Everyday Pedelec Use and Its Effect on Meeting Physical Activity Guidelines
Abstract
1. Introduction
2. Materials and Methods
2.1. Study Design
2.2. Preliminary Physiological Testing
2.3. Flow Protocol and Randomization
2.4. Trip Documentation via Monitoring Tools
2.5. Measured Parameters
2.6. Intensity Calculation
2.7. Statistical Analysis
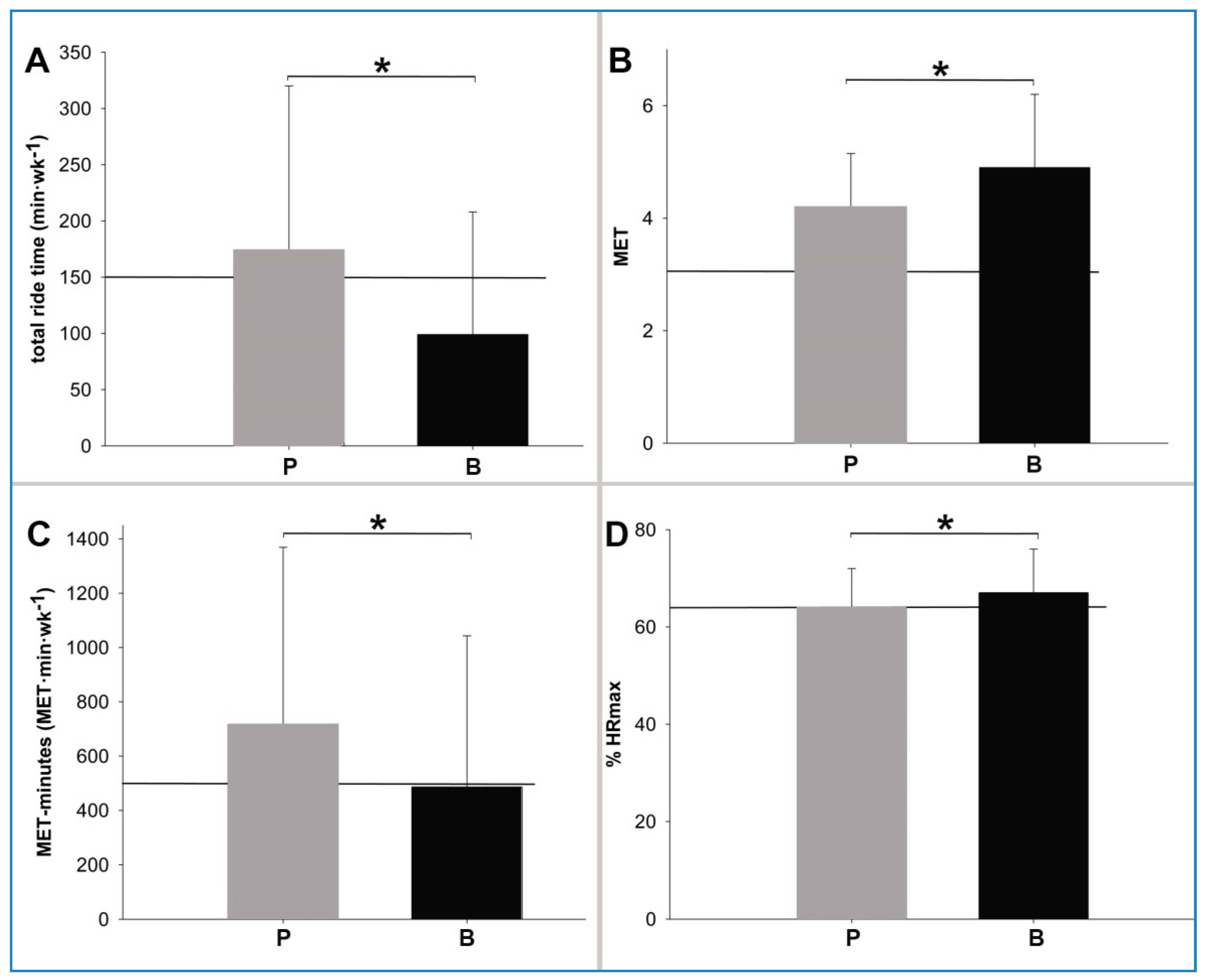
3. Results
3.1. Trip Documentation/ Monitoring
3.2. Measured Parameters
3.3. Calculated Intensity
4. Discussion
Limitations
5. Conclusions
Author Contributions
Funding
Acknowledgments
Conflicts of Interest
References
- World Health Organization (WHO) Physical Activity. Available online: http://www.who.int/mediacentre/factsheets/fs385/en/ (accessed on 15 May 2020).
- WHO. Global Action Plan on Physical Activity 2018–2030: More Active People for a Healthier World; World Health Organization: New York, NY, USA, 2018; ISBN 978-92-4-151418-7. [Google Scholar]
- van Dongen, J.M.; Proper, K.I.; van Wier, M.F.; van der Beek, A.J.; Bongers, P.M.; van Mechelen, W.; van Tulder, M.W. Systematic review on the financial return of worksite health promotion programmes aimed at improving nutrition and/or increasing physical activity. Obes. Rev. Off. J. Int. Assoc. Study Obes. 2011, 12, 1031–1049. [Google Scholar] [CrossRef]
- de Geus, B.; De Smet, S.; Nijs, J.; Meeusen, R. Determining the intensity and energy expenditure during commuter cycling. Br. J. Sports Med. 2007, 41, 8–12. [Google Scholar] [CrossRef]
- Garber, C.E.; Blissmer, B.; Deschenes, M.R.; Franklin, B.A.; Lamonte, M.J.; Lee, I.-M.; Nieman, D.C.; Swain, D.P. American College of Sports Medicine position stand. Quantity and quality of exercise for developing and maintaining cardiorespiratory, musculoskeletal, and neuromotor fitness in apparently healthy adults: Guidance for prescribing exercise. Med. Sci. Sports Exerc. 2011, 43, 1334–1359. [Google Scholar] [CrossRef] [PubMed]
- Rose, G. E-bikes and urban transportation: Emerging issues and unresolved questions. Transportation 2012, 39, 81–96. [Google Scholar] [CrossRef]
- Zweirad-Industrie-Verband, E.V. Zahlen–Daten–Fakten zum Deutschen E-Bike-Markt 2018–2019. Available online: https://www.ziv-zweirad.de/fileadmin/redakteure/Downloads/PDFs/PM_2020_11.03._Fahrrad-_und_E-Bike_Markt_2019.pdf (accessed on 1 June 2020).
- MacArthur, J.; Dill, J.; Person, M. Electric Bikes in North America: Results of an Online Survey. Transp. Res. Rec. J. Transp. Res. Board 2014, 2468, 123–130. [Google Scholar] [CrossRef]
- Haustein, S.; Møller, M. Age and attitude: Changes in cycling patterns of different e-bike user segments. Int. J. Sustain. Transp. 2016, 10, 836–846. [Google Scholar] [CrossRef]
- Castro, A.; Gaupp-Berghausen, M.; Dons, E.; Standaert, A.; Laeremans, M.; Clark, A.; Anaya-Boig, E.; Cole-Hunter, T.; Avila-Palencia, I.; Rojas-Rueda, D.; et al. Physical activity of electric bicycle users compared to conventional bicycle users and non-cyclists: Insights based on health and transport data from an online survey in seven European cities. Transp. Res. Interdiscip. Perspect. 2019, 1, 100017. [Google Scholar] [CrossRef]
- Nordengen, S.; Ruther, D.C.; Riiser, A.; Andersen, L.B.; Solbraa, A. Correlates of Commuter Cycling in Three Norwegian Counties. Int. J. Environ. Res. Public. Health 2019, 16, 4372. [Google Scholar] [CrossRef] [PubMed]
- Bourne, J.E.; Sauchelli, S.; Perry, R.; Page, A.; Leary, S.; England, C.; Cooper, A.R. Health benefits of electrically-assisted cycling: A systematic review. Int. J. Behav. Nutr. Phys. Act. 2018, 15, 116. [Google Scholar] [CrossRef]
- Choi, L.; Liu, Z.; Matthews, C.E.; Buchowski, M.S. Validation of accelerometer wear and nonwear time classification algorithm. Med. Sci. Sports Exerc. 2011, 43, 357–364. [Google Scholar] [CrossRef] [PubMed]
- Freedson, P.S.; Melanson, E.; Sirard, J. Calibration of the Computer Science and Applications, Inc. accelerometer. Med. Sci. Sports Exerc. 1998, 30, 777–781. [Google Scholar] [CrossRef] [PubMed]
- Troiano, R.P.; McClain, J.J.; Brychta, R.J.; Chen, K.Y. Evolution of accelerometer methods for physical activity research. Br. J. Sports Med. 2014, 48, 1019–1023. [Google Scholar] [CrossRef] [PubMed]
- Borg, G. Psychophysical scaling with applications in physical work and the perception of exertion. Scand. J. Work. Environ. Health 1990, 16, 55–58. [Google Scholar] [CrossRef] [PubMed]
- Fyhri, A.; Fearnley, N. Effects of e-bikes on bicycle use and mode share. Transp. Res. Part Transp. Environ. 2015, 36, 45–52. [Google Scholar] [CrossRef]
- Gojanovic, B.; Welker, J.; Iglesias, K.; Daucourt, C.; Gremion, G. Electric bicycles as a new active transportation modality to promote health. Med. Sci. Sports Exerc. 2011, 43, 2204–2210. [Google Scholar] [CrossRef]
- Simons, M.; Van Es, E.; Hendriksen, I. Electrically assisted cycling: A new mode for meeting physical activity guidelines? Med. Sci. Sports Exerc. 2009, 41, 2097–2102. [Google Scholar] [CrossRef]
- Sperlich, B.; Zinner, C.; Hébert-Losier, K.; Born, D.-P.; Holmberg, H.-C. Biomechanical, cardiorespiratory, metabolic and perceived responses to electrically assisted cycling. Eur. J. Appl. Physiol. 2012, 112, 4015–4025. [Google Scholar] [CrossRef]
- Paul, F.; Bogenberger, K. Evaluation-method for a Station Based Urban-pedelec Sharing System. Transp. Res. Procedia 2014, 4, 482–493. [Google Scholar] [CrossRef]
- Peterman, J.E.; Morris, K.L.; Kram, R.; Byrnes, W.C. Pedelecs as a physically active transportation mode. Eur. J. Appl. Physiol. 2016, 116, 1565–1573. [Google Scholar] [CrossRef]
- Herman Hansen, B.; Børtnes, I.; Hildebrand, M.; Holme, I.; Kolle, E.; Anderssen, S.A. Validity of the ActiGraph GT1M during walking and cycling. J. Sports Sci. 2014, 32, 510–516. [Google Scholar] [CrossRef]
- Steeves, J.A.; Bowles, H.R.; McClain, J.J.; Dodd, K.W.; Brychta, R.J.; Wang, J.; Chen, K.Y. Ability of thigh-worn ActiGraph and activPAL monitors to classify posture and motion. Med. Sci. Sports Exerc. 2015, 47, 952–959. [Google Scholar] [CrossRef] [PubMed]
- Mansoubi, M.; Pearson, N.; Biddle, S.J.H.; Clemes, S.A. Using Sit-to-Stand Workstations in Offices: Is There a Compensation Effect? Med. Sci. Sports Exerc. 2016, 48, 720–725. [Google Scholar] [CrossRef] [PubMed]


| All Mean ± SD | S1 Bicycle First Mean ± SD | S2 Pedelec First Mean ± SD | S1 vs. S2 p-Value | |
|---|---|---|---|---|
| Gender (men/female) | 54/47 | 27/24 | 27/23 | 0.915 |
| Age (years) | 43 ± 11 | 44 ± 12 | 42 ± 11 | 0.369 |
| Height (cm) | 174 ± 9 | 173 ± 9 | 175 ± 10 | 0.370 |
| Bodyweight (kg) | 82 ± 17 | 84 ± 19 | 81 ± 15 | 0.469 |
| Body mass index (kg·m−2) | 27.0 ± 4.8 | 27.6 ± 5.0 | 26.5 ± 4.4 | 0.218 |
| Fat mass (%) | 27 ± 9 | 28 ± 9 | 26 ± 9 | 0.381 |
| Maximum Power output (W·kg−1) | 2.6 ± 0.6 | 2.6 ± 0.7 | 2.6 ± 0.6 | 0.618 |
| VO2 peak (mL·kg−1·min−1) | 32 ± 8 | 32 ± 8 | 33 ± 8 | 0.674 |
| P Mean ± SD | B Mean ± SD | p-Value | |
|---|---|---|---|
| Number of trips (wk−1) | 5.3 ± 4.3 | 3.2 ± 4.0 | p < 0.001 |
| Trip duration (min) | 37.5 ± 23.5 | 40.3 ± 27.8 | p = 0.45 |
| Total ride time (min·wk−1) | 174 ± 146 | 99 ± 109 | p < 0.001 |
© 2020 by the authors. Licensee MDPI, Basel, Switzerland. This article is an open access article distributed under the terms and conditions of the Creative Commons Attribution (CC BY) license (http://creativecommons.org/licenses/by/4.0/).
Share and Cite
Stenner, H.T.; Boyen, J.; Hein, M.; Protte, G.; Kück, M.; Finkel, A.; Hanke, A.A.; Tegtbur, U. Everyday Pedelec Use and Its Effect on Meeting Physical Activity Guidelines. Int. J. Environ. Res. Public Health 2020, 17, 4807. https://doi.org/10.3390/ijerph17134807
Stenner HT, Boyen J, Hein M, Protte G, Kück M, Finkel A, Hanke AA, Tegtbur U. Everyday Pedelec Use and Its Effect on Meeting Physical Activity Guidelines. International Journal of Environmental Research and Public Health. 2020; 17(13):4807. https://doi.org/10.3390/ijerph17134807
Chicago/Turabian StyleStenner, Hedwig T., Johanna Boyen, Markus Hein, Gudrun Protte, Momme Kück, Armin Finkel, Alexander A. Hanke, and Uwe Tegtbur. 2020. "Everyday Pedelec Use and Its Effect on Meeting Physical Activity Guidelines" International Journal of Environmental Research and Public Health 17, no. 13: 4807. https://doi.org/10.3390/ijerph17134807
APA StyleStenner, H. T., Boyen, J., Hein, M., Protte, G., Kück, M., Finkel, A., Hanke, A. A., & Tegtbur, U. (2020). Everyday Pedelec Use and Its Effect on Meeting Physical Activity Guidelines. International Journal of Environmental Research and Public Health, 17(13), 4807. https://doi.org/10.3390/ijerph17134807

