Association of Pain, Severe Pain, and Multisite Pain with the Level of Physical Activity and Sedentary Behavior in Severely Obese Adults: Baseline Data from the DieTBra Trial
Abstract
1. Introduction
2. Methods
2.1. Study Design
2.2. Participants
2.3. Measures
2.3.1. Independent Variables
Sociodemographic Data, Lifestyle, and Food Consumption
Clinical Variables
Anthropometry
2.3.2. Outcome Variables
Musculoskeletal Pain
2.4. Statistical Analysis
3. Results
4. Discussion
5. Conclusions
Author Contributions
Funding
Acknowledgments
Conflicts of Interest
References
- Jaacks, L.M.; Vandevijvere, S.; Pan, A.; McGowan, C.J.; Wallace, C.; Imamura, F.; Mozaffarian, D.; Swinburn, B.; Ezzati, M. The obesity transition: Stages of the global epidemic. Lancet Diabetes Endocrinol. 2019, 7, 231–240. [Google Scholar] [CrossRef]
- Collaboration, N.R.F. Trends in adult body-mass index in 200 countries from 1975 to 2014: A pooled analysis of 1698 population-based measurement studies with 19· 2 million participants. Lancet 2016, 387, 1377–1396. [Google Scholar]
- Collaborators, G.O. Health effects of overweight and obesity in 195 countries over 25 years. N. Engl. J. Med. 2017, 377, 13–27. [Google Scholar] [CrossRef]
- MacLellan, G.A.; Dunlevy, C.; O’Malley, E.; Blake, C.; Breen, C.; Gaynor, K.; Wallace, N.; Yoder, R.; Casey, D.; Mehegan, J.; et al. Musculoskeletal pain profile of obese individuals attending a multidisciplinary weight management service. Pain 2017, 158, 1342–1353. [Google Scholar] [CrossRef] [PubMed]
- Calenzani, G.; Santos, F.F.D.; Wittmer, V.L.; Freitas, G.K.F.; Paro, F.M. Prevalence of musculoskeletal symptoms in obese patients candidates for bariatric surgery and its impact on health related quality of life. Arch. Endocrinol. Metab. 2017, 61, 319–325. [Google Scholar] [CrossRef][Green Version]
- Son, K.M.; Kang, S.H.; Seo, Y.I.; Kim, H.A. Association of body composition with disease activity and disability in rheumatoid arthritis. Korean J. Intern. Med. 2020. [Google Scholar] [CrossRef]
- Herzog, W. Reflections on obesity, exercise, and musculoskeletal health. J. Sport Health Sci. 2020, 9, 108–109. [Google Scholar] [CrossRef]
- Ceballos, A.G.D.C.D.; Santos, G.B. Factors associated with musculoskeletal pain among teachers: Sociodemographics aspects, general health and well-being at work. Rev. Bras. Epidemiol. 2015, 18, 702–715. [Google Scholar] [CrossRef]
- Fujii, T.; Matsudaira, K. Prevalence of low back pain and factors associated with chronic disabling back pain in Japan. Eur. Spine J. 2013, 22, 432–438. [Google Scholar] [CrossRef]
- Genebra, C.V.D.S.; Maciel, N.M.; Bento, T.P.F.; Simeão, S.F.A.P.; De Vitta, A. Prevalence and factors associated with neck pain: A population-based study. Braz. J. Phys. Ther. 2017, 21, 274–280. [Google Scholar] [CrossRef]
- Malchaire, J.; Cock, N.; Vergracht, S. Review of the factors associated with musculoskeletal problems in epidemiological studies. Int. Arch. Occup. Environ. Health 2001, 74, 79–90. [Google Scholar] [CrossRef] [PubMed]
- Park, S.J.; Yoon, D.M.; Yoon, K.B.; Moon, J.A.; Kim, S.H. Factors associated with higher reported pain levels in patients with chronic musculoskeletal pain: A cross-sectional, correlational analysis. PLoS ONE 2016, 11, e0163132. [Google Scholar] [CrossRef] [PubMed]
- Smuck, M.; Kao, M.-C.J.; Brar, N.; Martinez-Ith, A.; Choi, J.; Tomkins-Lane, C.C. Does physical activity influence the relationship between low back pain and obesity? Spine J. 2014, 14, 209–216. [Google Scholar] [CrossRef] [PubMed]
- Okifuji, A.; Hare, B.D. The association between chronic pain and obesity. J. Pain Res. 2015, 8, 399. [Google Scholar] [CrossRef]
- Magnusson, K.; Østerås, N.; Mowinckel, P.; Natvig, B.; Hagen, K. No strong temporal relationship between obesity and multisite pain–results from a population-based 20-year follow-up study. Eur. J. Pain 2014, 18, 120–127. [Google Scholar] [CrossRef]
- Santos, A.; Rodrigues, A.P.S.; Rosa, L.P.S.; Sarrafzadegan, N.; Silveira, E.A. Cardiometabolic risk factors and Framingham Risk Score in severely obese patients: Baseline data from DieTBra trial. Nutr. Metab. Cardiovasc. Dis. 2020, 30, 474–482. [Google Scholar] [CrossRef]
- Rodrigues, A.P.D.S.; Rosa, L.P.S.; da Silva, H.D.; Silveira-Lacerda, E.D.P.; Silveira, E.A. The Single Nucleotide Polymorphism PPARG2 Pro12Ala Affects Body Mass Index, Fat Mass, and Blood Pressure in Severely Obese Patients. J. Obes. 2018, 2018, 2743081. [Google Scholar] [CrossRef]
- Silveira, E.A.; de Souza Rosa, L.P.; de Carvalho Santos, A.S.E.A.; de Souza Cardoso, C.K.; Noll, M. Type 2 Diabetes Mellitus in Class II and III Obesity: Prevalence, Associated Factors, and Correlation between Glycemic Parameters and Body Mass Index. Int. J. Environ. Res. Public Health 2020, 17, 3930. [Google Scholar] [CrossRef]
- Santos, A.; Rodrigues, A.; Rosa, L.P.S.; Noll, M.; Silveira, E.A. Traditional Brazilian Diet and Olive Oil Reduce Cardiometabolic Risk Factors in Severely Obese Individuals: A Randomized Trial. Nutrients 2020, 12, 1413. [Google Scholar] [CrossRef]
- Rodrigues, A.P.S.; Rosa, L.P.S.; Silveira, E.A. PPARG2 Pro12Ala polymorphism influences body composition changes in severely obese patients consuming extra virgin olive oil: A randomized clinical trial. Nutr. Metab. 2018, 15, 52. [Google Scholar] [CrossRef]
- Silveira, E.A.; Souza, J.D.; Rodrigues, A.P.R.; Lima, R.M.; Cardoso, C.K.S.; Oliveira, C. Effects of Extra Virgin Olive Oil (EVOO) and the Traditional Brazilian Diet on Sarcopenia in Severe Obesity: A Randomized Clinical Trial. Nutrients 2020, 12, 1498. [Google Scholar] [CrossRef] [PubMed]
- Cardoso, C.K.S.; Santos, A.; Rosa, L.P.S.; Mendonça, C.R.; Vitorino, P.V.O.; Peixoto, M.; Silveira, E.A. Effect of Extra Virgin Olive Oil and Traditional Brazilian Diet on the Bone Health Parameters of Severely Obese Adults: A Randomized Controlled Trial. Nutrients 2020, 12, 403. [Google Scholar] [CrossRef] [PubMed]
- Associação Brasileira de Empresas de Pesquisa. Critério de classificação econômica Brasil. 2008. Available online: http://www.abep.org/criterio-brasil (accessed on 22 June 2020).
- Bloomfield, K.; Gerhard, G.; Sharon, W. Gender, culture and alcohol problems: A multi-national study. Alcohol Alcohol. 2006, 41, i3–i7. [Google Scholar] [CrossRef] [PubMed]
- Kanny, D.; Naimi, T.S.; Liu, Y.; Lu, H.; Brewer, R.D. Annual total binge drinks consumed by US adults, 2015. Am. J. Prev. Med. 2018, 54, 486–496. [Google Scholar] [CrossRef] [PubMed]
- Wendt, A.; da Silva, I.C.M.; Gonçalves, H.; Menezes, A.; Barros, F.; Wehrmeister, F.C. Short-term effect of physical activity on sleep health: A population-based study using accelerometry. J. Sport Health Sci. 2020, 2. [Google Scholar] [CrossRef]
- Hildebrand, M.; VT, V.A.N.H.; Hansen, B.H.; Ekelund, U. Age group comparability of raw accelerometer output from wrist- and hip-worn monitors. Med. Sci. Sports Exerc. 2014, 46, 1816–1824. [Google Scholar] [CrossRef]
- da Silva, I.C.; van Hees, V.T.; Ramires, V.V.; Knuth, A.G.; Bielemann, R.M.; Ekelund, U.; Brage, S.; Hallal, P.C. Physical activity levels in three Brazilian birth cohorts as assessed with raw triaxial wrist accelerometry. Int. J. Epidemiol. 2014, 43, 1959–1968. [Google Scholar] [CrossRef]
- Thompson, F.; Subar, A. Chapter 1—Dietary Assessment Methodology. In Nutrition in the Prevention and Treatment of Disease; Academic Press: Burlington, NJ, USA, 2008. [Google Scholar]
- Zigmond, A.S.; Snaith, R.P. The hospital anxiety and depression scale. Acta Psychiatr. Scand. 1983, 67, 361–370. [Google Scholar] [CrossRef]
- Association, A.D. Standards of medical care in diabetes-2017 abridged for primary care providers. Clin. Diabetes 2017, 35, 5–26. [Google Scholar] [CrossRef]
- Organization, W.H. Collaborating centre for drug statistics methodology. In Guidelines for ATC Classification and DDD Assignment; WHO: Oslo, Norway, 2018; p. 3. [Google Scholar]
- Jin, M.; Yang, F.; Yang, I.; Yin, Y.; Luo, J.J.; Wang, H.; Yang, X.-F. Uric acid, hyperuricemia and vascular diseases. Front. Biosci. 2012, 17, 656. [Google Scholar] [CrossRef]
- Holick, M.F.; Binkley, N.C.; Bischoff-Ferrari, H.A.; Gordon, C.M.; Hanley, D.A.; Heaney, R.P.; Murad, M.H.; Weaver, C.M. Evaluation, treatment, and prevention of vitamin D deficiency: An Endocrine Society clinical practice guideline. J. Clin. Endocrinol. Metab. 2011, 96, 1911–1930. [Google Scholar] [CrossRef]
- World Health Organization. Obesity: Preventing and Managing the Global Epidemic; WHO: Geneva, Switzerland, 2000. [Google Scholar]
- Pinheiro, F.A.; Tróccoli, B.T.; Carvalho, C.V.D. Validity of the Nordic Musculoskeletal Questionnaire as morbidity measurement tool. Rev. Saude Publica 2002, 36, 307–312. [Google Scholar] [CrossRef] [PubMed]
- De Barros, E.; Alexandre, N.M.C. Cross-cultural adaptation of the Nordic musculoskeletal questionnaire. Int. Nurs. Rev. 2003, 50, 101–108. [Google Scholar] [CrossRef] [PubMed]
- Mendonça, C.R.; Noll, M.; Silveira, E.A. Adaptation and validation of body maps for musculoskeletal pain location in patients with severe obesity. Korean J. Pain 2018, 31, 268. [Google Scholar] [CrossRef]
- Coggon, D.; Ntani, G.; Palmer, K.T.; Felli, V.E.; Harari, R.; Barrero, L.H.; Felknor, S.A.; Gimeno, D.; Cattrell, A.; Vargas-Prada, S. Patterns of multisite pain and associations with risk factors. Pain 2013, 154, 1769–1777. [Google Scholar] [CrossRef] [PubMed]
- Kuorinka, I.; Jonsson, B.; Kilbom, A.; Vinterberg, H.; Biering-Sørensen, F.; Andersson, G.; Jørgensen, K. Standardised Nordic questionnaires for the analysis of musculoskeletal symptoms. Appl. Ergon. 1987, 18, 233–237. [Google Scholar] [CrossRef]
- Haefeli, M.; Elfering, A. Pain assessment. Eur. Spine J. 2006, 15 (Suppl. 1), S17–S24. [Google Scholar] [CrossRef] [PubMed]
- Boonstra, A.M.; Stewart, R.E.; Köke, A.J.A.; Oosterwijk, R.F.A.; Swaan, J.L.; Schreurs, K.M.G.; Schiphorst Preuper, H.R. Cut-Off Points for Mild, Moderate, and Severe Pain on the Numeric Rating Scale for Pain in Patients with Chronic Musculoskeletal Pain: Variability and Influence of Sex and Catastrophizing. Front. Psychol. 2016, 7, 1466. [Google Scholar] [CrossRef]
- Greenland, S.; Daniel, R.; Pearce, N. Outcome modelling strategies in epidemiology: Traditional methods and basic alternatives. Int. J. Epidemiol. 2016, 45, 565–575. [Google Scholar] [CrossRef]
- Peduzzi, P.; Concato, J.; Kemper, E.; Holford, T.R.; Feinstein, A.R. A simulation study of the number of events per variable in logistic regression analysis. J. Clin. Epidemiol. 1996, 49, 1373–1379. [Google Scholar] [CrossRef]
- Blümel, J.E.; Arteaga, E.; Mezones-Holguín, E.; Zúñiga, M.C.; Witis, S.; Vallejo, M.S.; Tserotas, K.; Sánchez, H.; Onatra, W.; Ojeda, E. Obesity is associated with a higher prevalence of musculoskeletal pain in middle-aged women. Gynecol. Endocrinol. 2017, 33, 378–382. [Google Scholar] [CrossRef] [PubMed]
- Luz, E.M.F.D.; Magnago, T.S.B.D.S.; Greco, P.B.T.; Ongaro, J.D.; Lanes, T.C.; Lemos, J.C. Prevalence and factors associated with musculoskeletal pain in hospital cleaning workers. Texto Contexto Enferm. 2017, 26, 26. [Google Scholar] [CrossRef]
- Pacca, D.M.; De-Campos, G.C.; Zorzi, A.R.; Chaim, E.A.; De-Miranda, J.B. Prevalence of joint pain and osteoarthritis in obese brazilian population. Arq. Bras. Cir. Dig. 2018, 31. [Google Scholar] [CrossRef] [PubMed]
- Peltonen, M.; Lindroos, A.K.; Torgerson, J.S. Musculoskeletal pain in the obese: A comparison with a general population and long-term changes after conventional and surgical obesity treatment. Pain 2003, 104, 549–557. [Google Scholar] [CrossRef]
- Ambrose, K.R.; Golightly, Y.M. Physical exercise as non-pharmacological treatment of chronic pain: Why and when. Best practice & research. Best Pract. Res. Clin. Rheumatol. 2015, 29, 120–130. [Google Scholar]
- Prioreschi, A.; Brage, S.; Westgate, K.; Norris, S.; Micklesfield, L. Cardiorespiratory fitness levels and associations with physical activity and body composition in young South African adults from Soweto. BMC Public Health 2017, 17, 301. [Google Scholar] [CrossRef]
- Stefansdottir, R.; Gudmundsdottir, S. Sedentary behavior and musculoskeletal pain: A five-year longitudinal Icelandic study. Public Health 2017, 149 (Suppl. C), 71–73. [Google Scholar] [CrossRef]
- Murata, S.; Doi, T.; Sawa, R.; Nakamura, R.; Isa, T.; Ebina, A.; Kondo, Y.; Tsuboi, Y.; Torizawa, K.; Fukuta, A. Association between objectively measured physical activity and the number of chronic musculoskeletal pain sites in community-dwelling older adults. Pain Med. 2018, 20, 717–723. [Google Scholar] [CrossRef]
- Pan, F.; Byrne, K.S.; Ramakrishnan, R.; Ferreira, M.; Dwyer, T.; Jones, G. Association between musculoskeletal pain at multiple sites and objectively measured physical activity and work capacity: Results from UK Biobank study. J. Sci. Med. Sport 2019, 22, 444–449. [Google Scholar] [CrossRef] [PubMed]
- Terrier, P.; Praz, C.; Le Carré, J.; Vuistiner, P.; Léger, B.; Luthi, F. Pain interference with physical functioning is associated with physical activity level in patients with chronic musculoskeletal pain. Ann. Phys. Rehabil Med. 2018, 61, e19. [Google Scholar] [CrossRef]
- Dong, H.J.; Larsson, B.; Rivano Fischer, M.; Gerdle, B. Maintenance of quality of life improvement for patients with chronic pain and obesity after interdisciplinary multimodal pain rehabilitation - A study using the Swedish Quality Registry for Pain Rehabilitation. Eur. J. Pain 2019, 23, 1839–1849. [Google Scholar] [CrossRef] [PubMed]
- Barbour, K.E. Prevalence of severe joint pain among adults with doctor-diagnosed arthritis-United States, 2002–2014. MMWR Morb. Mortal. Wkly. Rep. 2016, 65, 1052–1056. [Google Scholar] [CrossRef] [PubMed]
- Barbour, K.E.; Helmick, C.G.; Boring, M.; Brady, T.J. Vital signs: Prevalence of doctor-diagnosed arthritis and arthritis-attributable activity limitation—United States, 2013–2015. MMWR Morb. Mortal. Wkly. Rep. 2017, 66, 246. [Google Scholar] [CrossRef] [PubMed]
- Klingberg, E.; Bilberg, A.; Björkman, S.; Hedberg, M.; Jacobsson, L.; Forsblad-d’Elia, H.; Carlsten, H.; Eliasson, B.; Larsson, I. Weight loss improves disease activity in patients with psoriatic arthritis and obesity: An interventional study. Arthritis Res. Ther. 2019, 21, 17. [Google Scholar] [CrossRef]
- Cooney, J.K.; Law, R.-J.; Matschke, V.; Lemmey, A.B.; Moore, J.P.; Ahmad, Y.; Jones, J.G.; Maddison, P.; Thom, J.M. Benefits of exercise in rheumatoid arthritis. J. Aging Res. 2011, 681640. [Google Scholar] [CrossRef] [PubMed]
- McQueen, M.A. Exercise aspects of obesity treatment. Ochsner J. 2009, 9, 140–143. [Google Scholar]
- Abdel Shaheed, C.; Maher, C.; Williams, K.; McLachlan, A. Efficacy and tolerability of muscle relaxants for low back pain: Systematic review and meta-analysis. Eur. J. Pain 2017, 21, 228–237. [Google Scholar] [CrossRef]
- Witenko, C.; Moorman-Li, R.; Motycka, C.; Duane, K.; Hincapie-Castillo, J.; Leonard, P.; Valaer, C. Considerations for the appropriate use of skeletal muscle relaxants for the management of acute low back pain. Pharm. Ther. 2014, 39, 427. [Google Scholar]
- Davies, K.A.; Silman, A.J.; Macfarlane, G.J.; Nicholl, B.I.; Dickens, C.; Morriss, R.; Ray, D.; McBeth, J. The association between neighbourhood socio-economic status and the onset of chronic widespread pain: Results from the EPIFUND study. Eur J. Pain 2009, 13, 635–640. [Google Scholar] [CrossRef]
- Dorner, T.E.; Stein, K.V.; Hahne, J.; Wepner, F.; Friedrich, M.; Mittendorfer-Rutz, E. How are socio-demographic and psycho-social factors associated with the prevalence and chronicity of severe pain in 14 different body sites? A cross-sectional population-based survey. Wien. Klin. Wochenschr. 2018, 130, 14–22. [Google Scholar] [CrossRef]
- Hagen, K.; Zwart, J.-A.; Svebak, S.; Bovim, G.; Stovner, L.J. Low socioeconomic status is associated with chronic musculoskeletal complaints among 46,901 adults in Norway. Scand. J. Public Health 2005, 33, 268–275. [Google Scholar] [CrossRef] [PubMed]
- Kortt, M.; Baldry, J. The association between musculoskeletal disorders and obesity. Aust. Health Rev. 2002, 25, 207–214. [Google Scholar] [CrossRef] [PubMed]
- Mittendorfer-Rutz, E.; Dorner, T.E. Socio-economic factors associated with the 1-year prevalence of severe pain and pain-related sickness absence in the Austrian population. Wien. Klin. Wochenschr 2018, 130, 4–13. [Google Scholar] [CrossRef] [PubMed]
- Rios, R.; Zautra, A.J. Socioeconomic disparities in pain: The role of economic hardship and daily financial worry. Health Psychol. 2011, 30, 58. [Google Scholar] [CrossRef]
- Dalstra, J.A.; Kunst, A.E.; Borrell, C.; Breeze, E.; Cambois, E.; Costa, G.; Geurts, J.J.; Lahelma, E.; Van Oyen, H.; Rasmussen, N.K. Socioeconomic differences in the prevalence of common chronic diseases: An overview of eight European countries. Int. J. Epidemiol. 2005, 34, 316–326. [Google Scholar] [CrossRef]
- Huisman, M.; Kunst, A.E.; Bopp, M.; Borgan, J.-K.; Borrell, C.; Costa, G.; Deboosere, P.; Gadeyne, S.; Glickman, M.; Marinacci, C. Educational inequalities in cause-specific mortality in middle-aged and older men and women in eight western European populations. Lancet 2005, 365, 493–500. [Google Scholar] [CrossRef]
- Suman, A.; Bostick, G.P.; Schaafsma, F.G.; Anema, J.R.; Gross, D.P. Associations between measures of socio-economic status, beliefs about back pain, and exposure to a mass media campaign to improve back beliefs. BMC Public Health 2017, 17, 504. [Google Scholar] [CrossRef]
- Kolotkin, R.L.; Crosby, R.D.; Gress, R.E.; Hunt, S.C.; Engel, S.G.; Adams, T.D. Health and health-related quality of life: Differences between men and women who seek gastric bypass surgery. Surg. Obes. Relat. Dis. 2008, 4, 651–659. [Google Scholar] [CrossRef]



| Variable | Pain | Severe Pain | Four or More Painful Sites | ||||||
|---|---|---|---|---|---|---|---|---|---|
| Prevalence n (%) | PR (95% CI) | p | Prevalence n (%) | PR (95% CI) | p | Prevalence n (%) | PR (95% CI) | p | |
| Gender | 0.158 | 0.901 | 0.036 | ||||||
| Male | 17 (77.27) | 1 | 15 (68.18) | 1 | 6 (27.27) | 1 | |||
| Female | 117 (91.41) | 1.18 (0.94–1.49) | 89 (69.53) | 1.02 (0.75–1.39) | 74 (57.81) | 2.12 (1.05–4.27) | |||
| Age (years) | 0.406 * | 0.687 | 0.864 | ||||||
| 18–39 | 69 (90.79) | 1 | 51 (67.11) | 1 | 39 (51.32) | 1 | |||
| 40–49 | 48 (90.57) | 0.99 (0.89–1.12) | 37 (69.81) | 1.04 (0.82–1.32) | 29 (54.72) | 1.07 (0.77–1.48) | |||
| 50 or more | 17 (80.95) | 0.89 (0.72–1.11) | 16 (76.19) | 1.14 (0.85–1.51) | 12 (57.14) | 1.11 (0.72–1.71) | |||
| Occupation | 0.968 | 0.936 | 0.678 | ||||||
| Formal worker | 45 (90.00) | 1.01 (0.89–1.16) | 34 (68.00) | 0.96 (0.74–1.24) | 26 (52.00) | 1.04 (0.71–1.52) | |||
| Informal worker/self-employed | 46 (88.46) | 1 | 37 (71.15) | 1 | 26 (50.00) | 1 | |||
| Retired/housewife and others 1 | 43 (89.58) | 1.01 (0.88–1.16) | 33 (68.75) | 0.97 (0.75–1.25) | 28 (58.33) | 1.17 (0.81–1.68) | |||
| Lives with partner | 0.552 | 0.748 | 0.204 | ||||||
| No | 48 (87.27) | 0.96 (0.85–1.09) | 39 (70.91) | 1.04 (0.83–1.29) | 33 (60.00) | 1.21 (0.90–1.63) | |||
| Yes | 86 (90.53) | 1 | 65 (68.42) | 1 | 47 (49.47) | 1 | |||
| Schooling (years) | 0.598 | 0.081 | 0.744 | ||||||
| ≤10 | 66 (88.00) | 0.97 (0.87–1.08) | 57 (76.00) | 1.21 (0.97–1.51) | 41 (54.67) | 1.05 (0.78–1.42) | |||
| ≥11 | 68 (90.67) | 1 | 47 (62.67) | 1 | 39 (52.00) | 1 | |||
| Economic class | 0.303 * | 0.079 * | 0.004 | ||||||
| A-B | 28 (82.35) | 1 | 19 (55.88) | 1 | 10 (29.41) | 1 | |||
| C | 83 (90.22) | 1.09 (0.92–1.30) | 65 (70.65) | 1.26 (0.91–1.75) | 52 (56.52) | 1.92 (1.11–3.34) | |||
| D | 23 (95.83) | 1.16 (0.97–1.39) | 20 (83.33) | 1.49 (1.05–2.11) | 18 (75.00) | 2.55 (1.44–4.52) | |||
| Smoker | 0.267 * | 0.232 | 0.508 | ||||||
| No | 88 (87.13) | 1 | 67 (66.34) | 1 | 52 (51.49) | 1 | |||
| Yes | 46 (93.88) | 1.08 (0.97–1.20) | 37 (75.51) | 1.14 (0.92–1.41) | 28 (57.14) | 1.11 (0.82–1.51) | |||
| Alcohol consumption | 0.450 | 0.497 | 0.981 | ||||||
| No | 97 (90.65) | 1.05 (0.92–1.21) | 76 (71.03) | 1.09 (0.85–1.40) | 57 (53.27) | 0.99 (0.71–1.39) | |||
| Yes | 37 (86.05) | 1 | 28 (65.12) | 1 | 23 (53.49) | 1 | |||
| Fruit consumption (daily) | 0.173 | 0.774 | 0.528 | ||||||
| No | 101 (91.82) | 1.11 (0.95–1.30) | 77 (70.00) | 1.04 (0.81–1.33) | 57 (51.82) | 0.90 (0.65–1.24) | |||
| Yes | 33 (82.50) | 1 | 27 (67.50) | 1 | 23 (57.50) | 1 | |||
| Vegetable consumption (daily) | 1.000 * | 0.867 | 0.420 | ||||||
| No | 97 (88.99) | 1 | 76 (69.72) | 1 | 56 (51.38) | 1 | |||
| Yes | 37 (90.24) | 1.01 (0.90–1.14) | 28 (68.29) | 0.98 (0.77–1.25) | 24 (58.54) | 1.14 (0.83–1.56) | |||
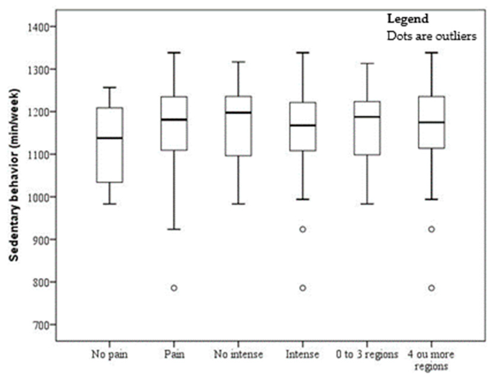
| Sedentary time (min/day) | 0.399 | 0.432 | 0.680 | ||||||
| <Median (1182.15) | 63 (88.73) | 0.95 (0.86–1.06) | 52 (73.24) | 1.09 (0.88–1.35) | 40 (56.34) | 1.06 (0.79–1.44) | |||
| ≥Median (1182.15) | 65 (92.86) | 1 | 47 (67.14) | 1 | 37 (52.86) | 1 | |||
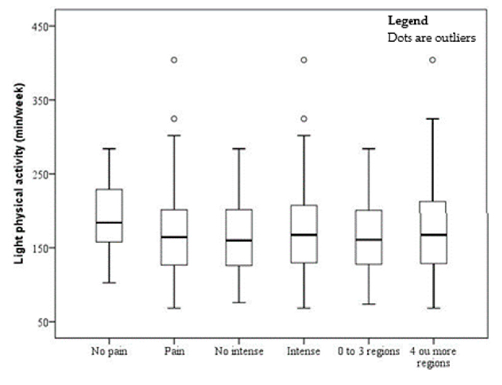
| LPA (min/day) | 0.752 | 0.498 | 0.551 | ||||||
| <Median (164.89) | 65 (91.55) | 1 | 48 (67.61) | 1 | 37 (52.11) | 1 | |||
| ≥Median (164.89) | 63 (90.00) | 0.98 (0.88–1.09) | 51 (72.86) | 1.08 (0.87–1.34) | 40 (57.14) | 1.10 (0.81–1.48) | |||
| MVPA (min/day) | 0.009 * | 0.432 | 0.680 | ||||||
| <Median (8.48) | 69 (97.18) | 1.15 (1.03–1.29) | 52 (73.24) | 1.09 (0.88–1.35) | 40 (56.34) | 1.06 (0.79–1.44) | |||
| ≥Median (8.48) | 59 (84.29) | 1 | 47 (67.14) | 1 | 37 (52.86) | 1 | |||
| Variable | Pain | Severe Pain | Four or More Painful Sites | ||||||
|---|---|---|---|---|---|---|---|---|---|
| Prevalence n (%) | PR (95% CI) | p | Prevalence n (%) | PR (95% CI) | p | Prevalence n (%) | PR (95% CI) | p | |
| Fall in the last 12 months | 0.354 * | 0.155 | 0.219 | ||||||
| No | 84 (86.60) | 1 | 64 (65.98) | 1 | 51 (52.58) | 1 | |||
| Yes | 34 (94.44) | 1.09 (0.97–1.22) | 28 (77.78) | 1.18 (0.94–1.48) | 23 (63.89) | 1.22 (0.89–1.66) | |||
| Fracture | 0.554 * | 0.028 | 0.249 | ||||||
| No | 83 (87.37) | 1 | 61 (64.21) | 1 | 50 (52.63) | 1 | |||
| Yes | 35 (92.11) | 1.05 (0.93–1.19) | 31 (81.58) | 1.27 (1.03–1.57) | 24 (63.16) | 1.2 (0.88–1.64) | |||
| Anxiety | 0.188 | 0.060 | 0.006 | ||||||
| No | 34 (82.93) | 1 | 23 (56.10) | 1 | 13 (31.71) | 1 | |||
| Yes | 100 (91.74) | 1.11 (0.95–1.29) | 81 (74.31) | 1.32 (0.99–1.78) | 67 (61.47) | 1.94 (1.21–3.12) | |||
| Depression | 0.279 | 0.080 | 0.002 | ||||||
| No | 47 (85.45) | 1 | 33 (60.00) | 1 | 19 (34.55) | 1 | |||
| Yes | 87 (91.58) | 1.07 (0.95–1.21) | 71 (74.74) | 1.25 (0.97–1.59) | 61 (64.21) | 1.86 (1.25–2.76) | |||
| Arthritis/arthrosis | 0.524 * | 0.002 * | 0.007 | ||||||
| No | 104 (88.14) | 1 | 75 (63.56) | 1 | 57 (48.31) | 1 | |||
| Yes | 30 (93.75) | 1.06 (0.95–1.19) | 29 (90.63) | 1.43 (1.19–1.70) | 23 (71.88) | 1.49 (1.12–1.98) | |||
| Type 2 diabetes | 0.828 | 0.610 | 0.501 | ||||||
| No | 80 (88.89) | 1 | 61 (67.78) | 1 | 46 (51.11) | 1 | |||
| Yes | 54 (90.00) | 1.01 (0.90–1.13) | 43 (71.67) | 1.06 (0.85–1.31) | 34 (56.67) | 1.11 (0.82–1.50) | |||
| Use of analgesics | 0.615 | 0.932 | 0.113 | ||||||
| No | 76 (90.48) | 1 | 58 (69.05) | 1 | 40 (47.62) | 1 | |||
| Yes | 58 (87.88) | 0.97 (0.87–1.09) | 46 (69.70) | 1.01 (0.81–1.25) | 40 (60.61) | 1.27 (0.94–1.71) | |||
| Use of anti-inflammatory agents | 0.362 * | 0.754 | 0.597 | ||||||
| No | 101 (87.83) | 1 | 79 (68.70) | 1 | 60 (52.17) | 1 | |||
| Yes | 33 (94.29) | 1.07 (0.97–1.19) | 25 (71.43) | 1.04 (0.81–1.33) | 20 (57.14) | 1.10 (0.78–1.53) | |||
| Use of statin | - | 0.724 * | 1.000* | ||||||
| No | 124 (88.57) | - | 96 (68.57) | 1 | 75 (53.57) | 1 | |||
| Yes | 10 (100.00) | - | 8 (80.00) | 1.17 (0.84–1.62) | 5 (50.00) | 0.93 (0.49–1.77) | |||
| Use of muscle relaxant | 0.016 * | 0.037 | 0.291 | ||||||
| No | 56 (82.35) | 1 | 41 (60.29) | 1 | 33 (48.53) | 1 | |||
| Yes | 78 (95.12) | 1.16 (1.02–1.30) | 63 (76.83) | 1.27 (1.02–1.60) | 47 (57.32) | 1.18 (0.87–1.61) | |||
| Uric acid (mg/dL) | 0.430 * | 0.640 | 0.344 | ||||||
| Normal | 118 (90.08) | 1.07 (0.87–1.31) | 90 (68.70) | 0.93 (0.69–1.25) | 72 (54.96) | 1.31 (0.75–2.27) | |||
| High | 16 (84.21) | 1 | 14 (73.68) | 1 | 8 (42.11) | 1 | |||
| C-reactive protein (mg/dL) | 0.418 | 0.963 | 0.885 | ||||||
| Nonreactive | 98 (90.74) | 1.06 (0.92–1.22) | 75 (69.44) | 1.01 (0.79–1.28) | 58 (53.70) | 1.03 (0.73–1.44) | |||
| Reactive | 36 (85.71) | 1 | 29 (69.05) | 1 | 22 (52.38) | 1 | |||
| Vitamin D (ng/mL) | 0.450 * | 0.467 | 0.594 | ||||||
| Deficiency | 28 (96.55) | 1 | 17 (58.62) | 1 | 14 (48.28) | 1 | |||
| Insufficiency | 45 (88.24) | 0.91 (0.81–1.03) | 37 (72.55) | 1.24 (0.87–1.76) | 30 (58.82) | 1.22 (0.78–1.90) | |||
| Sufficiency | 61 (87.14) | 0.90 (0.81–1.01) | 50 (71.43) | 1.22 (0.87–1.71) | 36 (51.43) | 1.07 (0.68–1.65) | |||
| Degree of obesity (kg/m2) | 0.668 * | 0.539 | 0.585 | ||||||
| 35–39.9 | 23 (92.00) | 1 | 15 (60.00) | 1 | 12 (48.00) | 1 | |||
| 40–49.9 | 76 (90.48) | 0.98 (0.86–1.13) | 61 (72.62) | 1.21 (0.85–1.71) | 48 (57.14) | 1.19 (0.76–1.87) | |||
| ≥50 | 35 (85.37) | 0.93 (0.78–1.10) | 28 (68.29) | 1.14 (0.77–1.67) | 20 (48.78) | 1.02 (0.61–1.70) | |||
| Variable | Pain | Severe Pain | Four or More Painful Sites | Variable | Pain | |
|---|---|---|---|---|---|---|
| PR (95% CI) | p | PR (95% CI) | p | PR (95% CI) | p | |
| First Level | ||||||
| Gender * | – | – | – | – | ||
| Male | 1 | – | – | |||
| Female | 1.21 (0.95–1.54) | 0.127 | – | – | ||
| Schooling (years) | – | – | – | – | ||
| ≤10 | – | 1.09 (0.87–1.36) | 0.478 | – | ||
| ≥11 | – | 1 | – | |||
| Economic class | – | – | ||||
| A–B | – | 1 | 1 | |||
| C | – | 1.15 (0.83–1.59) | 0.417 | 1.71 (1.05–2.81) | 0.033a | |
| D | – | 1.29 (0.89–1.88) | 0.176 | 2.15 (1.30–3.58) | 0.003a | |
| Second Level | ||||||
| Fruit Consumption (daily) | – | – | – | – | ||
| No | 1.13 (0.97–1.31) | 0.109 | – | – | ||
| Yes | 1 | – | – | |||
| MVPA (min/day) (median) | – | – | – | – | ||
| <Median (8.48) | 1.15 (1.03–1.28) | 0.010a | – | – | ||
| ≥Median (8.48) | 1 | – | – | |||
| Third Level | ||||||
| Fall in the last 12 months | – | – | – | – | ||
| No | – | 1 | – | |||
| Yes | – | 1.06 (0.84–1.33) | 0.621 | – | ||
| Fracture | – | – | – | – | ||
| No | – | 1 | – | |||
| Yes | – | 1.23 (0.99–1.54) | 0.068 | – | ||
| Anxiety | ||||||
| No | 1 | 1 | 1 | |||
| Yes | 1.07 (0.93–1.23) | 0.337 | 1.17 (0.84–1.62) | 0.358 | 1.45 (0.86–2.45) | 0.159 |
| Depression | – | – | ||||
| No | – | 1 | 1 | |||
| Yes | – | 1.03 (0.79–1.36) | 0.810 | 1.42 (0.94–2.15) | 0.096 | |
| Arthritis/arthrosis | – | – | ||||
| No | – | 1 | 1 | |||
| Yes | – | 1.31 (1.08–1.59) | 0.007a | 1.38 (1.04–1.82) | 0.025a | |
| Use of analgesics | – | – | – | – | ||
| No | – | – | 1 | |||
| Yes | – | – | 1.30 (0.99–1.71) | 0.059 | ||
| Use of muscle relaxant | – | – | ||||
| No | 1 | 1 | – | |||
| Yes | 1.07 (0.96–1.19) | 0.211 | 1.31 (1.03–1.66) | 0.026a | – |
© 2020 by the authors. Licensee MDPI, Basel, Switzerland. This article is an open access article distributed under the terms and conditions of the Creative Commons Attribution (CC BY) license (http://creativecommons.org/licenses/by/4.0/).
Share and Cite
Mendonça, C.R.; Noll, M.; Rodrigues, A.P.d.S.; Vitorino, P.V.d.O.; Mendes, M.d.A.; Silveira, E.A. Association of Pain, Severe Pain, and Multisite Pain with the Level of Physical Activity and Sedentary Behavior in Severely Obese Adults: Baseline Data from the DieTBra Trial. Int. J. Environ. Res. Public Health 2020, 17, 4478. https://doi.org/10.3390/ijerph17124478
Mendonça CR, Noll M, Rodrigues APdS, Vitorino PVdO, Mendes MdA, Silveira EA. Association of Pain, Severe Pain, and Multisite Pain with the Level of Physical Activity and Sedentary Behavior in Severely Obese Adults: Baseline Data from the DieTBra Trial. International Journal of Environmental Research and Public Health. 2020; 17(12):4478. https://doi.org/10.3390/ijerph17124478
Chicago/Turabian StyleMendonça, Carolina Rodrigues, Matias Noll, Ana Paula dos Santos Rodrigues, Priscila Valverde de Oliveira Vitorino, Márcio de Almeida Mendes, and Erika Aparecida Silveira. 2020. "Association of Pain, Severe Pain, and Multisite Pain with the Level of Physical Activity and Sedentary Behavior in Severely Obese Adults: Baseline Data from the DieTBra Trial" International Journal of Environmental Research and Public Health 17, no. 12: 4478. https://doi.org/10.3390/ijerph17124478
APA StyleMendonça, C. R., Noll, M., Rodrigues, A. P. d. S., Vitorino, P. V. d. O., Mendes, M. d. A., & Silveira, E. A. (2020). Association of Pain, Severe Pain, and Multisite Pain with the Level of Physical Activity and Sedentary Behavior in Severely Obese Adults: Baseline Data from the DieTBra Trial. International Journal of Environmental Research and Public Health, 17(12), 4478. https://doi.org/10.3390/ijerph17124478

