Study of Evolution of Microbiological Properties in Sewage Sludge-Amended Soils: A Pilot Experience
Abstract
1. Introduction
2. Materials and Methods
2.1. Sewage Sludge, Agricultural Soils and Irrigation Water
2.2. Crops
2.3. Application of Sewage Sludge to Agricultural Soils
2.4. Sampling
2.5. Analytical Methodology
2.5.1. Microbiological Parameters
2.5.2. Physical and Chemical Parameters
3. Results and Discussion
3.1. Initial Properties of Treated Sewage Sludge, Agricultural Soils and Irrigation Water
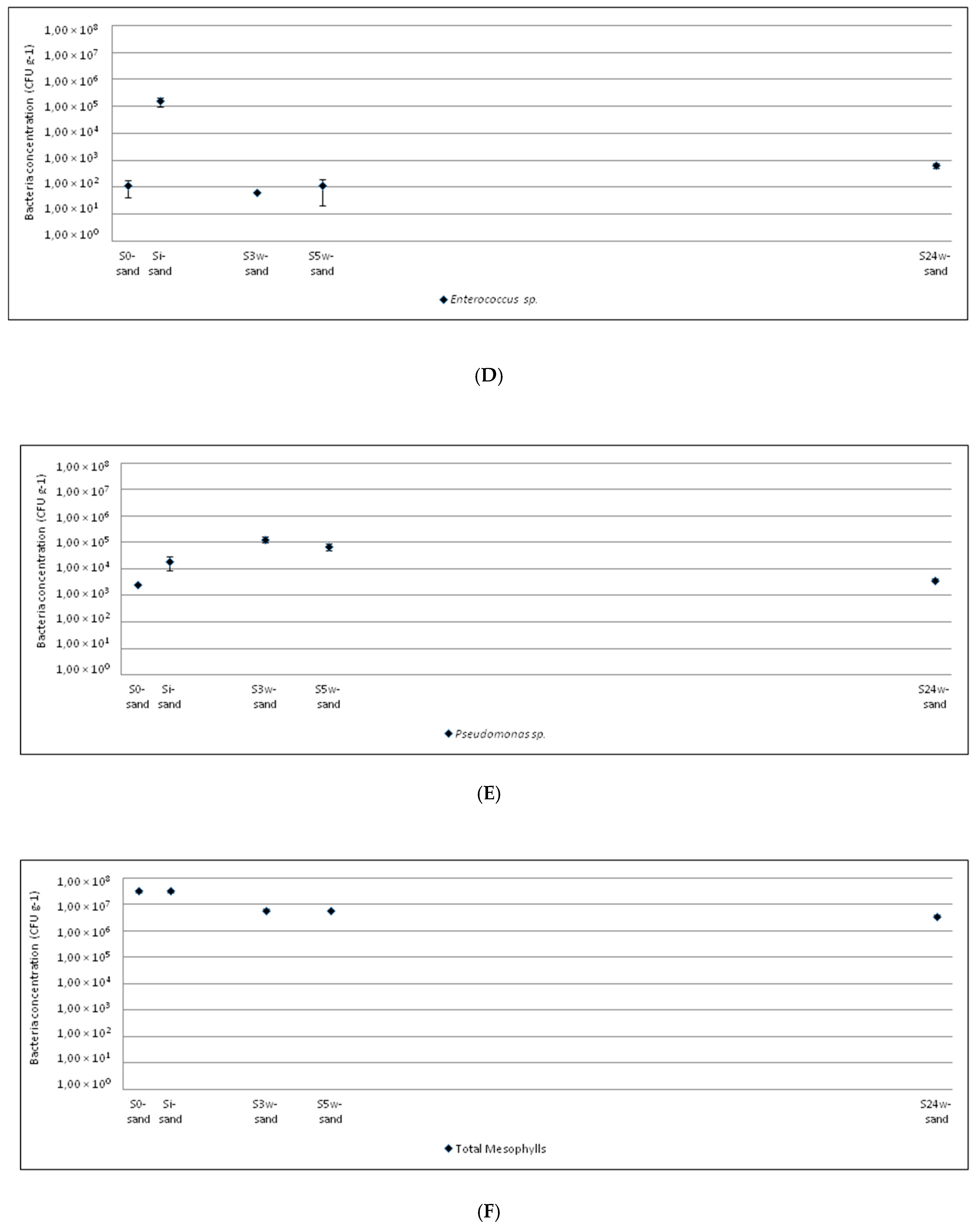
3.2. Evolution of the Microbiological Quality of Amended Soils
3.3. Evolution of the Physical-Chemical Quality of Amended Soils
4. Conclusions
Author Contributions
Funding
Acknowledgments
Conflicts of Interest
References
- Tchobanoglous, G.; Burton, F.L.; Stensel, H.D. Chapter 14 Treatment, Reuse and Disposal of Solids and Biosolids. In Wastewater Engineering: Treatment and Reuse; Metcalf & Eddy, Inc./McGraw-Hill Eds.: New York, NY, USA, 2003; pp. 1460–1465. [Google Scholar]
- O.J.E.U. (Official Journal of the European Union). Directive 2008/98/EC of the European Parliament and of the Council of 19 November 2008 on waste and repealing certain Directives. L312. 22.11.2008. 2008. [Google Scholar]
- B.O.E. Ministerio de Agricultura, Alimentación y Medio Ambiente. Resolución de 16 de noviembre de 2015, de la Dirección General de Calidad y Evaluación Ambiental y Medio Natural, por la que se publica el Acuerdo del Consejo de Ministros de 6 de noviembre de 2015, por el que se aprueba el Plan Estatal Marco de Gestión de Residuos (PEMAR) 2016–2022. Boletín Oficial del Estado Nº 297, 12.12.2015. 2015. [Google Scholar]
- B.O.E. Real Decreto 1310/1990, de 29 de octubre, por el que se regula la utilización de los lodos de depuración en el sector agrario. Boletín Oficial del Estado Nº 262, 1.11.1990. 1990. [Google Scholar]
- O.J.E.C. (Official Journal of the European Communities). Directive 86/278/CE of 12 June 1986 on the protection of the environment, and in particular of the soil, when sewage sludge is used in agriculture. No L 181/6. 4.7.86. 1986. [Google Scholar]
- Fijalkowski, K.; Rorat, A.; Grobelak, A.; Kacprzak, M.J. The presence of contaminations in sewage sludge: The current situation. J. Environ. Manag. 2017, 203, 1126–1136. [Google Scholar] [CrossRef]
- Murray, R.; Tien, Y.C.; Scott, A.; Topp, E. The impact of municipal suldge stabilization processes on the abundance, field persistence and transmission of antibiotic resistant bacteria and antibiotic resistance genes to vegetables at harvest. Sci. Total Environ. 2019, 651, 1680–1687. [Google Scholar] [CrossRef] [PubMed]
- E.U. European Commission Web Site. 2019. Available online: http://ec.europa.eu/environment/waste/sludge/index.htm (accessed on 31 December 2019).
- B.O.E. Orden AAA/1072/2013, de 7 de junio, sobre utilización de lodos de depuración en el sector agrario. Boletín Oficial del Estado Nº 142, 14.06.2013. 2013. [Google Scholar]
- Goberna, M.; Simón, P.; Hernández, M.T.; García, C. Prokaryotic communities and potential pathogens in sewage sludge: Response to wastewater origin, loading rate and treatments technology. Sci. Total Environ. 2018, 615, 360–368. [Google Scholar] [CrossRef]
- Scaglia, B.; D’Imporzano, G.; Garuti, G.; Negri, M.; Adani, F. Sanitation ability of anaerobic digestion performed at different temperature on sewage sludge. Sci. Total Environ. 2014, 466–467, 888–897. [Google Scholar] [CrossRef] [PubMed]
- López, A.; Rodríguez-Chueca, J.; Mosteo, R.; Gómez, J.; Ormad, M.P. Microbiological quality of sewage sludge after digestion treatment: A pilot scale case of study. J. Clean Prod. 2020, 254, 120101. [Google Scholar] [CrossRef]
- E.P.A. (Environmental Protection Agency). Environmental Regulations and Technology Control of Pathogens and Vector Attraction in Sewage Sludge Control of Pathogens and Vector Attraction. Environ. Prot. 2003, 47, 498–504. [Google Scholar]
- E.U. Draft Discussion Document for the AD Hoc Meeting on Biowastes and Sludges. European Union 80. January 2004. [Google Scholar]
- E.U. European Union Working Document on Sludge and Biowaste, Nº01/2010. September 2010. [Google Scholar]
- Martín-Díaz, J.; Lucena, F.; Blanch, A.R.; Jofre, J. Review: Indicator bacteriophages in sludge, biosolids, sediments and soils. Environ. Res. 2020, 182, 109133. [Google Scholar] [CrossRef]
- Ngole, V.; Mpuchane, S.; Totolo, O. Survival of faecal coliforms in four different types of sludge amended soils in Botswana. Eur. J. Soil Biol. 2006, 42, 208. [Google Scholar] [CrossRef]
- Pourcher, A.M.; Francoise, P.B.; Virginie, F.; Agnieszka, G.; Vasilica, S.; Gérard, M. Survival of faecal indicators and enteroviruses in soil after land-spreading of municipal sewage sludge. Appl. Soil Ecol. 2007, 35, 473–479. [Google Scholar] [CrossRef]
- Estrada, I.B.; Aller, A.; Aller, F.; Gómez, X.; Morán, A. The survival of Escherichia coli, faecal coliforms and enterobacteriaceae in general in soil treated with sludge from wastewater treatment plants. Bioresour. Technol. 2004, 93, 191–198. [Google Scholar] [CrossRef]
- Gondim-Porto, C.; Platero, L.; Nadal, I.; Navarro-García, F. Fate of classical faecal bacterial markers and ampicillin-resistant bacteria in agricultural soils under Mediterranean climate after urban sludge amendment. Sci. Total Environ. 2016, 565, 200–210. [Google Scholar] [CrossRef] [PubMed]
- Horswell, J.; Ambrose, V.; Clucas, L.; Leckie, A.; Clinton, P.; Speir, T.W. Survival of Escherichia coli and Salmonella spp. after application of sewage sludge to a Pinus radiate forest. J. Appl. Microbiol. 2007, 103, 1321–1331. [Google Scholar] [CrossRef] [PubMed]
- Lang, N.L.; Smith, S.R. Influence of soil type, moisture content and biosolids application on the fate of Escherichia coli in agricultural soil under controlled laboratory conditions. J. Appl. Microbiol. 2007, 103, 2122–2131. [Google Scholar] [CrossRef] [PubMed]
- Schwarz, K.R.; Sidhu, J.P.S.; Pritchard, D.L.; Li, Y.; Toze, S. Decay of enteric microorganisms in biosolids-amended soil under wheat (Triticum aestivum) cultivation. Water Res. 2014, 59, 185–197. [Google Scholar] [CrossRef]
- Vieira, R.F.; Pazianotto, R.A.A. Microbial activities in soil cultivated with corn and amended with sewage sludge. Springerplus 2016, 5, 1844. [Google Scholar] [CrossRef]
- Gonzalez-Ubierna, S.; Jorge-Mardomingo, I.; Cruz, M.; Valverde, I.; Casermeiro, M. Sewage sludge application in Mediterranean agricultural soils: Effects of dose on the soil carbon cycle. Int. J. Environ. Res. 2013, 7, 945–956. [Google Scholar] [CrossRef]
- Heras de las, J.; Mañas, P.; Labrador, J. Effects of several applications of digested sewage sludge on soil and plants. J. Environ. Sci. Health A 2005, 40, 437–451. [Google Scholar] [CrossRef]
- Xu, C.; Wang, D.; Huber, A.; Weese, S.J.; Warriner, K. Persistence of Clostridium difficile in wastewater treatment-derived biosolids during land application or windrow composting. J. Appl. Microbiol. 2016, 120, 312–320. [Google Scholar] [CrossRef]
- Weil, R.R.; Brady, N.C. The Nature and Properties of Soils, 15th ed.; Pearson: London, UK, 2016; ISBN 978-0133254488. [Google Scholar]
- Garrido-Valero, M.S. Interpretación de Análisis de Suelos; Ministerio de Agricultura, Pesca y Alimentación. Secretaría General de Estructuras Agrarias: Madrid, Spain, 1994; ISBN 84-341-0810-0. [Google Scholar]
- López-Bellido, L.; Betrán-Aso, J.; Ramos-Monreal, A.; López-Córcoles, H.; López-Fuster, P.; Bermejo-Corrales, J.L.; Urbano-Terrón, P.; Piñeiro-Andión, J.; Insua-Castro, J.; Blázquez-Rodríguez, R.; et al. Guía Práctica de la Fertilización Racional de los Cultivos en España. Parte II: Abonado de los Principales Cultivos en España; Ministerio de Medio Ambiente y Medio Rural y Marino: Madrid, Spain, 2009; ISBN 978-84-491-0997-3. [Google Scholar]
- Carter, M.R. Soil Sampling and Methods of Analysis; Lewis Publishers, Ed.; Taylor & Francis Group: Abingdon, UK, 1993; ISBN 978-0-8493-3586-0. [Google Scholar]
- ISO. Water Quality-Sampling-Part 13: Guidance on Sampling of Sludges; ISO. 5667-13:2011; ISO: Geneva, Switzerland, 2011. [Google Scholar]
- ISO. Water Quality-Sampling-Part 3: Preservation and Handling of Water Samples; ISO. 5667-3:2018; ISO: Geneva, Switzerland, 2018. [Google Scholar]
- ISO. Water Quality-Enumeration of Escherichia coli and Coliform Bacteria-Part 1: Membrane Filtration Method for Waters with Low Bacterial Background Flora; ISO. 9308-1:2014/Amd 1:2016; ISO: Geneva, Switzerland, 2017. [Google Scholar]
- APHA. Standard Methods for the Examination of Water & Wastewater, 21st ed.; American Public Health Association/American Water Works Association/Water Environment Federation: Washington, DC, USA, 2005; ISBN 9780875530475. [Google Scholar]
- ISO. Microbiology of Food and Animal Feeding Stuffs-Horizontal Method for the Enumeration of Coagulase-Positive Staphylococci (Staphylococcus aureus and Other Species)-Part 1: Technique Using Baird-Parker Agar Medium-Amendment 2: Inclusion of an Alternative Confirmation Test Using RPFA Stab Method; ISO. 6888-1:1999/Amd 2:2018; ISO: Geneva, Switzerland, 2018. [Google Scholar]
- ISO. Detection and Enumeration of Intestinal Enterococci-Part 2: Membrane Filtration Method; ISO. 7899-2:2000; ISO: Geneva, Switzerland, 2000. [Google Scholar]
- ISO. Detection and Enumeration of Pseudomonas Aeruginosa-Method by Membrane Filtration; ISO. 16266:2006; ISO: Geneva, Switzerland, 2006. [Google Scholar]
- ISO. Microbiology of the Food Chain-Horizontal Method FOR THE Detection, Enumeration and Serotyping of Salmonella-Part 1: Detection of Salmonella spp.; ISO 6579-1:2017; ISO: Geneva, Switzerland, 2017. [Google Scholar]
- ISO. Water Quality. Determination of Electrical Conductivity; ISO. 7888:1985; ISO: Geneva, Switzerland, 1985. [Google Scholar]
- Iranpour, R.; Cox, H. Recurrence of fecal coliforms and Salmonella species in biosolids following thermophilic anaerobic digestion. Water Environ. Res. 2006, 78, 1005–1012. [Google Scholar] [CrossRef]
- Krzyzanowski, F.; Lauretto, M.S.; Nardocci, A.C.; Zanoli-Sato, M.I.; Razzolini, M.T. Assessing the probability of infection by Salmonella due to sewage sludge in agriculture under several exposure scenarios for crops and soil ingestion. Sci. Total Environ. 2016, 568, 66–74. [Google Scholar] [CrossRef]
- Sidhu, P.S.; Toze, S.G. Human pathogens and their indicators in biosolids: A literature review. Environ. Int. 2009, 35, 187–201. [Google Scholar] [CrossRef] [PubMed]
- Bascones-Merino, E. Análisis de Suelos y Consejos de Abonado. Colección Agricultura y Medio Ambiente. Cuaderno Didáctico 10; Diputación de Valladolid: Madrid, Spain, 2004. [Google Scholar]
- Nowak, A.; Aschenbrenner, P.; Szentannai, P.; Mattenberger, H.; Rechberger, H.; Hermann, L.; Winter, F. Heavy metal removal from minicipal soid waste fly ash by chloritantion and thermal treatment. J. Hazard. Mater. 2010, 179, 323–331. [Google Scholar] [CrossRef] [PubMed]
- Oleszczuk, P. Persistence of polycyclic aromatic hydrocarbons (PAHs) in sewage sludge-amended soil. Chemosphere 2006, 65, 1616–1626. [Google Scholar] [CrossRef] [PubMed]
- Siebielec, G.; Siebielec, S.; Lipski, D. Long-term impact of sewage sludge, digestate and mineral fertilizers on plant yield and soil biological activity. J. Clean. Prod. 2018, 187, 372–379. [Google Scholar] [CrossRef]
- Alvarenga, P.; Mourinha, C.; Farto, M.; Santos, T.; Palma, P.; Sengo, J.; Morais, M.C.; Cunha-Queda, C. Sewage sludge, compost and other representative organic wastes as agricultural soil amendments: Benefits versus limiting factors. Waste Manag. 2015, 40, 44–52. [Google Scholar] [CrossRef]
- Bourioug, M.; Gimber, F.; Alaoui-Sehmer, L.; Benbrahim, M.; Aleya, L.; Alaoui-Sossé, B. Sewage sludge application in a plantation: Effects on trace metal transfer in soil–plant–snail continuum. Sci. Total Environ. 2015, 502, 309–314. [Google Scholar] [CrossRef]
- Cerqueira, B.; Vega, F.A.; Silva, L.F.O.; Andrade, L. Effects of vegetation on chemical and mineralogical characteristics of soils developed on a decantation bank from a copper mine. Sci. Total Environ. 2012, 421–422, 220–229. [Google Scholar] [CrossRef]
- Bai, Y.; Zang, C.; Gu, M.; Gu, C.; Shao, H.; Guan, Y.; Wang, X.; Zhou, X.; Shan, Y.; Feng, K. Sewage sludge as an initial fertility driver for rapid improvement of mudflat salt-soils. Sci. Total Environ. 2016, 578, 47–55. [Google Scholar] [CrossRef]
- Herzel, H.; Krürger, O.; Hermann, L.; Adam, C. Sewage sludge ash – A promising secondary phosphorus source for fertilizer production. Sci. Total Environ. 2016, 542, 1136–1143. [Google Scholar] [CrossRef]
- Rigby, H.; Clarke, B.O.; Pritchard, D.L.; Meehan, B.; Beshah, F.; Smith, S.R.; Porter, N.A. A critical review of nitrogen mineralization in biosolids-amended soil, the associated fertilizer value for crop production and potential for emissions to the environment. Sci. Total Environ. 2016, 541, 1310–1338. [Google Scholar] [CrossRef]
- Urbaniak, M.; Wyrwicka, A.; Toloczko, W.; Serwecinska, S.; Zielinski, M. The effect of sewage sludge application on soil properties and willow (Salix sp.) cultivation. Sci. Total Environ. 2017, 586, 166–175. [Google Scholar] [CrossRef] [PubMed]
- C.H.E. Hydrographic Confederation of Ebro Web Site. Available online: http://www.saihebro.com/saihebro/index.php (accessed on 30 May 2019).
- García-Orenes, F.; Roldán, A.; Guerrero, C.; Mataix-Solera, J.; Navarro-Pedreño, J.; Gómez, I. Effect of irrigation on the survival of total coliforms in three semiarid soils after amendment with sewage sludge. Waste Manag. 2007, 27, 1815–1819. [Google Scholar] [CrossRef] [PubMed]
- Zaleski, K.J.; Josephson, K.L.; Gerba, C.P.; Pepper, I.L. Potential regrowth and recolonization of salmonellae and indicators in biosolids and biosolid-amended soil. Appl. Environ. Microbiol. 2005, 71, 3701–3708. [Google Scholar] [CrossRef] [PubMed]
- Bonjoch, X.; Blanch, A. Resistance of faecal coliforms and enterococci populations in sludge and biosolids to different hygienisation treatments. Microb. Ecol. 2009, 57, 478–483. [Google Scholar] [CrossRef]
- Gros, A.; Domínguez, A. Abonos Guía Práctica de la Fertilización, 8va. ed.; Ediciones Mundi-Prensa: Madrid, Spain, 1992. [Google Scholar]




| Needs | Corn | Sunflower |
|---|---|---|
| Nitrogen | 24.7–30.0 (kg t−1) | 30.0–40.0 (kg t−1) |
| Phosphorous | 10.2–12.3 (kg t−1) | 15.0–20.0 (kg t−1) |
| Potassium | 20.7–25.2 (kg t−1) | 30.0–40.0(kg t−1) |
| Irrigation water | 6000–7500 m3 Ha−1 | 4000–5000 m3 Ha−1 |
| Bacterium | Culture Media | Standard Method | Reference |
|---|---|---|---|
| Total Coliforms | Chromogenic Coliform Agar (CCA) | ISO 9308–1 | [34] |
| 9215B-C-D | [35] | ||
| Escherichia coli | Chromogenic Coliform Agar (CCA) | ISO 9308–1 | [34] |
| Glucuronic Agar tryptone and bile (TBX) | 9215B-C-D 9222D | [35] | |
| Staphylococcus aureus | Mannitol Agar | ISO 6888–1 | [36] |
| Nutritive Agar + NaCl (20%) | 9215C | [35] | |
| Enterococcus sp. | Slanetx and Bartley Agar | ISO 7899–2 | [37] |
| 9215B-C-D | [35] | ||
| Pseudomonas sp. | Cetrimide Agar | UNE-EN ISO 16266 | [38] |
| 9215C | [35] | ||
| Salmonella sp. | Xylose-Lysine-Desoxycholate (XLD) Agar Chromogenic Agar Salmonella Latex test | UNE-EN ISO 6579 | [39] |
| Total Mesophylls | Nutritive Agar | 9215B | [35] |
| Parameter | Equipment | Standard Method | Reference |
|---|---|---|---|
| pH | Multiparameter meter Orion Star A3295 | 4500H + -B | [35] |
| Temperature | |||
| Conductivity | Conductimeter Hanna HI 9033 | UNE-EN 27888–1994 | [40] |
| Total Organic Carbon | Analyzer Shimadzu | 5310B | [35] |
| Total Solids | Balance, heater | 2540B | [35] |
| Suspended Solids | Balance, heater | 2540D | [35] |
| Organic Nitrogen | Digester | 4500-Norg | [35] |
| Assimilable Phosphorous | - | Olsen Method 4500-P | [35] |
| Assimilable Potassium | Atomic absorption spectrometer | 3111 | [35] |
| Calcium, iron, magnesium, cadmium, copper, nickel, lead, zinc, mercury, chrome | Atomic emission spectrometer (inductively coupled plasma with optical emission spectrophotometry) | 3120B | [35] |
| Bacterium | Ssludge (CFU g−1) | S0-clay (CFU g−1) | S0-sand (CFU g−1) | Sw (CFU 100 mL−1) |
|---|---|---|---|---|
| Total Coliforms | 2.5 ± 0.3 × 106 | 1.3 ± 0.5 × 106 | 8.4 ± 0.4 × 105 | 1.3 ± 0.5 × 103 |
| Escherichia coli | 6.3 ± 0.4 × 105 | 2.0 ± 1.1 × 103 | 4.8 ± 0.6 × 104 | <5.0 × 101 |
| Staphylococcus aureus | 6.3 ± 0.9 × 105 | 2.1 ± 0.9 × 104 | 5.7 ± 0.3 × 104 | 1.5 ± 0.8 × 102 |
| Enterococcus sp. | 5.4 ± 0.5 × 106 | 1.3 ± 1.2 × 103 | 1.1 ± 0.7 × 102 | <1.0 × 101 |
| Pseudomonas sp. | 5.6 ± 2.1 × 105 | 1.1 ± 0.6 × 102 | 2.6 ± 0.1 × 103 | 1.8 ± 0.8 × 103 |
| Total Mesophylls | 2.4 ± 0.3 × 107 | 4.1 ± 0.2 × 107 | 3.2 ± 0.4 × 107 | 2.1 ± 0.3 × 103 |
| Salmonella sp. | Absence | Absence | Absence | Absence |
| Parameter | Units | Ssludge | S0-clay | S0-sand | Sw |
|---|---|---|---|---|---|
| pH | - | 6.6 ± 0.1 | 7.1 ± 0.1 | 7.1 ± 0.1 | 7.2 ± 0.1 |
| Temperature | ºC | 16.0 ± 0.1 | 18.0 ± 0.2 | 18.0 ± 0.2 | 11.8 ± 0.1 |
| Conductivity | μS cm−1 | 1105 ± 10 | 4200 ± 8 | 10715 ± 12 | 162 ± 5 |
| Total Organic Carbon | mg g−1 | 480 ± 30 | 11 ± 1 | 14 ± 2 | 8 ± 1 (mg L−1) |
| Suspended Solids | mg L−1 | - | - | - | 110 ± 2 |
| Total Solids | g g−1 | 0.25 ± 0.01 | 0.85 ± 0.01 | 0.87 ± 0.01 | - |
| Organic Nitrogen | % | 21.34 ± 0.05 | 0.86 ± 0.02 | 0.68 ± 0.01 | - |
| Assimilable Phosphorous | mg kg−1 | 13.3 ± 0.2 | 9.8 ± 0.1 | 10.5 ± 0.2 | - |
| Assimilable Potassium | mg kg−1 | 292 ± 21 | 200 ± 17 | 118 ± 14 | - |
| Calcium | mg kg−1 | 49.39 ± 2.54 | 152.63 ± 3.59 | 161.30 ± 4.12 | - |
| Iron | mg kg−1 | 8.04 ± 0.79 | 22.15 ± 1.57 | 17.58 ± 0.98 | - |
| Magnesium | mg kg−1 | 3.78 ± 0.09 | 7.39 ± 0.15 | 4.34 ± 0.85 | - |
| Cadmium | mg kg−1 | <DL 1 | <DL 1 | <DL 1 | - |
| Copper | mg kg−1 | 0.15 ± 0.01 | <DL 1 | <DL 1 | - |
| Nickel | mg kg−1 | 0.04 ± 0.01 | 0.03 ± 0.01 | 0.03 ± 0.01 | - |
| Lead | mg kg−1 | <DL 1 | <DL 1 | <DL 1 | - |
| Zinc | mg kg−1 | 0.69 ± 0.01 | 0.05 ± 0.01 | 0.05 ± 0.01 | - |
| Mercury | mg kg−1 | <DL 1 | <DL 1 | <DL 1 | - |
| Chrome | mg kg−1 | <DL 1 | <DL 1 | <DL 1 | - |
| Parameter | Units | S0-clay | Si-clay | S3w-clay | S5w-clay | S42w-clay |
|---|---|---|---|---|---|---|
| pH | - | 7.1 ± 0.1 | 7.1 ± 0.1 | 7.0 ± 0.1 | 6.8 ± 0.1 | 7.2 ± 0.1 |
| Temperature | ºC | 18.0 ± 0.2 | 18.0 ± 0.1 | 13.0 ± 0.1 | 18.0 ± 0.1 | 10.4 ± 0.1 |
| Conductivity | μS cm−1 | 4200 ± 8 | 4300 ± 15 | 9000 ± 10 | 9800 ± 10 | 11,000 ± 8 |
| Total Organic Carbon | mg g−1 | 11 ± 1 | 25 ± 3 | 24 ± 2 | 22 ± 2 | 18 ± 2 |
| Total Solids | g g−1 | 0.85 ± 0.01 | 0.85 ± 0.01 | 0.87 ± 0.01 | 0.84 ± 0.01 | 0.84 ± 0.01 |
| Organic Nitrogen | % | 0.86 ± 0.02 | 1.47 ± 0.07 | 0.87 ± 0.05 | 0.80 ± 0.06 | 0.78 ± 0.04 |
| Assimilable Phosphorous | mg kg−1 | 9.8 ± 0.1 | 9.9 ± 0.2 | 8.5 ± 0.1 | 22.1 ± 0.3 | 17.1 ± 0.2 |
| Assimilable Potassium | mg kg−1 | 200 ± 17 | 202 ± 19 | 214 ± 20 | 210 ± 18 | 212 ± 18 |
| Calcium | mg kg−1 | 152.63 ± 3.59 | 149.53 ± 2.58 | 141.67 ± 3.01 | 134.89 ± 2.72 | 129.85 ± 1.54 |
| Iron | mg kg−1 | 22.15 ± 1.57 | 21.73 ± 1.24 | 21.60 ± 1.24 | 21.46 ± 1.54 | 21.42 ± 1.57 |
| Magnesium | mg kg−1 | 7.39 ± 0.15 | 7.28 ± 0.65 | 7.30 ± 0.25 | 7.43 ± 0.74 | 7.35 ± 0.74 |
| Cadmium | mg kg−1 | <DL 1 | <DL 1 | <DL 1 | <DL 1 | <DL 1 |
| Copper | mg kg−1 | <DL 1 | <DL 1 | <DL 1 | <DL 1 | <DL 1 |
| Nickel | mg kg−1 | 0.03 ± 0.01 | 0.03 ± 0.01 | 0.03 ± 0.01 | 0.03 ± 0.01 | 0.03 ± 0.01 |
| Lead | mg kg−1 | <DL 1 | <DL 1 | <DL 1 | <DL 1 | <DL 1 |
| Zinc | mg kg−1 | 0.05 ± 0.01 | 0.07 ± 0.01 | 0.06 ± 0.01 | 0.05 ± 0.01 | 0.05 ± 0.01 |
| Mercury | mg kg−1 | <DL 1 | <DL 1 | <DL 1 | <DL 1 | <DL 1 |
| Chrome | mg kg−1 | <DL 1 | <DL 1 | <DL 1 | <DL 1 | <DL 1 |
| Parameter | Units | S0-sand | Si-sand | S3w-sand | S5w-sand | S24w-sand |
|---|---|---|---|---|---|---|
| pH | - | 7.1 ± 0.1 | 7.1 ± 0.1 | 7.3 ± 0.1 | 7.2 ± 0.1 | 7.1 ± 0.1 |
| Temperature | ºC | 18.0 ± 0.2 | 18.0 ± 0.1 | 13.2 ± 0.1 | 18.4 ± 0.1 | 16.2 ± 0.1 |
| Conductivity | μS cm−1 | 10715 ± 12 | 10700 ± 12 | 11300 ± 10 | 10900 ± 8 | 11500 ± 11 |
| Total Organic Carbon | mg g−1 | 14 ± 2 | 27 ± 2 | 26 ± 2 | 25 ± 1 | 27 ± 1 |
| Total Solids | g g−1 | 0.87 ± 0.01 | 0.87 ± 0.01 | 0.89 ± 0.01 | 0.84 ± 0.01 | 0.92 ± 0.01 |
| Organic Nitrogen | % | 0.68 ± 0.01 | 1.3 ± 0.04 | 0.68 ± 0.05 | 0.60 ± 0.03 | 0.58 ± 0.03 |
| Assimilable Phosphorous | mg kg−1 | 10.5 ± 0.2 | 10.6 ± 0.2 | 6.5 ± 0.1 | 20.5 ± 0.3 | 14.7 ± 0.2 |
| Assimilable Potassium | mg kg−1 | 118 ± 14 | 122 ± 11 | 130 ± 12 | 136 ± 11 | 141 ± 13 |
| Calcium | mg kg−1 | 161.30 ± 4.12 | 157.92 ± 3.48 | 140.57 ± 2.87 | 124.43 ± 1.95 | 127.56 ± 1.57 |
| Iron | mg kg−1 | 17.58 ± 0.98 | 17.30 ± 0.57 | 17.21 ± 0.87 | 16.99 ± 0.15 | 15.17 ± 0.87 |
| Magnesium | mg kg−1 | 4.34 ± 0.85 | 4.32 ± 0.45 | 4.39 ± 0.74 | 4.57 ± 0.65 | 4.39 ± 0.32 |
| Cadmium | mg kg−1 | <DL 1 | <DL 1 | <DL 1 | <DL 1 | <DL 1 |
| Copper | mg kg−1 | <DL 1 | <DL 1 | <DL 1 | <DL 1 | <DL 1 |
| Nickel | mg kg−1 | 0.03 ± 0.01 | 0.03 ± 0.01 | 0.03 ± 0.01 | 0.03 ± 0.01 | 0.03 ± 0.01 |
| Lead | mg kg−1 | <DL 1 | <DL 1 | <DL 1 | <DL 1 | <DL 1 |
| Zinc | mg kg−1 | 0.05 ± 0.01 | 0.07 ± 0.01 | 0.06 ± 0.01 | 0.05 ± 0.01 | 0.05 ± 0.01 |
| Mercury | mg kg−1 | <DL 1 | <DL 1 | <DL 1 | <DL 1 | <DL 1 |
| Chrome | mg kg−1 | <DL 1 | <DL 1 | <DL 1 | <DL 1 | <DL 1 |
© 2020 by the authors. Licensee MDPI, Basel, Switzerland. This article is an open access article distributed under the terms and conditions of the Creative Commons Attribution (CC BY) license (http://creativecommons.org/licenses/by/4.0/).
Share and Cite
Miguel, N.; Sarasa, J.; López, A.; Gómez, J.; Mosteo, R.; Ormad, M.P. Study of Evolution of Microbiological Properties in Sewage Sludge-Amended Soils: A Pilot Experience. Int. J. Environ. Res. Public Health 2020, 17, 6696. https://doi.org/10.3390/ijerph17186696
Miguel N, Sarasa J, López A, Gómez J, Mosteo R, Ormad MP. Study of Evolution of Microbiological Properties in Sewage Sludge-Amended Soils: A Pilot Experience. International Journal of Environmental Research and Public Health. 2020; 17(18):6696. https://doi.org/10.3390/ijerph17186696
Chicago/Turabian StyleMiguel, Natividad, Judith Sarasa, Andrea López, Jairo Gómez, Rosa Mosteo, and María P. Ormad. 2020. "Study of Evolution of Microbiological Properties in Sewage Sludge-Amended Soils: A Pilot Experience" International Journal of Environmental Research and Public Health 17, no. 18: 6696. https://doi.org/10.3390/ijerph17186696
APA StyleMiguel, N., Sarasa, J., López, A., Gómez, J., Mosteo, R., & Ormad, M. P. (2020). Study of Evolution of Microbiological Properties in Sewage Sludge-Amended Soils: A Pilot Experience. International Journal of Environmental Research and Public Health, 17(18), 6696. https://doi.org/10.3390/ijerph17186696

