Parental Involvement in Children’s Sleep Care and Nocturnal Awakenings in Infants and Toddlers
Abstract
1. Introduction
The Current Study
2. Materials and Methods
2.1. Participants
2.2. Instruments
2.2.1. Parental Involvement
2.2.2. The Expanded Version of the Brief Infant Sleep Questionnaire (BISQ [36])
2.3. Data Analyses
3. Results
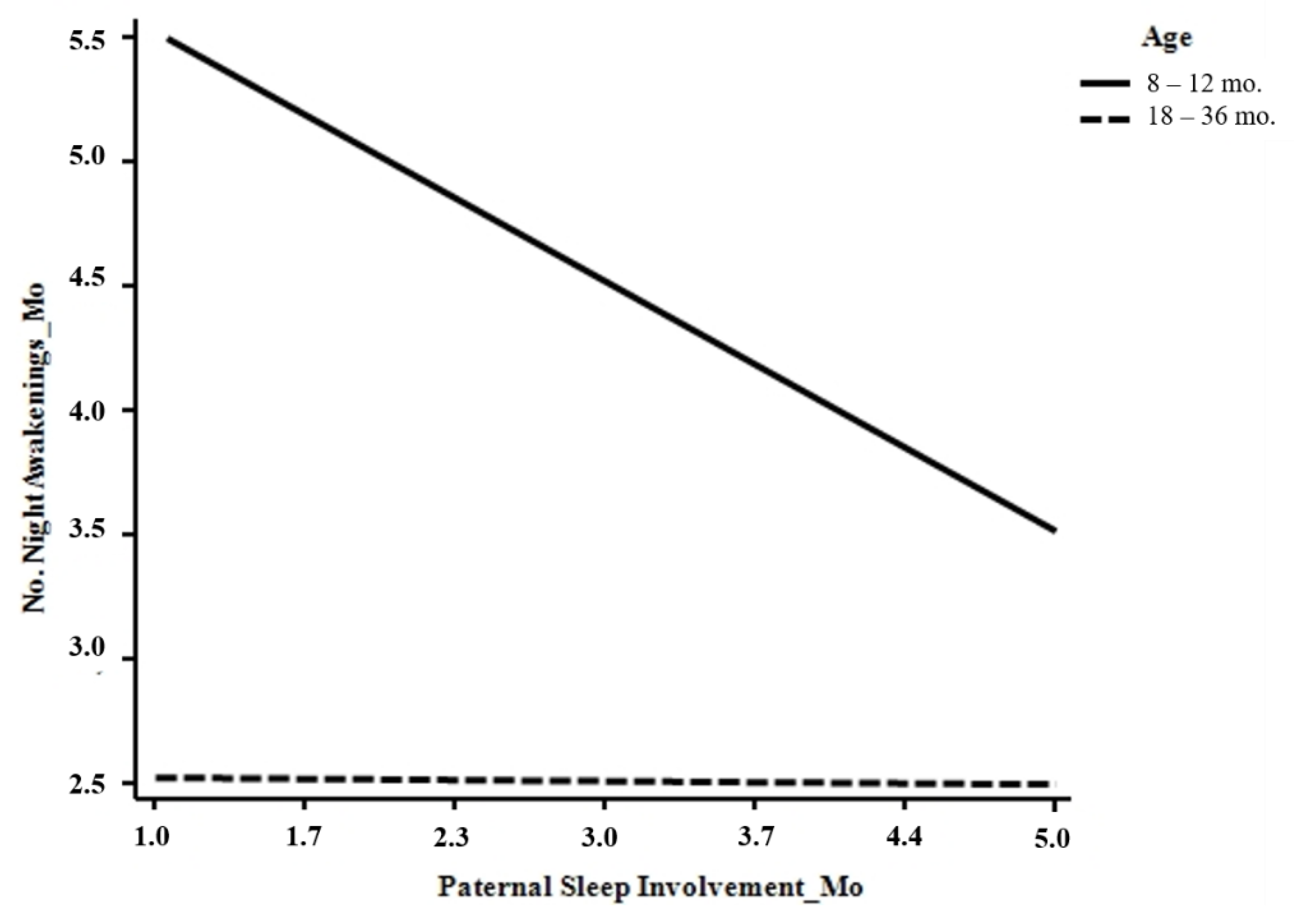
Moderated APIM Analyses
4. Discussion
5. Conclusions
Author Contributions
Funding
Conflicts of Interest
References
- Goodlin-Jones, B.L.; Burnham, M.M.; Gaylor, E.E.; Anders, T.F. Night waking, sleep-wake organization, and self-soothing in the first year of life. J. Dev. Behav. Pediatr. 2001, 22, 226–233. [Google Scholar] [CrossRef] [PubMed]
- Camerota, M.; Propper, C.B.; Teti, D.M. Intrinsic and extrinsic factors predicting infant sleep: Moving beyond main effects. Dev. Rev. 2019, 53, 100871. [Google Scholar] [CrossRef]
- Henderson, J.A.; Jordan, S.S. Development and preliminary evaluation of the bedtime routines questionnaire. J. Psychopathol. Behav. Assess. 2010, 32, 271–280. [Google Scholar] [CrossRef]
- Johnson, C.; Mindell, J.A. Family-Based Interventions for Sleep Problems of Infants and Children. In Sleep and Development: Familial and Socio-Cultural Considerations; Oxford University Press: Oxford, UK, 2011; pp. 375–402. [Google Scholar] [CrossRef]
- Sadeh, A.; Anders, T. Infant sleep problems: Origins, assessment, interventions. Infant Ment. Health J. 1993, 14, 17–34. [Google Scholar] [CrossRef]
- El-Sheikh, M.; Sadeh, A.I. Sleep and development: Introduction to the monograph. Monogr. Soc. Res. Child. Dev. 2015, 80, 1–14. [Google Scholar] [CrossRef]
- Tikotzky, L.; Sadeh, A.; Volkovich, E.; Manber, R.; Meiri, G.; Shahar, G. VII. Infant sleep development from 3 to 6 months postpartum: Links with maternal sleep and paternal involvement. Monogr. Soc. Res. Child. Dev. 2015, 80, 107–124. [Google Scholar] [CrossRef]
- Maridaki-Kassotaki, K.; Antonopoulou, K.; Olivari, M.G.; Tagliabue, S.; Confalonieri, E. Examining fatherhood in Greece and Italy. J. Fam. Stud. 2020, 26, 1–15. [Google Scholar] [CrossRef]
- Meggiolaro, S.; Ongaro, F. The involvement in childcare of married and cohabiting fathers: Evidence from Italy. Genus 2019, 75, 1–19. [Google Scholar] [CrossRef]
- Lamb, M. The Role of the Father in Child Development, 5th ed.; John Wiley & Sons: Hoboken, NJ, USA, 2010. [Google Scholar]
- Peltz, J.S.; Rogge, R.D.; Sturge-Apple, M.L.; O’Connor, T.G.; Pigeon, W.R. Reciprocal influences among family processes and toddlers’ sleep problems. J. Fam. Psychol. 2016, 30, 720–731. [Google Scholar] [CrossRef]
- Sinai, D.; Tikotzky, L. Infant sleep, parental sleep and parenting stress in families of mothers on maternity leave and in families of working mothers. Infant Behav. Dev. 2012, 35, 179–186. [Google Scholar] [CrossRef]
- Tikotzky, L.; Sadeh, A.; Glickman-Gavrieli, T. Infant sleep and paternal involvement in infant caregiving during the first 6 months of life. J. Pediatr. Psychol. 2011, 36, 36–46. [Google Scholar] [CrossRef] [PubMed]
- Bernier, A.; Carrier, J. Paternal involvement and child sleep: A look beyond infancy. Int. J. Behav. Dev. 2016, 41, 714–722. [Google Scholar] [CrossRef]
- Millikovsky-Ayalon, M.; Atzaba-Poria, N.; Meiri, G. The role of the father in child sleep disturbance: Child, parent, and parent-child relationship. Infant Ment. Health J. 2015, 36, 114–127. [Google Scholar] [CrossRef] [PubMed]
- De Stasio, S.; Boldrini, F.; Ragni, B.; Gentile, S. Predictive Factors of Toddlers’ Sleep and Parental Stress. Int. J. Environ. Res. Public Health 2020, 17, 2494. [Google Scholar] [CrossRef]
- Ragni, B.; De Stasio, S.; Barni, D.; Gentile, S.; Giampaolo, R. Parental Mental Health, Fathers’ Involvement and Bedtime Resistance in Infants. Ital. J. Pediatr. 2019, 45, 1–10. [Google Scholar] [CrossRef]
- Sadeh, A.; Flint-Ofir, E.; Tirosh, T.; Tikotzky, L. Infant sleep and parental sleep-related cognitions. J. Fam. Psychol. 2007, 21, 74–87. [Google Scholar] [CrossRef]
- Sadeh, A. Cognitive-behavioral treatment for childhood sleep disorders. Clin. Psychol. Rev. 2005, 25, 612–628. [Google Scholar] [CrossRef]
- Minde, K.; Faucon, A.; Falkner, S. Sleep problems in toddlers: Effects of treatment on their daytime behavior. J. Am. Acad. Child. Adolesc. 1994, 33, 1114–1121. [Google Scholar] [CrossRef]
- Reader, J.M.; Teti, D.M.; Cleveland, M.J. Cognitions about infant sleep: Interparental differences, trajectories across the first year, and coparenting quality. J. Fam. Psychol. 2017, 31, 453–463. [Google Scholar] [CrossRef]
- Sadeh, A. Sleeping like a Baby: A Sensitive and Sensible Approach to Solving Your Child’s Sleep Problems; Yale University Press: New York, NY, USA, 2008. [Google Scholar]
- ZERO TO THREE. Diagnostic Classification of Mental Health and Development Disorders of Infancy and Early Childhoo: Revised edition (DC:-0.5); ZERO TO THREE: Washington, DC, USA, 2016. [Google Scholar]
- Narayanan, M.K.; Nærde, A. Associations between maternal and paternal depressive symptoms and early child behavior problems: Testing a mutually adjusted prospective longitudinal model. J. Affect. Disord. 2016, 196, 181–189. [Google Scholar] [CrossRef]
- Séjourné, N.; Vaslot, V.; Beaumé, M.; Goutaudier, N.; Chabrol, H. The impact of paternity leave and paternal involvement in child care on maternal postpartum depression. J. Reprod. Infant Psychol. 2012, 30, 135–144. [Google Scholar] [CrossRef]
- Kenny, D.A.; Cook, W. Partner effects in relationship research: Conceptual issues, analytic difficulties, and illustrations. Pers. Relatsh. 1999, 6, 433–448. [Google Scholar] [CrossRef]
- Kenny, D.A. Models of non-independence in dyadic research. J. Soc. Pers. Relat. 1996, 13, 279–294. [Google Scholar] [CrossRef]
- Burnham, M.M.; Goodlin-jones, B.L.; Gaylor, E.E.; Anders, T.F. Nighttime sleep-wake patterns and self-soothing from birth to one year of age: A longitudinal intervention study. J. Child Psychol. Psychiatry 2002, 6, 713–725. [Google Scholar] [CrossRef] [PubMed]
- Morrell, J.; Cortina-Borja, M. The Developmental Change in Strategies Parents Employ to Settle Young Children to Sleep, and their Relationship to Infant Sleeping Problems, as Assessed by a New Questionnaire: The Parental Interactive Bedtime Behaviour Scale. Infant Child. Dev. 2002, 11, 17–41. [Google Scholar] [CrossRef]
- Frascarolo, F. Paternal involvement in child caregiving and infant sociability. Infant Ment. Health J. 2004, 25, 509–521. [Google Scholar] [CrossRef]
- Parke, R.D. Father involvement: A developmental psychological perspective. Marriage Fam. Rev. 2000, 29, 43–58. [Google Scholar] [CrossRef]
- Neilson, J.; Stanfors, M. It’s about time! Gender, parenthood, and household divisions of labor under different welfare regimes. J. Fam. Issues 2014, 35, 1066–1088. [Google Scholar] [CrossRef]
- Istat. I Tempi Della Vita Quotidiana; Statistiche Report; Istituto Nazionale di Statistica: Roma, Italy, 2019. [Google Scholar]
- Tanturri, M.L.; Donno, A.; Fahlen, S.; Henz, U.; Pailhe, A.; Solaz, A. Fathers’ time with children at the crossroads of the gender revolution: A comparative analysis in France, Italy, Sweden and the UK. Work. Pap. Ser. 2020, 12, 1–56. [Google Scholar]
- Van Dulmen, M.H.M.; Goncy, E.A. Extending the actor-partner interdependence model to include cross-informant data. J. Adolesc. 2010, 33, 869–877. [Google Scholar] [CrossRef]
- Sadeh, A.; Mindell, J.A.; Luedtke, K.; Wiegand, B. Sleep and sleep ecology in the first 3 years: A web-based study. J. Sleep Res. 2009, 18, 60–73. [Google Scholar] [CrossRef] [PubMed]
- Mindell, J.A.; Williamson, A.A. Benefits of a bedtime routine in young children: Sleep, development, and beyond. Sleep Med. Rev. 2017. [Google Scholar] [CrossRef] [PubMed]
- Mindell, J.A.; Sadeh, A.; Kohyama, J.; How, T.H. Parental behaviors and sleep outcomes in infants and toddlers: A cross-cultural comparison. Sleep Med. 2010, 11, 393–399. [Google Scholar] [CrossRef] [PubMed]
- Caravale, B.; Sette, S.; Cannoni, E.; Marano, A.; Riolo, E.; Devescovi, A.; De Curtis, M. Sleep Characteristics and Temperament in Preterm Children at Two Years of Age. J. Clin. Sleep Med. 2017, 13, 1081. [Google Scholar] [CrossRef]
- Spruyt, K. Pediatric Sleep Questionnaires as Diagnostic or Epidemiological Tools: A Review of Currently Available Instruments. Sleep Med. Rew. 2011, 15, 19–32. [Google Scholar] [CrossRef]
- Kenny, D.A.; Kashy, D.A.; Cook, W.L. Dyadic Data Analysis; Guilford Press: Ney York, NY, USA, 2006. [Google Scholar]
- Garcia, R.L.; Kenny, D.A.; Ledermann, T. Moderation in the actor-partner interdependence model. Pers. Relatsh. 2015, 22, 8–29. [Google Scholar] [CrossRef]
- Muthén, L.K.; Muthén, B.O. Mplus User’s Guide; Muthén & Muthén: Los Angeles, CA, USA, 2017. [Google Scholar]
- Kahn, M.; Bauminger, Y.; Volkovich, E.; Meiri, G.; Sadeh, A.; Tikotzky, L. Links between infant sleep and parental tolerance for infant crying: Longitudinal assessment from pregnancy through six months postpartum. Sleep Med. 2018, 50, 72–78. [Google Scholar] [CrossRef]
- Swain, J.E.; Lorberbaum, J.P.; Kose, S.; Strathearn, L. Brain basis of early parent-infant interactions: Psychology, physiology, and in vivo functional neuroimaging studies. J. Child. Psychol. Psychiatry Allied Discip. 2007, 48, 262–287. [Google Scholar] [CrossRef]
- Weissbluth, M. Healthy Sleep Habits, Happy Child; Ballantine Books: New York, NY, USA, 2003. [Google Scholar]
- Tamis-LeMonda, C.S.; Shannon, J.D.; Cabrera, N.J.; Lamb, M.E. Fathers and mothers at play with their 2- and 3-year-olds: Contributions to language and cognitive development. Child. Dev. 2004, 75, 1806–1820. [Google Scholar] [CrossRef]
- Feldman, R. Parents’ convergence on sharing and marital satisfaction, father involvement, and parent–child relationship at the transition to parenthood. Infant Ment. Health J. 2000, 21, 176–191. [Google Scholar] [CrossRef]
- Bonney, J.F.; Kelley, M.L.; Levant, R.F. A model of fathers’ behavioral involvement in child care in dual-earner families. J. Fam. Psychol. 1999, 13, 401–415. [Google Scholar] [CrossRef]
- Cummings, E.M.; Goeke-Morey, M.C.; Raymond, J. Fathers in Family Context: Effects of Marital Quality and Marital Conflict. In The Role of Father in Child Development; Lamb, M.E., Ed.; John Wiley & Sons: Hoboken, NJ, USA, 2004; pp. 196–221. [Google Scholar]



| Variables | 1 | 2 | 3 | 4 | 5 | Infants (n = 101) M (SD) | Toddlers (n = 54) M (SD) | p (t-test) |
|---|---|---|---|---|---|---|---|---|
| 1. Children’s age | 1 | 10.67 (2.12) | 29.44 (5.42) | |||||
| 2. Paternal sleep involvement_Mo | 0.08 | 1 | 3.10 (1.05) | 3.22 (1.20) | 0.511 | |||
| 3. Maternal sleep involvement_Fa | −0.15 | −0.24 ** | 1 | 4.34 (0.73) | 4.04 (1.01) | 0.036 | ||
| 4. No. of night awakenings_Mo | −0.58 ** | −0.23 ** | 0.18 * | 1 | 4.46 (1.59) | 2.46 (0.98) | 0.000 | |
| 5. No. of night awakenings_Fa | −0.52 ** | −0.23 ** | 0.07 | 0.88 ** | 1 | 4.26 (1.67) | 2.55 (0.96) | 0.000 |
| Parameters | Estimate (b) | p |
|---|---|---|
| Main Effects | ||
| Actor Effects of Sleep Involvement | ||
| PSI _Mo → NW_Fa (a1) | −0.338 | 0.000 |
| MSI_Fa → NW_Mo (a2) | 0.025 | 0.737 |
| Partner Effects of Sleep Involvement | ||
| PSI _Mo → NW_Mo (p2) | −0.326 | 0.000 |
| MSI_Fa → NW_Fa (p1) | −0.044 | 0.570 |
| Age → NW_Mo | −1.069 | 0.005 |
| Age → NW_Fa | −1.167 | 0.003 |
| Interaction Effects | ||
| Actor Sleep Involvement by Age | ||
| PSI_Mo × Age → NW_Fa | 0.536 | 0.012 |
| MSI_Fa × Age → NW_Mo | 0.065 | 0.819 |
| Partner Involvement by Age | ||
| PSI_Mo × Age → NW_Mo | 0.512 | 0.012 |
| MSI_Fa × Age → NW_Fa | 0.190 | 0.525 |
© 2020 by the authors. Licensee MDPI, Basel, Switzerland. This article is an open access article distributed under the terms and conditions of the Creative Commons Attribution (CC BY) license (http://creativecommons.org/licenses/by/4.0/).
Share and Cite
Ragni, B.; De Stasio, S. Parental Involvement in Children’s Sleep Care and Nocturnal Awakenings in Infants and Toddlers. Int. J. Environ. Res. Public Health 2020, 17, 5808. https://doi.org/10.3390/ijerph17165808
Ragni B, De Stasio S. Parental Involvement in Children’s Sleep Care and Nocturnal Awakenings in Infants and Toddlers. International Journal of Environmental Research and Public Health. 2020; 17(16):5808. https://doi.org/10.3390/ijerph17165808
Chicago/Turabian StyleRagni, Benedetta, and Simona De Stasio. 2020. "Parental Involvement in Children’s Sleep Care and Nocturnal Awakenings in Infants and Toddlers" International Journal of Environmental Research and Public Health 17, no. 16: 5808. https://doi.org/10.3390/ijerph17165808
APA StyleRagni, B., & De Stasio, S. (2020). Parental Involvement in Children’s Sleep Care and Nocturnal Awakenings in Infants and Toddlers. International Journal of Environmental Research and Public Health, 17(16), 5808. https://doi.org/10.3390/ijerph17165808

