, 1988. [Google Scholar]
- Hecht, M.L.; Shin, Y. Culture and social and emotional competencies. In Handbook for Social and Emotional Learning: Research and Practice; Durlak, J.A., Domitrovich, C.E., Weissberg, R.P., Gullotta, T.P., Eds.; Guilford Press: New York, NY, USA, 2015; pp. 50–64. [Google Scholar]
- Hoffman, D.M. Reflecting on social and emotional learning: A critical perspective on trends in the United States. Rev. Educ. Res. 2009, 79, 533–556. [Google Scholar] [CrossRef]
- Larson, R.W. Positive development in a disorderly world. J. Res. Adolesc. 2011, 21, 317–334. [Google Scholar] [CrossRef]
- Pittman, K.; Irby, M.; Tolman, J.; Yohalem, N.; Ferber, T. Preventing Problems, Promoting Development, Encouraging Engagement: Competing Priorities or Inseparable Goals? In Preventing Problems or Promoting Development? Pittman, K., Irby, M., Eds.; The Forum for Youth Investment: Washington, DC, USA, 2003; Available online: http://citeseerx.ist.psu.edu/viewdoc/download?doi=10.1.1.471.1224&rep=rep1&type=pdf (accessed on 5 April 2020).
- López, M.; Marco, G.; Palacios, M.M. El fracaso escolar en España y sus regiones: Disparidades territoriales. Rev. De Estud. Reg. 2016, 107, 121–155. [Google Scholar]
- Coatsworth, J.D.; Conroy, D.E. The effects of autonomy-supportive coaching, need satisfaction, and self-perceptions on initiative and identity in youth swimmers. Dev. Psychol. 2009, 45, 320–328. [Google Scholar] [CrossRef] [PubMed]
- Hall, G.; Yohalem, N.; Tolman, J.; Wilson, A. How Afterschool Programs Can Most Effectively Promote Positive Youth Development as a Support to Academic Achievement; National Institute on Out-of-School Time: Wellesley, MA, USA, 2003. [Google Scholar]
- Steffens, N.K.; LaRue, C.J.; Haslam, C.; Walter, Z.C.; Cruwys, T.; Munt, K.A.; Haslam, S.A.; Jetten, J.; Tarrant, M. Social identification-building interventions to improve health: A systematic review and meta-analysis. Health Psychol. Rev. 2019. [Google Scholar] [CrossRef] [PubMed]
- Agans, J.P.; Maley, M.; Rainone, N.; Cope, M.; Turner, A.; Eckenrode, J.; Pillemer, K. Evaluating the evidence for youth outcomes in 4-H: A scoping review. Child. Youth Ser. Rev. 2020, 108, 104617. [Google Scholar] [CrossRef]
- Deane, K.L.; Harré, N. Program theory-driven evaluation science in a youth development context. Eval. Prog. Plng. 2014, 45, 61–70. [Google Scholar] [CrossRef] [PubMed]
- Furness, K.; Williams, M.N.; Veale, J.; Gardner, D.H. Maximising potential: The psychological effects of the youth development programme Project K. N. Z. J. Psychol. 2017, 46, 14–23. [Google Scholar]
- Grocott, A.C.; Hunter, J.A. Increases in global and domain specific self-esteem following a 10- day developmental voyage. Soc. Psychol. Educ. 2009, 12, 443–459. [Google Scholar] [CrossRef]
- Scarf, D.; Kafka, S.; Hayhurst, J.; Jang, K.; Boyes, M.; Thomson, R.; Hunter, J.A. Satisfying psychological needs on the high seas: Explaining increases self-esteem following an adventure education programme. J. Adv. Educ. Outdoor Learn. 2018, 18, 165–175. [Google Scholar] [CrossRef]
- Norton, C.L.; Watt, T.T. Exploring the impact of a wilderness-based positive youth development program for urban youth. J. Exper. Educ. 2014, 37, 335–350. [Google Scholar] [CrossRef]
- Noltemeyer, A.; Palmer, K.; James, A.G.; Wiechman, S. School-Wide Positive Behavioral Interventions and Supports (SWPBIS): A synthesis of existing research. Int. J. Sch. Educ. Psychol. 2018. [Google Scholar] [CrossRef]
- Greenberg, M.T.; Weissberg, R.P.; O’Brien, M.U.; Zins, J.E.; Fredericks, L.; Resnik, H.; Elias, M.J. Enhancing school-based prevention and youth development through coordinated social, emotional, and academic learning. Am. Psychol. 2003, 58, 466. [Google Scholar] [CrossRef]
- Melero, J.C.; Flores, R. Evaluación de la Aplicación en Diez Países de Iberoamérica del Programa de Educación Sobre Drogas “La Aventura de la Vida”; EDEX: Bilbao, Spain, 2002. [Google Scholar]
- Aciego, R.; Domínguez, R.; Hernández, P. Evaluación de la mejora en valores de realización personal y social en adolescentes que han participado en un programa de intervención. Psicothema 2003, 15, 589–594. [Google Scholar]
- Berríos-Valenzuela, L.; Buxarrais-Estrada, M.R. Educación en valores: Análisis sobre las expectativas y los valores de los adolescentes. Educ. Y Educ. 2013, 16, 244–264. [Google Scholar] [CrossRef]
- Eccles, J.S.; Gootman, J.A. Community Programs to Promote Youth Development; National Academies Press: Washington, DC, USA, 2002. [Google Scholar]

| PYD Models | |||
|---|---|---|---|
| Variables | Positive Adolescent Development Model [3] | Five Cs Model [6] | Developmental Assets [7] |
| Self-esteem, Self-efficacy, and Group Identification | Personal Area | Confidence and Competence | Positive Identity and Sense of belonging to the school |
| Relational Skills, Assertiveness, and Conflict Resolution | Social Area | Connection | Special competencies |
| Empathy and Alexithymia | Emotional Area | Caring | Special competencies |
| Planning and decision making | Cognitive Area | Competency | Special competencies |
| Moral Values | Moral Area | Character | Positive values |
| Academic Performance | Cognitive Area | Competency | Commitment to learning |
| Variables | Intervention Group (n = 83) | Control Group (n = 93) | t/χ2(gl) | p |
|---|---|---|---|---|
| Age Mean (SD) | 12.83 (0.867) | 12.95 (0.925) | 0.847 (1, 174) | 0.398 |
| Sex | 0.096 (1) | 0.756 | ||
| Boys | 48.2% | 50.5% | ||
| Girls | 51.8% | 49.5% | ||
| Grade level in Secondary Education | 0.149 (1) | 0.700 | ||
| Grade 7 | 47% | 44.1% | ||
| Grade 8 | 53% | 55.9% | ||
| Academic Mark Mean (SD) | 3.27 (1.21) | 3.37 (1.32) | 5.23 (1, 174) | 0.601 |
| Module | Units | Activities | Time-Frame | |
|---|---|---|---|---|
| Classroom | Family | |||
| MODULE I: Presentation of the program | Unit 1: DPAR program |
|
| September (two weeks) |
| MODULE II: Personal Competencies | Unit 2: Self-esteem Unit 3: Self-concept Unit 4: Self-efficacy Unit 5: Sense of belonging and identity |
|
| October—November (five weeks) |
| MODULE III: Emotional Competencies | Unit 6: Recognition of one’s emotions and those of others Unit 7: Emotional Regulation Unit 8: Empathy |
|
| November—December (five weeks) |
| MODULE IV: Social Competencies | Unit 9: Types of communication: passive, aggressive, and assertive Unit 10: Verbal and non-verbal communication Unit 11: Relational skills Unit 12: Conflict resolution |
|
| January—February (five weeks) |
| MODULE V: Cognitive competencies | Unit 13: Capacity for analysis Unit 14: Creativity Unit 15: Capacity to plan and revise Unit 16: Capacity to make decisions |
|
| March—April (four weeks) |
| MODULE VI: Moral Competencies | Unit 17: Social commitment and responsibility Unit 18: Prosocial attitudes Unit 19: Equality and respect for diversity |
|
| May (four weeks) |
| MODULE VII: Closing the program | Unit 20: Saying good-bye to the program |
| June (two weeks) | |
| Variables | M (SD) | Fb (p) | |||||||
|---|---|---|---|---|---|---|---|---|---|
| Group | Pre-Test | ta | p | Post-Test | Time Effect | Group Effect | Interaction Effect | ||
| Self-esteem | Intervention | 2.87 (0.55) | 1.56 | 120 | 3.30 (0.57) | 29.13 *** | 0.032 | 6.79 ** | 0.04 |
| Control | 2.98 (0.41) | 3.15 (0.45) | |||||||
| Self-efficacy | Intervention | 2.76 (0.54) | 0.48 | 0.140 | 3.22 (0.53) | 20.47 *** | 0.862 | 8.71 ** | 0.05 |
| Control | 2.89 (0.58) | 2.98 (0.66) | |||||||
| Group identification | Intervention | 7.25 (1.43) | 0.515 | 0.607 | 8.71 (1.07) | 13.88 *** | 3.14 | 5.48 * | 0.03 |
| Control | 7.36 (1.44) | 8.13 (1.46) | |||||||
| Empathy | Intervention | 3.53 (0.83) | 1.12 | 0.264 | 4.08 (0.56) | 25.60 *** | 0.372 | 5.30 * | 0.03 |
| Control | 3.65 (0.62) | 3.87 (0.60) | |||||||
| Alexithymia | Intervention | 3.38 (0.89) | −2.27 | 0.024 | 2.59 (0.91) | 37.23 *** | 0.958 | 9.09 ** | 0.05 |
| Control | 3.11 (0.66) | 2.82 (0.73) | |||||||
| Relational skills | Intervention | 4.93 (1.26) | 1.62 | 0.106 | 5.50 (1.47) | 45.54 *** | 5.27 * | 7.43 ** | 0.06 |
| Control | 3.99 (1.14) | 4.46 (1.06) | |||||||
| Assertiveness | Intervention | 5.35 (0.99) | 0.159 | 0.874 | 6.16 (0.74) | 33.70 *** | 10.05 ** | 12.14 ** | 0.06 |
| Control | 5.33 (1.01) | 5.53 (0.88) | |||||||
| Conflict resolution | Intervention | 3.80 (1.36) | 2.95 | 0.004 | 4.99 (1.50) | 23.70 *** | 0.26 | 12.78 *** | 0.07 |
| Control | 4.36 (1.26) | 4.54 (1.24) | |||||||
| Planning and decision making | Intervention | 4.76 (0.91) | 3.76 | 0.001 | 5.12 (1.16) | 4.44 * | 11.57 *** | 1.67 | 0.01 |
| Control | 5.30 (0.95) | 5.42 (1.13) | |||||||
| Moral values | Intervention | 4.76 (0.85) | 0.51 | 0.133 | 5.08 (0.85) | 11.53 *** | 1.57 | 0.102 | 0.001 |
| Control | 4.96 (0.84) | 5.17 (0.86) | |||||||
| Academic performance | Intervention | 3.27 (1.21) | 0.523 | 0.601 | 3.81 (0.803) | 48.64 *** | 0.568 | 25.64 *** | 0.128 |
| Control | 3.37 (1.32) | 3.45 (1.20) | |||||||
| Variables | 95% CI | ||||||
|---|---|---|---|---|---|---|---|
| Group | Mean dif. (I-J) | Std. Error | Sig. a | LL | UL | Cohen’s d | |
| Self-esteem | Intervention | 0.419 | 0.073 | 0.001 | 0.274 | 0.564 | 0.79 |
| Control | 0.146 | 0.075 | 0.052 | −0.002 | 0.294 | 0.32 | |
| Self-efficacy | Intervention | 0.459 | 0.088 | <0.001 | 0.285 | 0.633 | 0.84 |
| Control | 0.097 | 0.086 | 0.260 | −0.072 | 0.265 | 0.14 | |
| Group identification | Intervention | 1.46 | 0.211 | 0.001 | 1.04 | 1.87 | 1.15 |
| Control | 0.771 | 0.207 | <0.001 | 0.362 | 1.18 | 0.53 | |
| Empathy | Intervention | 0.554 | 0.109 | <0.001 | 0.339 | 0.769 | 0.79 |
| Control | 0.207 | 0.104 | 0.058 | 0.002 | 0.413 | 0.36 | |
| Alexithymia | Intervention | −0.817 | 0.132 | 0.001 | −1.07 | −0.555 | 0.89 |
| Control | −0.277 | 0.121 | 0.023 | −0.515 | −0.038 | 0.41 | |
| Relational skills | Intervention | 0.059 | 0.231 | 0.001 | 1.11 | 2.03 | 0.94 |
| Control | 0.846 | 0.246 | 0.798 | 0.359 | 1.33 | 0.14 | |
| Assertiveness | Intervention | 0.839 | 0.130 | 0.001 | 0.583 | 1.09 | 0.75 |
| Control | 0.210 | 0.126 | 0.096 | −0.038 | 0.458 | 0.21 | |
| Conflict resolution | Intervention | 1.20 | 0.205 | 0.001 | 0.797 | 1.60 | 0.82 |
| Control | 0.184 | 0.197 | 0.353 | −0.206 | 0.574 | 0.12 | |
| Academic performance | Intervention | 0.542 | 0.065 | <0.001 | 0.413 | 0.480 | 0.52 |
| Control | 0.086 | 0.062 | 0.166 | −0.036 | 0.208 | 0.06 | |
© 2020 by the authors. Licensee MDPI, Basel, Switzerland. This article is an open access article distributed under the terms and conditions of the Creative Commons Attribution (CC BY) license (http://creativecommons.org/licenses/by/4.0/).
Share and Cite
Paricio, D.; Rodrigo, M.F.; Viguer, P.; Herrera, M. Positive Adolescent Development: Effects of a Psychosocial Intervention Program in a Rural Setting. Int. J. Environ. Res. Public Health 2020, 17, 6784. https://doi.org/10.3390/ijerph17186784
Paricio D, Rodrigo MF, Viguer P, Herrera M. Positive Adolescent Development: Effects of a Psychosocial Intervention Program in a Rural Setting. International Journal of Environmental Research and Public Health. 2020; 17(18):6784. https://doi.org/10.3390/ijerph17186784
Chicago/Turabian StyleParicio, Diana, Maria F. Rodrigo, Paz Viguer, and Marina Herrera. 2020. "Positive Adolescent Development: Effects of a Psychosocial Intervention Program in a Rural Setting" International Journal of Environmental Research and Public Health 17, no. 18: 6784. https://doi.org/10.3390/ijerph17186784
APA StyleParicio, D., Rodrigo, M. F., Viguer, P., & Herrera, M. (2020). Positive Adolescent Development: Effects of a Psychosocial Intervention Program in a Rural Setting. International Journal of Environmental Research and Public Health, 17(18), 6784. https://doi.org/10.3390/ijerph17186784

