Resistance Training Acutely Impairs Agility and Spike-Specific Performance Measures in Collegiate Female Volleyball Players Returning from the Off-Season
Abstract
1. Introduction
2. Materials and Methods
2.1. Research Design
2.2. Participants
2.3. Indirect Muscle Damage Markers
2.4. Sport-Specific Jump and Agility
2.5. Spike-Specific Performance
2.6. Repetition Maximum Assessment
2.7. Resistance Training Bout
2.8. Statistical Analysis
3. Results
3.1. Indirect Muscle Damage Markers
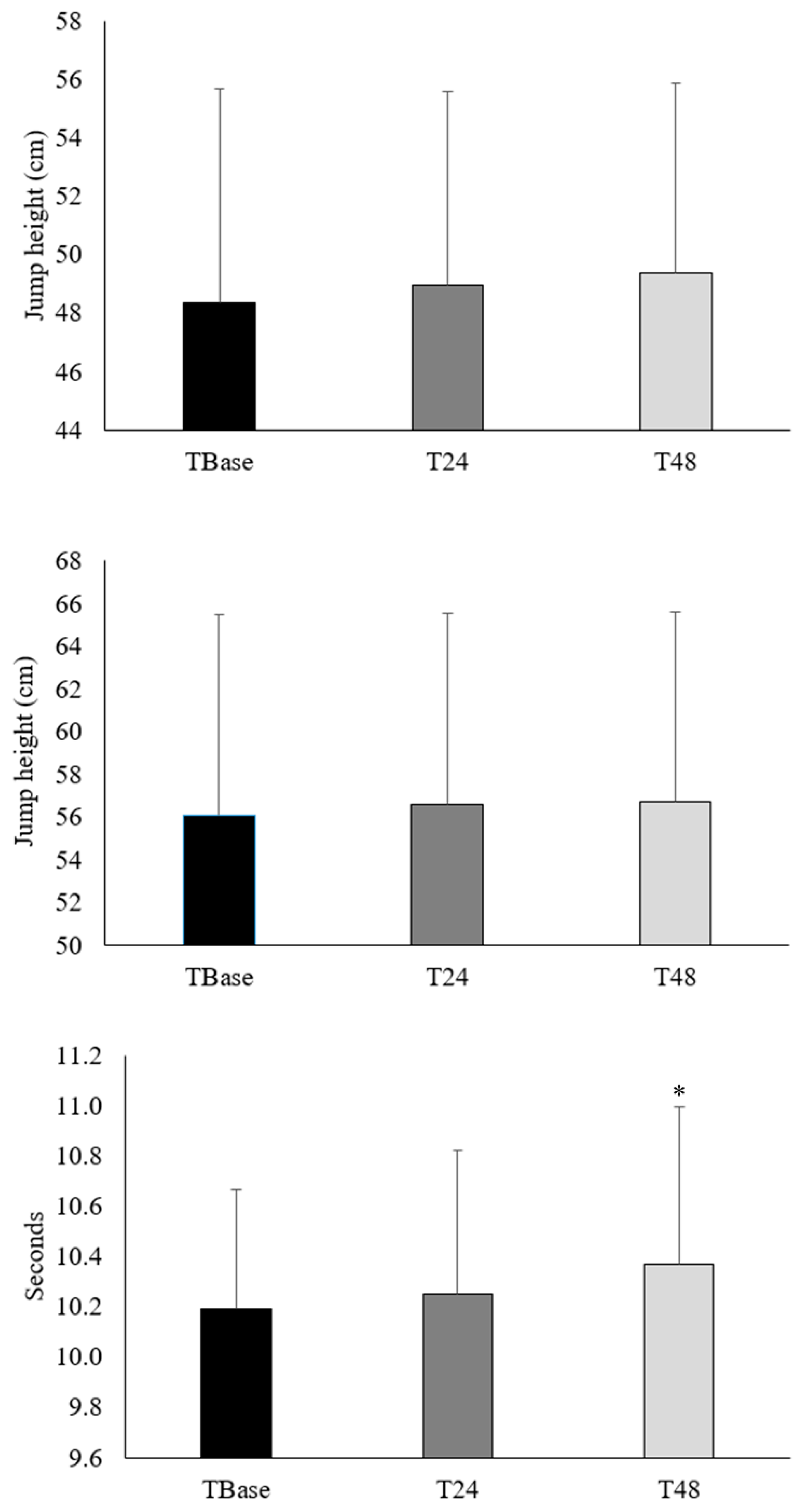
3.2. Sport-Specific and Spike-Specific Performance Measures
4. Discussion
5. Conclusions
Author Contributions
Funding
Acknowledgments
Conflicts of Interest
References
- Künstlinger, U.; Ludwig, H.; Stegemann, J. Metabolic Changes During Volleyball Matches. Int. J. Sports Med. 1987, 8, 315–322. [Google Scholar] [CrossRef] [PubMed]
- Grgantov, Z.; Milić, M.; Katić, R. Identification af explosive power factors as predictors of player quality in young female volleyball players. Coll. Antropol. 2013, 37, 61–68. [Google Scholar] [PubMed]
- Pereira, A.; Costa, A.M.; Santos, P.; Figueiredo, T.; João, P.V. Training strategy of explosive strength in young female volleyball players. Medicina 2015, 51, 126–131. [Google Scholar] [CrossRef] [PubMed]
- Byrnes, W.C.; Clarkson, P.M. Delayed Onset Muscle Soreness and Training. Clin. Sports Med. 1986, 5, 605–614. [Google Scholar] [CrossRef]
- Clarkson, P.M.; Byrnes, W.C.; McCormick, K.M.; Turcotte, L.P.; White, J.S. Muscle Soreness and Serum Creatine Kinase Activity Following Isometric, Eccentric, and Concentric Exercise. Int. J. Sports Med. 1986, 7, 152–155. [Google Scholar] [CrossRef]
- Evans, W.J.; Cannon, J.G. 3 The Metabolic Effects of Exercise-Induced Muscle Damage. Exerc. Sport Sci. Rev. 1991, 19, 99–126. [Google Scholar] [CrossRef]
- Saxton, J.M.; Clarkson, P.M.; James, R.; Miles, M.; Westerfer, M.; Clark, S.; Donnelly, A.E. Neuromuscular dysfunction following eccentric exercise. Med. Sci. Sports Exerc. 1995, 27, 1185. [Google Scholar] [CrossRef]
- Ben Kibler, C.W.; Armstrong, R.B. Initial events in exercise-induced muscular injury. Med. Sci. Sports Exerc. 1990, 22, 429–435. [Google Scholar] [CrossRef]
- Hyldahl, R.D.; Hubal, M. Lengthening our perspective: Morphological, cellular, and molecular responses to eccentric exercise. Muscle Nerve 2013, 49, 155–170. [Google Scholar] [CrossRef]
- Doma, K.; Deakin, G.B.; Bentley, D.J. Implications of Impaired Endurance Performance following Single Bouts of Resistance Training: An Alternate Concurrent Training Perspective. Sports Med. 2017, 47, 2187–2200. [Google Scholar] [CrossRef]
- Hassan, E.S.A. Muscle damage and adaptation after the second bout of eccentric exercise of the knee extensors. J. Sports Med. Phys. Fit. 2014, 54, 644–650. [Google Scholar]
- Michaut, A.; Pousson, M.; Ballay, Y.; Van Hoecke, J. Effects of an eccentric exercise session short-term recovery of muscle contractility. J. Soc. Biol. 2000, 194, 171–176. [Google Scholar] [CrossRef] [PubMed]
- Stock, M.S.; Young, J.C.; Golding, L.A.; Kruskall, L.J.; Tandy, R.D.; Conway-Klaassen, J.M.; Beck, T.W. The Effects of Adding Leucine to Pre and Postexercise Carbohydrate Beverages on Acute Muscle Recovery From Resistance Training. J. Strength Cond. Res. 2010, 24, 2211–2219. [Google Scholar] [CrossRef] [PubMed]
- Doma, K.; Deakin, G.B.; Schumann, M.; Bentley, D.J. Training Considerations for Optimising Endurance Development: An Alternate Concurrent Training Perspective. Sports Med. 2019, 49, 669–682. [Google Scholar] [CrossRef] [PubMed]
- Doma, K.; Nicholls, A.; Gahreman, D.; Damas, F.; Libardi, C.A.; Sinclair, W. The Effect of a Resistance Training Session on Physiological and Thermoregulatory Measures of Sub-maximal Running Performance in the Heat in Heat-Acclimatized Men. Sports Med. Open 2019, 5, 21. [Google Scholar] [CrossRef] [PubMed]
- Burt, D.; Lamb, K.; Nicholas, C.; Twist, C. Effects of repeated bouts of squatting exercise on sub-maximal endurance running performance. Graefe’s Arch. Clin. Exp. Ophthalmol. 2012, 113, 285–293. [Google Scholar] [CrossRef] [PubMed]
- Chen, T.C.; Nosaka, K.; Lin, M.-J.; Chen, H.-L.; Wu, C.-J. Changes in running economy at different intensities following downhill running. J. Sports Sci. 2009, 27, 1137–1144. [Google Scholar] [CrossRef]
- Doma, K.; Deakin, G. The Acute Effect of Concurrent Training on Running Performance Over 6 Days. Res. Q. Exerc. Sport 2015, 86, 387–396. [Google Scholar] [CrossRef]
- Hayter, K.J.; Doma, K.; Schumann, M.; Deakin, G.B. The comparison of cold-water immersion and cold air therapy on maximal cycling performance and recovery markers following strength exercises. PeerJ 2016, 4, e1841. [Google Scholar] [CrossRef]
- De Freitas, V.; Ramos, S.P.; Bara-Filho, M.G.; Freitas, D.G.; Coimbra, D.R.; Cecchini, R.; Guarnier, F.A.; Nakamura, F.Y. Effect of Cold Water Immersion Performed on Successive Days on Physical Performance, Muscle Damage, and Inflammatory, Hormonal, and Oxidative Stress Markers in Volleyball Players. J. Strength Cond. Res. 2019, 33, 502–513. [Google Scholar] [CrossRef]
- Doma, K.; Schumann, M.; Leicht, A.S.; Heilbronn, B.E.; Damas, F.; Burt, D. The repeated bout effect of traditional resistance exercises on running performance across 3 bouts. Appl. Physiol. Nutr. Metab. 2017, 42, 978–985. [Google Scholar] [CrossRef] [PubMed]
- Hicks, K.M.; Onambélé, G.L.; Winwood, K.; Morse, C.I. Muscle Damage following Maximal Eccentric Knee Extensions in Males and Females. PLoS ONE 2016, 11, e0150848. [Google Scholar] [CrossRef] [PubMed]
- Gabbett, T.; Georgieff, B.; Domrow, N. The use of physiological, anthropometric, and skill data to predict selection in a talent-identified junior volleyball squad. J. Sports Sci. 2007, 25, 1337–1344. [Google Scholar] [CrossRef] [PubMed]
- Baechle, T.R.; Earle, R.W. Essentials of Strength Training and Conditioning, 3rd ed.; Human Kinetics: Champaign, IL, USA, 2008; Volume xiv, p. 641. [Google Scholar]
- Rodríguez-Rosell, D.; Mora-Custodio, R.; Franco-Márquez, F.; Yáñlez-García, J.M.; González-Badillo, J.J. Traditional vs Sport-Specific Vertical Jump Tests. J. Strength Cond. Res. 2017, 31, 196–206. [Google Scholar] [CrossRef]
- Jarvis, S.; Sullivan, L.O.; Davies, B.; Wiltshire, H.; Baker, J.S. Interrelationships Between Measured Running Intensities and Agility Performance in Subelite Rugby Union Players. Res. Sports Med. 2009, 17, 217–230. [Google Scholar] [CrossRef]
- Nagata, A.; Fuchimoto, T. The development of a method to measure the maximum spike height in volleyball. J. Volleyb. Sci. 2011, 13, 1–7. [Google Scholar]
- Cohen, J. Statistical Power Analysis for the Behavioral Sciences, 2nd ed.; Lawrence Erlbaum Associates: Hillsdale, NJ, USA, 1988. [Google Scholar]
- Nosaka, K.; Sakamoto, K.; Newton, M.; Sacco, P. How long does the protective effect on eccentric exercise-induced muscle damage last? Med. Sci. Sports Exerc. 2001, 33, 1490–1495. [Google Scholar] [CrossRef]
- Child, R.; Brown, S.; Day, S.; Saxton, J.; Donnelly, A.E. Manipulation of Knee Extensor Force Using Percutaneous Electrical Myostimulation During Eccentric Actions: Effects on Indices of Muscle Damage in Humans. Int. J. Sports Med. 1998, 19, 468–473. [Google Scholar] [CrossRef]
- Paschalis, V.; Koutedakis, Y.; Baltzopoulos, V.; Mougios, V.; Jamurtas, A.Z.; Theoharis, V. The Effects of Muscle Damage on Running Economy in Healthy Males. Int. J. Sports Med. 2005, 26, 827–831. [Google Scholar] [CrossRef]
- Doma, K.; Schumann, M.; Sinclair, W.; Leicht, A.S.; Deakin, G.B.; Häkkinen, K. The repeated bout effect of typical lower body strength training sessions on sub-maximal running performance and hormonal response. Graefe’s Arch. Clin. Exp. Ophthalmol. 2015, 115, 1789–1799. [Google Scholar] [CrossRef]
- Sattler, T.; Hadžić, V.; Dervisevic, E.; Markovic, G. Vertical Jump Performance of Professional Male and Female Volleyball Players. J. Strength Cond. Res. 2015, 29, 1486–1493. [Google Scholar] [CrossRef]
- Gathercole, R.J.; Sporer, B.; Stellingwerff, T.; Sleivert, G. Alternative Countermovement-Jump Analysis to Quantify Acute Neuromuscular Fatigue. Int. J. Sports Physiol. Perform. 2015, 10, 84–92. [Google Scholar] [CrossRef] [PubMed]
- Boullosa, D.A.; Abreu, L.; Conceicao, F.; Cordero, Y. The influence of training background on different rate of force development calculations during countermovement jump. Kinesiology 2018, 50, 90–95. [Google Scholar]
- Paul, D.J.; Gabbett, T.J.; Nassis, G.P. Agility in Team Sports: Testing, Training and Factors Affecting Performance. Sports Med. 2015, 46, 421–442. [Google Scholar] [CrossRef] [PubMed]
- Doma, K.; Leicht, A.; Sinclair, W.; Schumann, M.; Damas, F.; Burt, D.; Woods, C. Impact of Exercise-Induced Muscle Damage on Performance Test Outcomes in Elite Female Basketball Players. J. Strength Cond. Res. 2018, 32, 1731–1738. [Google Scholar] [CrossRef] [PubMed]
- Khan, M.A.; Moiz, J.A.; Raza, S.; Verma, S.; Shareef, M.; Anwer, S.; Alghadir, A. Physical and balance performance following exercise induced muscle damage in male soccer players. J. Phys. Ther. Sci. 2016, 28, 2942–2949. [Google Scholar] [CrossRef]
- Swinton, P.A.; Lloyd, R.; Keogh, J.; Agouris, I.; Stewart, A.D. Regression Models of Sprint, Vertical Jump, and Change of Direction Performance. J. Strength Cond. Res. 2014, 28, 1839–1848. [Google Scholar] [CrossRef]
- Wang, R.; Hoffman, J.; Tanigawa, S.; Miramonti, A.; La Monica, M.B.; Beyer, K.S.; Church, D.D.; Fukuda, D.H.; Stout, J.R.; Jeffrey, S.R. Isometric Mid-Thigh Pull Correlates With Strength, Sprint, and Agility Performance in Collegiate Rugby Union Players. J. Strength Cond. Res. 2016, 30, 3051–3056. [Google Scholar] [CrossRef]
- Fitts, P.M. The information capacity of the human motor system in controlling the amplitude of movement. J. Exp. Psychol. 1954, 47, 381–391. [Google Scholar] [CrossRef]
- Rota, S.; Morel, B.; Saboul, D.; Rogowski, I.; Hautier, C. Influence of fatigue on upper limb muscle activity and performance in tennis. J. Electromyogr. Kinesiol. 2014, 24, 90–97. [Google Scholar] [CrossRef]
- Guerin, S.; Kunkle, D. Emergence of constraint in self-organizing systems. Nonlinear Dyn. Psychol. Life Sci. 2004, 8, 131–146. [Google Scholar]
- Smith, L.L.; Keating, M.N.; Holbert, D.; Spratt, D.J.; McCammon, M.R.; Smith, S.S.; Israel, R.G. The Effects of Athletic Massage on Delayed Onset Muscle Soreness, Creatine Kinase, and Neutrophil Count: A Preliminary Report. J. Orthop. Sports Phys. Ther. 1994, 19, 93–99. [Google Scholar] [CrossRef] [PubMed]
- Tiidus, P.; Shoemaker, J.K. Effleurage Massage, Muscle Blood Flow and Long-Term Post-Exercise Strength Recovery. Int. J. Sports Med. 1995, 16, 478–483. [Google Scholar] [CrossRef] [PubMed]
- Bleakley, C.; McDonough, S.; Gardner, E.; Baxter, G.D.; Hopkins, J.T.; Davison, G.W. Cold-water immersion (cryotherapy) for preventing and treating muscle soreness after exercise. Cochrane Database Syst. Rev. 2012, 2012, CD008262. [Google Scholar] [CrossRef]



| Measures | TBase | T24 | T48 |
|---|---|---|---|
| DOMSSqt | 1.94 ± 0.77 | 4.44 ± 1.79 * | 5.25 ± 1.65 * |
| DOMSQuad | 1.31 ± 0.70 | 4.75 ± 2.14 * | 4.81 ± 2.76 * |
| DOMSGts | 1.19 ± 0.40 | 4.44 ± 2.52 * | 4.38 ± 2.53 * |
| DOMSTri | 1.50 ± 0.73 | 4.13 ± 2.45 * | 3.81 ± 2.10 * |
| DOMSAbs | 1.19 ± 0.40 | 3.25 ± 2.14 * | 3.69 ± 2.41 * |
| SR | 49.1 ± 9.5 | 52.8 ± 8.5 | 53.0 ± 8.1 |
| Measures | TBase-T24 | TBase-T48 | T24-T48 |
|---|---|---|---|
| DOMSSqt | 1.81 (0.95–2.59) † | 2.57 (1.58–3.43) † | 0.47 (−1.16–0.24) |
| DOMSQuad | 2.16 (1.24–2.97) † | 1.74 (0.89–2.50) † | 0.02 (−0.72–0.67) |
| DOMSGts | 2.25 (1.32–3.07) † | 1.76 (0.91–2.53) † | 0.03 (−0.67–0.72) |
| DOMSTri | 1.45 (0.64–2.19) † | 1.47 (0.66–2.21) † | 0.14 (−0.56–0.83) |
| DOMSAbs | 1.34 (0.54–2.07) † | 1.45 (−0.64–2.19) † | 0.19 (−0.88–0.51) |
| SR | 0.41 (−1.10–0.30) | 0.44 (−1.13–0.27) | 0.02 (−0.72–0.67) |
© 2020 by the authors. Licensee MDPI, Basel, Switzerland. This article is an open access article distributed under the terms and conditions of the Creative Commons Attribution (CC BY) license (http://creativecommons.org/licenses/by/4.0/).
Share and Cite
Doma, K.; Connor, J.; Gahreman, D.; Boullosa, D.; Ahtiainen, J.P.; Nagata, A. Resistance Training Acutely Impairs Agility and Spike-Specific Performance Measures in Collegiate Female Volleyball Players Returning from the Off-Season. Int. J. Environ. Res. Public Health 2020, 17, 6448. https://doi.org/10.3390/ijerph17186448
Doma K, Connor J, Gahreman D, Boullosa D, Ahtiainen JP, Nagata A. Resistance Training Acutely Impairs Agility and Spike-Specific Performance Measures in Collegiate Female Volleyball Players Returning from the Off-Season. International Journal of Environmental Research and Public Health. 2020; 17(18):6448. https://doi.org/10.3390/ijerph17186448
Chicago/Turabian StyleDoma, Kenji, Jonathan Connor, Daniel Gahreman, Daniel Boullosa, Juha P. Ahtiainen, and Akinori Nagata. 2020. "Resistance Training Acutely Impairs Agility and Spike-Specific Performance Measures in Collegiate Female Volleyball Players Returning from the Off-Season" International Journal of Environmental Research and Public Health 17, no. 18: 6448. https://doi.org/10.3390/ijerph17186448
APA StyleDoma, K., Connor, J., Gahreman, D., Boullosa, D., Ahtiainen, J. P., & Nagata, A. (2020). Resistance Training Acutely Impairs Agility and Spike-Specific Performance Measures in Collegiate Female Volleyball Players Returning from the Off-Season. International Journal of Environmental Research and Public Health, 17(18), 6448. https://doi.org/10.3390/ijerph17186448

