Spatial Distribution and Environmental Significance of Phosphorus Fractions in River Sediments and Its Influencing Factor from Hongze and Tiaoxi Watersheds, Eastern China
Abstract
1. Introduction
2. Materials and Methods
2.1. Study Area
2.2. Sampling Sites
2.3. P Fractions in Sediment
2.4. Data Statistics and Analysis Methods
3. Results and Discussion
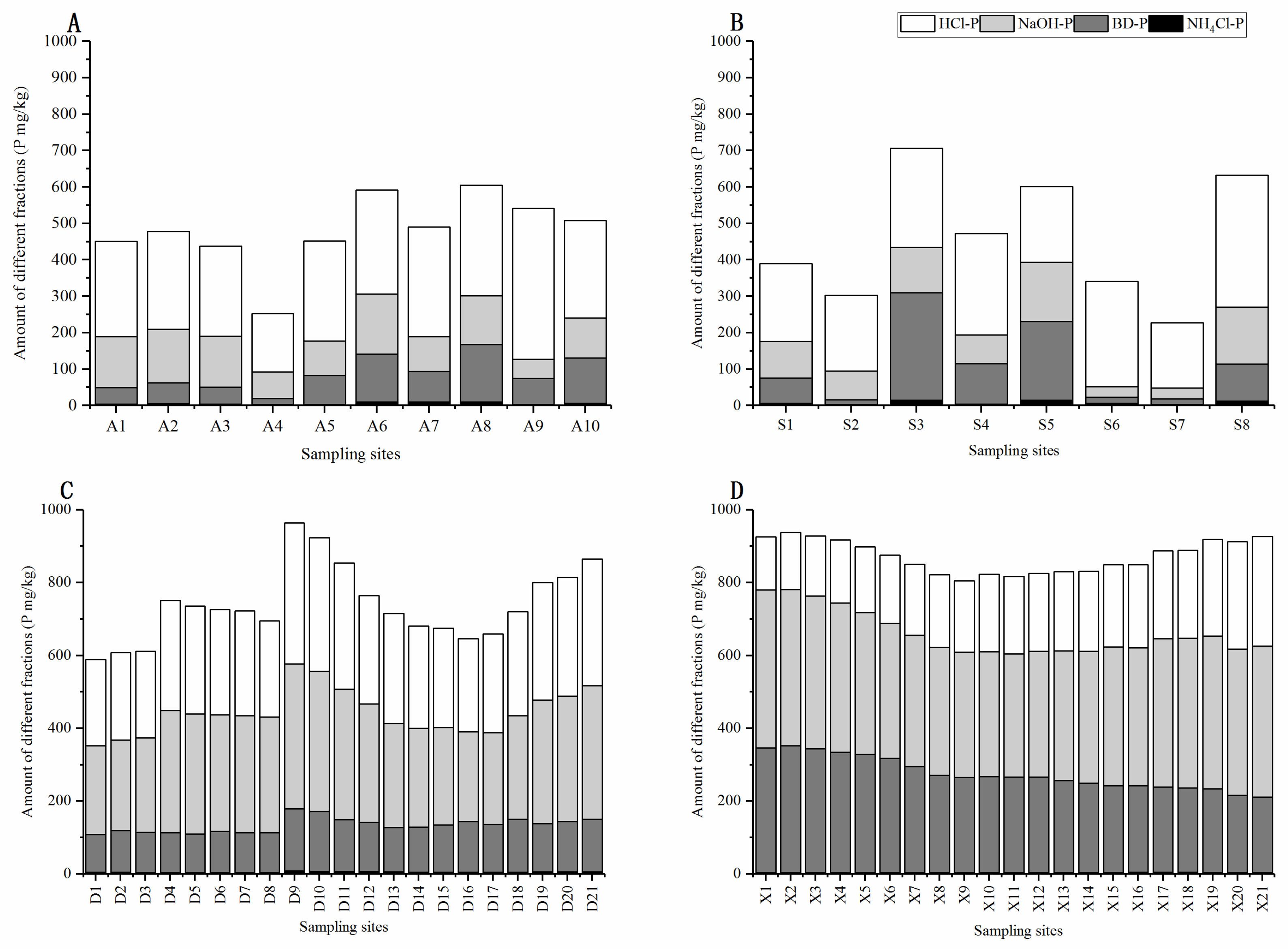
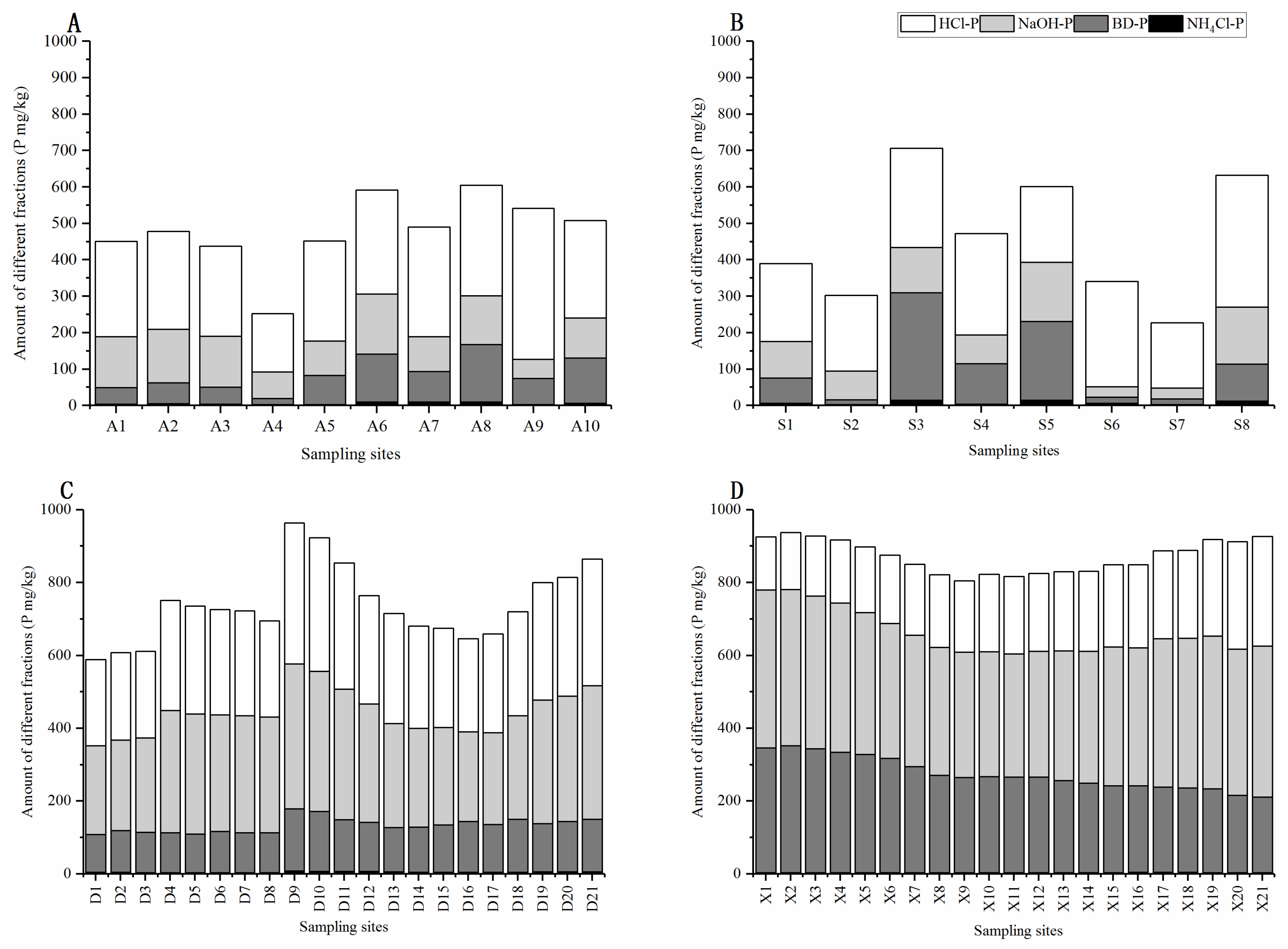
3.1. Characteristics of Phosphorus Fractions in Sediments
3.1.1. Hongze Watershed
3.1.2. Tiaoxi Watershed
3.2. Distributions and Spatial Variations of Different P Forms in River Sediments
3.3. Bioavailable Phosphorus (BAP) in the Sediments
3.4. Correlation Analysis of Phosphorus in River Sediments Composition of the Different Watersheds
3.5. Environmental Significance of Phosphorus Distribution and Implications for Watershed Management
4. Conclusions
Author Contributions
Funding
Conflicts of Interest
References
- Anderson, J.C.; Carlson, J.C.; Low, J.E.; Challis, J.K.; Wong, C.S.; Knapp, C.W.; Hanson, M.L. Performance of a constructed wetland in Grand Marais, Manitoba, Canada: Removal of nutrients, pharmaceuticals, and antibiotic resistance genes from municipal wastewater. Chem. Cent. J. 2013, 7, 54. [Google Scholar] [CrossRef] [PubMed]
- Yang, W.Q.; Xiao, H.; Li, Y.; Miao, D.R. Vertical distribution and release characteristics of phosphorus forms in the sediments from the river inflow area of Dianchi lake, China. Chem. Speciat. Bioavailab. 2018, 30, 14–22. [Google Scholar] [CrossRef]
- Daneshgar, S.; Callegari, A.; Capodaglio, A.G.; Vaccari, D. The potential phosphorus crisis: Resource conservation and possible escape technologies: A review. Resources 2018, 7, 37. [Google Scholar] [CrossRef]
- WWDR. The United Nations world water development report 2017. In Wastewater: The Untapped Resource; UNESCO: Paris, France, 2017. [Google Scholar]
- Zhang, W.; Jin, X.; Zhu, X.; Shan, B.; Zhao, Y. Phosphorus characteristics, distribution, and relationship with environmental factors in surface sediments of river systems in eastern China. Environ. Sci. Pollut. Res. 2016, 23, 19440–19449. [Google Scholar] [CrossRef]
- Smith, D.R.; Macrae, M.L.; Kleinman, P.J.A.; Jarvie, H.P.; King, K.W.; Bryant, R.B. The latitudes, attitudes, and platitudes of watershed phosphorus management in North America. J. Environ. Qual. 2019, 48, 1176–1190. [Google Scholar] [CrossRef]
- Solovchenko, A.; Verschoor, A.M.; Jablonowski, N.D.; Nedbal, L. Phosphorus from wastewater to crops: An alternative path involving microalgae. Biotechnol. Adv. 2016, 34, 550–564. [Google Scholar] [CrossRef]
- Pernet-Coudrier, B.; Qi, W.; Liu, H.; Müller, B.; Berg, M. Sources and pathways of nutrients in the semi-arid region of Beijing-Tianjin, China. Environ. Sci. Technol. 2012, 46, 5294–5301. [Google Scholar] [CrossRef]
- Wang, C.; Zhang, Y.; Li, H.; Morrison, R.J. Sequential extraction procedures for the determination of phosphorus forms in sediment. Limnology 2013, 14, 147–157. [Google Scholar] [CrossRef]
- Wang, S.; Jin, X.; Pang, Y.; Zhao, H.; Zhou, X.; Wu, F. Phosphorus fractions and phosphate sorption characteristics in relation to the sediment compositions of shallow lakes in the middle and lower reaches of Yangtze river region, China. J. Colloid Interface Sci. 2005, 289, 339–346. [Google Scholar] [CrossRef]
- Wang, F.; Liu, C.; Wu, M.; Yu, Y.; Wu, F.; Lü, S.; Xu, G. Stable isotopes in sedimentary organic matter from lake Dianchi and their indication of eutrophication history. WaterAirSoil Pollut. 2009, 199, 159–170. [Google Scholar] [CrossRef]
- Dong, L.; Yang, Z.; Liu, X. Phosphorus fractions, sorption characteristics, and its release in the sediments of Baiyangdian lake, China. Environ. Monit. Assess. 2011, 179, 335–345. [Google Scholar] [CrossRef] [PubMed]
- Liu, J.; Luo, X.; Zhang, N.; Wu, Y. Phosphorus released from sediment of Dianchi lake and its effect on growth of Microcystis aeruginosa. Environ. Sci. Pollut. Res. 2016, 23, 16321–16328. [Google Scholar] [CrossRef] [PubMed]
- Sarpong, L.; Li, Y.; Norgbey, E.; Nwankwegu, A.S.; Cheng, Y.; Nasiru, S.; Nooni, I.K.; Setordjie, V.E. A sediment diagenesis model of seasonal nitrate and ammonium flux spatial variation contributing to eutrophication at Taihu, China. Int. J. Environ. Res. Public Health 2020, 17, 4158. [Google Scholar] [CrossRef] [PubMed]
- Jingfu, W.; Jingan, C.; Dallimore, C.; Haiquan, Y.; Zhihui, D. Spatial distribution, fractions, and potential release of sediment phosphorus in the Hongfeng reservoir, southwest China. Lake Reserv. Manag. 2015, 31, 214–224. [Google Scholar] [CrossRef]
- Luo, H.J.; Liu, D.F.; Huang, Y.P. Nitrogen characteristics in sediments of Xiangxi bay, China three-gorge reservoir. Water Environ. J. 2014, 28, 45–51. [Google Scholar] [CrossRef]
- Song, Q.W.; Li, Y.F.; Jiang, X. Spatial distribution of phosphorus fractions in the sediments of Meiliang bay, Taihu lake, China. Adv. Mater. Res. 2013, 610, 2766–2770. [Google Scholar] [CrossRef]
- Shujuan, S.U.N.; Huang, S.; Xueming, S.U.N.; Wei, W.E.N. Phosphorus fractions and its release in the sediments of Haihe river, China. J. Environ. Sci. 2009, 21, 291–295. [Google Scholar] [CrossRef]
- Claveau-Mallet, D.; Wallace, S.; Comeau, Y. Model of phosphorus precipitation and crystal formation in electric arc furnace steel slag filters. Environ. Sci. Technol. 2012, 46, 1465–1470. [Google Scholar] [CrossRef]
- Xuguang, G.; Guoxiang, W. Investigation of the ecological environmental problems and research on improving measures in the Hongze lake. J. Anhui Agric. Sci. 2007, 35, 5537–5539. [Google Scholar]
- Ye, H.; Yuan, X.; Han, L.; Yin, H.; Jin, J. Comparison of phosphorus fraction distribution and influencing factors of suspended and surface sediments in the Tiaoxi watershed, China. Water Sci. Technol. J. Int. Assoc. Water Pollut. Res. 2017, 75, 2108–2118. [Google Scholar] [CrossRef]
- Kim, H.T. Soil Sampling, Preparation and Analysis; Marcel Dekker Inc.: New York, NY, USA, 1995; p. 10016. [Google Scholar]
- Shengrui, W. Sediment-Water Interface Process of Lakes Theories and Methods; Scientific Press: Beijing, China, 2014. [Google Scholar]
- Shyla, B.; Nagendrappa, G. A simple spectrophotometric method for the determination of phosphate in soil, detergents, water, bone and food samples through the formation of phosphomolybdate complex followed by its reduction with thiourea. Spectrochim. Acta Part A Mol. Biomol. Spectrosc. 2011, 78, 497–502. [Google Scholar] [CrossRef]
- Psenner, R. Fractionation of phosphorus in suspended matter and sediment. Arch. Hydrobiol. Beih. 1988, 30, 98–110. [Google Scholar]
- Hupfer, M.; Gtichter, R.; Ruegger, R.R. Polyphosphate in lake sediments: 31p nmr spectroscopy as a tool for its identification. Limnol. Oceanogr. 1995, 40, 610–617. [Google Scholar] [CrossRef]
- Kaiserli, A.; Voutsa, D.; Samara, C. Phosphorus fractionation in lake sediments—Lakes Volvi and Koronia, N. Greece. Chemosphere 2002, 46, 1147–1155. [Google Scholar] [CrossRef]
- Norgbey, E.; Li, Y.; Ya, Z.; Li, R.; Nwankwegu, A.S.; Takyi-Annan, G.E.; Luo, F.; Jin, W.; Huang, Y.; Sarpong, L. High resolution evidence of iron-phosphorus-sulfur mobility at hypoxic sediment water interface: An insight to phosphorus remobilization using dgt-induced fluxes in sediments model. Sci. Total Environ. 2020, 724, 138204. [Google Scholar] [CrossRef]
- Xiang, S.L.; Zhou, W.B. Phosphorus forms and distribution in the sediments of Poyang lake, China. Int. J. Sediment Res. 2011, 26, 230–238. [Google Scholar] [CrossRef]
- Poulenard, J.; Dorioz, J.M.; Elsass, F. Analytical electron microscopy fractionation of fine and colloidal particulate-phosphorus in riverbed and suspended sediments. Aquat. Geochem. 2008, 14, 193–210. [Google Scholar] [CrossRef]
- Zhou, A.; Tang, H.; Wang, D. Phosphorus adsorption on natural sediments: Modeling and effects of ph and sediment composition. Water Res. 2005, 39, 1245–1254. [Google Scholar] [CrossRef]
- Young, E.O.; Ross, D.S. Total and labile phosphorus concentration as influenced by riparian buffer soil properties. J. Environ. Qual. 2016, 31, 294–304. [Google Scholar] [CrossRef]
- Maguire, R.O.; Sims, J.T. Soil testing to predict phosphorus leaching. J. Environ. Qual. 2002, 31, 1601–1609. [Google Scholar] [CrossRef]
- Su, J.; van Bochove, E.; Auclair, J.C.; Theruault, G.; Denault, J.T.; Bosse, C.; Hu, C. Phosphorus algal availability and release potential in suspended and streambed sediments in relation to sediment and catchment characteristics. Agric. Ecosyst. Environ. 2014, 188, 169–179. [Google Scholar] [CrossRef]
- Clarke, S.J.; Wharton, G. Sediment nutrient characteristics and aquatic macrophytes in lowland English rivers. Sci. Total Environ. 2001, 266, 103–112. [Google Scholar] [CrossRef]
- Kozerski, H.P.; Kleeberg, A. The sediments and benthic-pelagic exchange in the shallow lake Müggelsee (Berlin, Germany). Int. Rev. Hydrobiol. 1998, 83, 77–112. [Google Scholar] [CrossRef]
- Ting, D.S.; Appan, A. General characteristics and fractions of phosphorus in aquatic sediments of two tropical reservoirs. Water Sci. Technol. 1996, 34, 53–59. [Google Scholar] [CrossRef]
- Danen-Louwerse, H.; Lijklema, L.; Coenraats, M. Iron content of sediment and phosphate adsorption properties. Hydrobiologia 1993, 253, 311–317. [Google Scholar] [CrossRef]
- Gonsiorczyk, T.; Casper, P.; Koschel, R. Phosphorus-binding forms in the sediment of an oligotrophic and an eutrophic hardwater lake of the Baltic lake district (Germany). Water Sci. Technol. 1998, 37, 51–58. [Google Scholar] [CrossRef]
- Lane, C.R.; Autrey, B.C. Phosphorus retention of forested and emergent marsh depressional wetlands in differing land uses in Florida, USA. Wetl. Ecol. Manag. 2016, 24, 45–60. [Google Scholar] [CrossRef]
- Cao, W.Z.; Zhu, H.J.; Chen, S.L. Impact of urbanization on topsoil nutrient balances—A case study at a provincial scale from Fujian, China. Catena 2007, 69, 36–43. [Google Scholar] [CrossRef]
- Frissell, C.A.; Liss, W.J.; Warren, C.E.; Hurley, M.D. A hierarchical framework for stream habitat classification: Viewing streams in a watershed context. Environ. Manag. 1986, 10, 199–214. [Google Scholar] [CrossRef]
- Schoonover, J.E.; Lockaby, B.G.; Pan, S. Changes in chemical and physical properties of stream water across an urban-rural gradient in western Georgia. Urban Ecosyst. 2005, 8, 107–124. [Google Scholar] [CrossRef]
- Withers, P.J.A.; Jarvie, H.P. Delivery and cycling of phosphorus in rivers: A review. Sci. Total Environ. 2008, 400, 379–395. [Google Scholar] [CrossRef] [PubMed]
- Nooni, I.K.; Duker, A.A.; van Duren, I.; Addae-Wireko, L.; Osei Jnr, E.M. Support vector machine to map oil palm in a heteorogenous environment. Int. J. Remote Sens. 2014, 35, 4778–4794. [Google Scholar] [CrossRef]
- Humborg, C.; Andersen, H.E.; Blenckner, T.; Gadegast, M.; Giesler, R.; Hartmann, J.; Venohr, M. Environmental Impacts—Freshwater Biogeochemistry. In Second Assessment of Climate Change for the Baltic Sea Basin; Springer: Cham, Switzerland, 2015. [Google Scholar]
- Cui, L.; Li, W.; Gao, C.; Zhang, M.; Zhao, X.; Yang, Z.; Ma, W. Identifying the influence factors at multiple scales on river water chemistry in the Tiaoxi basin, China. Ecol. Indic. 2018, 92, 228–238. [Google Scholar] [CrossRef]
- Baddoo, T.D.; Li, Z.; Guan, Y.; Boni, K.R.C.; Nooni, I.K. Data-driven modelling and the influence of objective function selection on model performance in limited data regions. Int. J. Environ. Res. Public Health 2020, 17, 4132. [Google Scholar] [CrossRef] [PubMed]
- Zhang, W.; Swaney, D.P.; Hong, B.; Howarth, R.W. Anthropogenic phosphorus inputs to a river basin and their impacts on phosphorus fluxes along its upstream-downstream continuum. J. Geophys. Res. Biogeosci. 2017, 122, 3273–3287. [Google Scholar] [CrossRef]
- Salvia-Castellví, M.; Iffly, J.F.; Vander Borght, P.; Hoffmann, L. Dissolved and particulate nutrient export from rural catchments: A case study from Luxembourg. Sci. Total Environ. 2005, 344, 51–65. [Google Scholar] [CrossRef]
- Carroll, S.P.; Dawes, L.A.; Goonetilleke, A.; Hargreaves, M. Water Quality Profile of an Urbanising Catchment-Ningi Creek Catchment; Technical report; School of Urban Development, Queensland University of Technology: Brisbane, SEQ, Australia; Caboolture Shire Council: Brisbane, SEQ, Australia, 2006; pp. 1–93.
- Bhatti, A.S.; Wang, G.; Ullah, W.; Ullah, S.; Hagan, D.F.T.; Nooni, I.K.; Lou, D.; Ullah, I. Trend in extreme precipitation indices based on long term in situ precipitation records over Pakistan. Water 2020, 12, 797. [Google Scholar] [CrossRef]
- Ackerman, D.; Weisberg, S.B. Relationship between rainfall and beach bacterial concentrations on Santa Monica bay beaches. J. Water Health 2003, 1, 85–89. [Google Scholar] [CrossRef]
- Dias, F.J.S.; Marins, R.V.; Maia, L.P. Hydrology of a well-mixed estuary at the semi-arid northeastern Brazilian coast. Acta Limnol. Bras. 2009, 21, 377–385. [Google Scholar]
- Quan, B.; Zhu, H.-J.; Chen, S.-L.; Römkens, M.J.M.; Li, B.-C. Land suitability assessment and land use change in Fujian province, China. Pedosphere 2007, 17, 493–504. [Google Scholar] [CrossRef]




| Contents | Anhe River Sediment Mean (Range) | Suihe River Sediment Mean (Range) |
|---|---|---|
| Al (%) | 10.11 (7.52–12.07) | 10.20 (7.92–14.05) |
| Ca (%) | 5.75 (3.71–6.62) | 5.03 (2.80–7.76) |
| Mn (%) | 0.06 (0.01–0.17) | 0.05 (0.00–0.09) |
| Fe (%) | 4.18 (2.96–4.57) | 3.83 (2.76–4.71) |
| OM (%) | 1.85 (0.97–3.80) | 1.68 (1.13–2.31) |
| TN (mg kg-1) | 1114.44 (789.29–1310.21) | 1182.34 (923.72–1398.44) |
| TP (mg kg-1) | 841.52 (514.71–1078.86) | 675.12 (398.18–1093.10) |
| pH | 8.18 (7.97–8.66) | 7.96 (7.66–8.32) |
| Contents | Dongtiaoxi River Sediment Mean (Range) | Xitiaoxi River Sediment Mean (Range) |
|---|---|---|
| TOC(%) | 2.25 (1.76–2.82) | 2.25 (0.68–3.85) |
| OM (%) | 1.95 (0.6–2.1) | 2.31 (0.7–3.1) |
| Al2O3% | 24.18 (22.26–26.73) | 24.09 (20.90–27.01) |
| SiO2% | 65.85 (55.16–75.88) | 71.10 (65.13–76.92) |
| CaO% | 5.09 (1.28–11.99) | 1.58 (0.66–6.05) |
| MnO2% | 0.17 (0.07–0.23) | 0.11 (0.06–0.23) |
| Fe2O3% | 6.89 (5.95–7.60) | 6.52 (4.92–7.76) |
| TP (mg kg−1) | 1056.43 (815.70–1302.60) | 1373.76 (1186.03–1530.76) |
| OP (mg kg−1) | 199.56 (116.96–279.77) | 308.16 (221.45–385.00) |
| TN (mg kg−1) | 1244.24 (1102.68–1658.69) | 1438.00 (1186.03–1530.76) |
| IP (mg kg−1) | 879.3 (698.74–1059.86) | 1068.67 (888.96–1248.39) |
| Contents | Anhe River | Suihe River | ||||||
|---|---|---|---|---|---|---|---|---|
| NH4Cl-P | BD-P | NaOH-P | HCl-P | NH4Cl-P | BD-P | NaOH-P | HCl-P | |
| Al | 0.633 * | 0.854 ** | 0.151 | 0.649 * | 0.813 * | 0.976 ** | 0.708 * | 0.332 |
| Ca | 0.484 | 0.662 * | 0.041 | 0.787 ** | 0.267 | 0.226 | 0.086 | 0.924 ** |
| Mn | 0.137 | 0.202 | −0.213 | −0.303 | −0.403 | −0.496 | −0.318 | 0.679 |
| Fe | 0.582 | 0.421 | 0.939 ** | −0.153 | 0.794 * | 0.770 * | 0.976 ** | 0.261 |
| OM | 0.200 | 0.085 | 0.412 | 0.191 | 0.931 ** | 0.907 ** | 0.817 * | 0.285 |
| TN | 0.395 | 0.469 | 0.555 | 0.496 | 0.408 | 0.141 | 0.351 | 0.506 |
| TP | 0.506 | 0.470 | 0.523 | 0.401 | 0.932 ** | 0.867 ** | 0.907 ** | 0.321 |
| pH | 0.211 | 0.469 | −0.366 | 0.878 ** | 0.133 | −0.063 | 0.004 | 0.935 ** |
| Contents | Dongtiaoxi River | Xitiaoxi River | ||||||
|---|---|---|---|---|---|---|---|---|
| NH4Cl-P | BD-P | NaOH-P | HCl-P | NH4Cl-P | BD-P | NaOH-P | HCl-P | |
| TOC | −0.808 ** | −0.770 ** | −0.087 | −0.405 | 0.168 | −0.198 | −0.031 | 0.279 |
| Al2O3 | −0.342 | −0.327 | 0.003 | −0.095 | −0.015 | 0.267 | 0.072 | −0.140 |
| SiO2 | −0.033 | −0.116 | 0.281 | 0.237 | −0.038 | 0.098 | −0.029 | −0.290 |
| CaO | 0.077 | 0.225 | −0.202 | −0.184 | −0.037 | −0.449 * | 0.251 | 0.680 ** |
| MnO2 | −0.539 * | −0.461 * | −0.240 | −0.373 | 0.062 | 0.004 | −0.085 | 0.080 |
| Fe2O3 | −0.330 | −0.257 | −0.017 | −0.075 | 0.409 | −0.153 | −0.157 | 0.152 |
| IP | 0.505 * | 0.346 | 0.785 ** | 0.667 ** | 0.372 | −0.232 | 0.181 | 0.154 |
| OP | −0.369 | −0.397 | 0.327 | 0.019 | −0.235 | 0.059 | −0.047 | 0.004 |
| TP | 0.245 | 0.113 | 0.726 ** | 0.524 * | 0.327 | −0.257 | 0.200 | 0.197 |
| TN | 0.719 ** | 0.754 ** | 0.843 ** | 0.862 ** | 0.399 | −0.502 * | −0.073 | 0.421 |
© 2020 by the authors. Licensee MDPI, Basel, Switzerland. This article is an open access article distributed under the terms and conditions of the Creative Commons Attribution (CC BY) license (http://creativecommons.org/licenses/by/4.0/).
Share and Cite
Marip, J.B.; Yuan, X.; Zhu, H.; Nooni, I.K.; Amankwah, S.O.Y.; Prempeh, N.A.; Norgbey, E.; Yuguda, T.K.; Khaing, Z.M. Spatial Distribution and Environmental Significance of Phosphorus Fractions in River Sediments and Its Influencing Factor from Hongze and Tiaoxi Watersheds, Eastern China. Int. J. Environ. Res. Public Health 2020, 17, 5787. https://doi.org/10.3390/ijerph17165787
Marip JB, Yuan X, Zhu H, Nooni IK, Amankwah SOY, Prempeh NA, Norgbey E, Yuguda TK, Khaing ZM. Spatial Distribution and Environmental Significance of Phosphorus Fractions in River Sediments and Its Influencing Factor from Hongze and Tiaoxi Watersheds, Eastern China. International Journal of Environmental Research and Public Health. 2020; 17(16):5787. https://doi.org/10.3390/ijerph17165787
Chicago/Turabian StyleMarip, Ja Bawk, Xuyin Yuan, Hai Zhu, Isaac Kwesi Nooni, Solomon O. Y. Amankwah, Nana Agyemang Prempeh, Eyram Norgbey, Taitiya Kenneth Yuguda, and Zaw Myo Khaing. 2020. "Spatial Distribution and Environmental Significance of Phosphorus Fractions in River Sediments and Its Influencing Factor from Hongze and Tiaoxi Watersheds, Eastern China" International Journal of Environmental Research and Public Health 17, no. 16: 5787. https://doi.org/10.3390/ijerph17165787
APA StyleMarip, J. B., Yuan, X., Zhu, H., Nooni, I. K., Amankwah, S. O. Y., Prempeh, N. A., Norgbey, E., Yuguda, T. K., & Khaing, Z. M. (2020). Spatial Distribution and Environmental Significance of Phosphorus Fractions in River Sediments and Its Influencing Factor from Hongze and Tiaoxi Watersheds, Eastern China. International Journal of Environmental Research and Public Health, 17(16), 5787. https://doi.org/10.3390/ijerph17165787

