High-Performance Handball Player’s Time-Motion Analysis by Playing Positions
Abstract
1. Introduction
2. Materials and Methods
2.1. Subjects
2.2. Instruments
2.3. Procedure
2.4. Data Analysis
3. Results
3.1. Time on Court, Distance Covered in Offense and Defense
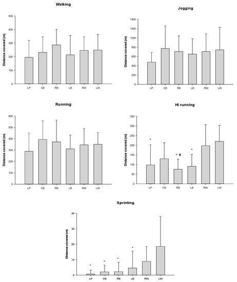
3.2. Positional Differences in Distance Covered and Speeds
3.3. Running Pace by Playing Positions
4. Discussion
5. Conclusions
Practical Applications
Author Contributions
Funding
Conflicts of Interest
References
- Manchado, C.; Tortosa-Martinez, J.; Vila, H.; Ferragut, C.; Platen, P. Performance factors in women’s team handball: Physical and physiological aspects—A review. J. Strength Cond. Res. 2013, 27, 1708–1719. [Google Scholar] [CrossRef] [PubMed]
- Fasold, F.; Redlich, D. Foul or no Foul? Effects of Permitted Fouls on the Defence Performance in Team Handball. J. Hum. Kinet. 2018, 63, 53–59. [Google Scholar] [CrossRef] [PubMed]
- Cardinale, M.; Whiteley, R.; Hosny, A.A.; Popovic, N. Activity Profiles and Positional Differences of Handball Players During the World Championships in Qatar 2015. Int. J. Sports Physiol. Perform. 2017, 12, 908–915. [Google Scholar] [CrossRef] [PubMed]
- Michalsik, L.B.; Aagaard, P.; Madsen, K. Locomotion characteristics and match-induced impairments in physical performance in male elite team handball players. Int. J. Sports Med. 2013, 34, 590–599. [Google Scholar] [CrossRef]
- Povoas, S.C.; Ascensao, A.A.; Magalhaes, J.; Seabra, A.F.; Krustrup, P.; Soares, J.M.; Rebelo, A.N. Physiological demands of elite team handball with special reference to playing position. J. Strength Cond. Res. 2014, 28, 430–442. [Google Scholar] [CrossRef]
- Luteberget, L.S.; Spencer, M. High-intensity events in international women’s team handball matches. Int. J. Sports Physiol. Perform. 2017, 12, 56–61. [Google Scholar] [CrossRef]
- Pereira, L.A.; Nimphius, S.; Kobal, R.; Kitamura, K.; Turisco, L.A.; Orsi, R.C.; Abad, C.C.; Loturco, I. Relationship between change of direction, speed, and power in male and female national olympic team handball athletes. J. Strength Cond. Res. 2018, 32, 2987–2994. [Google Scholar] [CrossRef]
- Ortega-Becerra, M.; Belloso-Vergara, A.; Pareja-Blanco, F. Physical and physiological demands during handball matches in male adolescent players. J. Hum. Kinet. 2020, 72, 253–263. [Google Scholar] [CrossRef]
- Kniubaite, A.; Skarbalius, A.; Clemente, F.M.; Conte, D. Quantification of external and internal match loads in elite female team handball. Biol. Sport 2019, 36, 311–316. [Google Scholar] [CrossRef]
- Karcher, C.; Buchheit, M. On-court demands of elite handball, with special reference to playing positions. Sports Med. 2014, 44, 797–814. [Google Scholar] [CrossRef]
- Michalsik, L.B.; Madsen, K.; Aagaard, P. Match performance and physiological capacity of female elite team handball players. Int. J. Sports Med. 2014, 35, 595–607. [Google Scholar] [CrossRef] [PubMed]
- Povoas, S.C.; Seabra, A.F.; Ascensao, A.A.; Magalhaes, J.; Soares, J.M.; Rebelo, A.N. Physical and physiological demands of elite team handball. J. Strength Cond. Res. 2012, 26, 3365–3375. [Google Scholar] [CrossRef] [PubMed]
- Luig, P.; Manchado, C.; Pers, J.; Kristan, M.; Schander, I.; Zimmermann, M.; Henke, T. Motion characteristics according to playing positions in international men’s team handball. In Proceedings of the 13th Annual Congress of the European College of Sports Science, Estoril, Potugal, 9–12 July 2008; pp. 241–247. [Google Scholar]
- Hoppe, M.W.; Baumgart, C.; Polglaze, T.; Freiwald, J. Validity and reliability of GPS and LPS for measuring distances covered and sprint mechanical properties in team sports. PLoS ONE 2018, 13. [Google Scholar] [CrossRef] [PubMed]
- Link, D.; Weber, M.; Linke, D.; Lames, M. Can positioning systems replace timing gates for measuring sprint time in ice hockey? Front. Physiol. 2019, 9, 1882. [Google Scholar] [CrossRef]
- Fleureau, A.; Lacome, M.; Buchheit, M.; Couturier, A.; Rabita, G. Validity of an ultra-wideband local positioning system to assess specifc movements in handball. Biol. Sport 2020. [Google Scholar] [CrossRef]
- Gonzalez-Haro, P.J.; Gómez-Carmona, C.D.; Bastida-Castillo, A.; Rojas-Valverde, D.; Gómez-López, M.; Pino-Ortega, J. Analysis of playing position and match statusrelated differences in external load demands on amateur handball: A case study. Rev. Bras. Cineantropom. Hum. 2020, 22, e71427. [Google Scholar] [CrossRef]
- Hansen, C.; Sanz-Lopez, F.; Whiteley, R.; Popovic, N.; Ahmed, H.A.; Cardinale, M. Performance analysis of male handball goalkeepers at the World Handball championship 2015. Biol. Sport 2017, 34, 393–400. [Google Scholar] [CrossRef]
- Belka, J.; Hulka, K.; Safar, M.; Weisser, R.; Samcova, A. Analyses of time-motion and heart rate in elite female players (U19) during competitive handball matches. Kinesiology 2014, 46, 33–43. [Google Scholar]
- Higham, D.G.; Pyne, D.B.; Anson, J.M.; Eddy, A. Movement patterns in rugby sevens: Effects of tournament level, fatigue and substitute players. J. Sci. Med. Sport 2012, 15, 277–282. [Google Scholar] [CrossRef]
- Akenhead, R.; Hayes, P.R.; Thompson, K.G.; French, D. Diminutions of acceleration and deceleration output during professional football match play. J. Sci. Med. Sport 2013, 16, 556–561. [Google Scholar] [CrossRef]
- Hopkins, W.G. A Scale of Magnitudes for Effect Statistics. A New View of Statistics. Available online: www.sportsci.org/resource/stats/effectmag.html (accessed on 8 September 2020).
- Chelly, M.S.; Hermassi, S.; Aouadi, R.; Khalifa, R.; Van den Tillaar, R.; Chamari, K.; Shephard, R.J. Match Analysis of elite adolescent team handball players. J. Strength Cond. Res. 2011, 25, 2410–2417. [Google Scholar] [CrossRef] [PubMed]
- Pers, J.; Bon, M.; Kovacic, S.; Siblia, M.; Dezman, B. Observation and analysis of large-scale human motion. Hum. Mov. Sci. 2002, 21, 295–311. [Google Scholar] [CrossRef]
- Buchel, D.; Jakobsmeyer, R.; Doring, M.; Adams, M.; Ruckert, U.; Baumeister, J. Effect of playing position and time on-court on activity profiles in german elite team handball. Int. J. Perform. Anal. Sport 2019, 19, 832–844. [Google Scholar] [CrossRef]







| Teams | n | Height (cm) | Body Mass (kg) | BMI (kg/m2) | Age (Years) |
|---|---|---|---|---|---|
| TELEKOM VESZPRÉM | 14 | 193.0 ± 8.8 | 92.9 ± 13.6 | 24.8 ± 1.8 | 31.0 ± 4.2 |
| HC VARDAR | 13 | 190.2 ± 10.4 | 90.5 ± 14.3 | 24.9 ± 2.4 | 29.7 ± 4.2 |
| KS KIELCE | 13 | 190.1 ± 6.4 | 90.1 ± 9.9 | 24.9 ± 2.1 | 28.2 ± 6.1 |
| Total | 40 | 191.1 ± 8.6 | 91.2 ± 12.5 | 24.8 ± 2.1 | 29.7 ± 4.9 |
| Playing Positions | Walking | Jogging | Running | High Running | Sprinting |
|---|---|---|---|---|---|
| LP | CB 0.80 | ||||
| RB 0.86 | |||||
| LB 0.61 | |||||
| RW 0.76 | |||||
| LW 0.76 | |||||
| CB | LP 0.63 | LB 0.54 | |||
| LW 0.57 | RB 0.75 | ||||
| RB | LP 0.75 | ||||
| LB 0.54 | |||||
| LB | |||||
| RW | LP 0.93 | LP 1.19 | |||
| LB 1.23 | CB 0.90 | ||||
| RB 1.34 | RB 0.79 | ||||
| CB 0.69 | |||||
| LW | LP 1.25 | LP 1.44 | |||
| CB 1.07 | CB 1.24 | ||||
| LB 1.81 | RB 1.11 | ||||
| RB 2.04 | LB 0.95 |
| Playing Positions | Walking | Jogging | Running | High Running | Sprinting |
|---|---|---|---|---|---|
| CB | MR 1.31 | OR 0.77 | ML 0.68 | ||
| ML 1.38 | MR 1.05 | OR 1.19 | |||
| OR 1 | ML 0.93 | OL 1.26 | |||
| OL 0.90 | FD 1.11 | FD 2.65 | |||
| FD 0.51 | |||||
| MR | OL 0.61 | OL 0.52. | OR 0.65 | ||
| FD 0.77 | OL 0.84 | ||||
| ML | OL 0.65 | ||||
| FD 0.84 | |||||
| OR | |||||
| OL | CB 1.07 | ||||
| ML 0.85 | |||||
| MR 0.64 | |||||
| FD | MR 1.74 | MR 1.46 | OR 0.50 | CB 4.21 | |
| ML 1.89 | CB 1.17 | MR 1.62 | |||
| OR 1.45 | ML 1.04 | ML 2.46 | |||
| OL 0.71 | OR 0.71 | OR 1.80 | |||
| OL 0.56 | OL 0.57 |
© 2020 by the authors. Licensee MDPI, Basel, Switzerland. This article is an open access article distributed under the terms and conditions of the Creative Commons Attribution (CC BY) license (http://creativecommons.org/licenses/by/4.0/).
Share and Cite
Manchado, C.; Tortosa Martínez, J.; Pueo, B.; Cortell Tormo, J.M.; Vila, H.; Ferragut, C.; Sánchez Sánchez, F.; Busquier, S.; Amat, S.; Chirosa Ríos, L.J. High-Performance Handball Player’s Time-Motion Analysis by Playing Positions. Int. J. Environ. Res. Public Health 2020, 17, 6768. https://doi.org/10.3390/ijerph17186768
Manchado C, Tortosa Martínez J, Pueo B, Cortell Tormo JM, Vila H, Ferragut C, Sánchez Sánchez F, Busquier S, Amat S, Chirosa Ríos LJ. High-Performance Handball Player’s Time-Motion Analysis by Playing Positions. International Journal of Environmental Research and Public Health. 2020; 17(18):6768. https://doi.org/10.3390/ijerph17186768
Chicago/Turabian StyleManchado, Carmen, Juan Tortosa Martínez, Basilio Pueo, Juan Manuel Cortell Tormo, Helena Vila, Carmen Ferragut, Francisco Sánchez Sánchez, Sonia Busquier, Sergio Amat, and Luis Javier Chirosa Ríos. 2020. "High-Performance Handball Player’s Time-Motion Analysis by Playing Positions" International Journal of Environmental Research and Public Health 17, no. 18: 6768. https://doi.org/10.3390/ijerph17186768
APA StyleManchado, C., Tortosa Martínez, J., Pueo, B., Cortell Tormo, J. M., Vila, H., Ferragut, C., Sánchez Sánchez, F., Busquier, S., Amat, S., & Chirosa Ríos, L. J. (2020). High-Performance Handball Player’s Time-Motion Analysis by Playing Positions. International Journal of Environmental Research and Public Health, 17(18), 6768. https://doi.org/10.3390/ijerph17186768

