Influence of Mining and Vegetation Restoration on Soil Properties in the Eastern Margin of the Qinghai-Tibet Plateau
Abstract
1. Introduction
2. Materials and Methods
2.1. Study Sites
2.2. Soil Sample Collection
2.3. Soil Chemical Analyses
2.4. Soil Enzyme Activity Analysis
2.5. Statistical Analysis
3. Results
3.1. Soil Properties
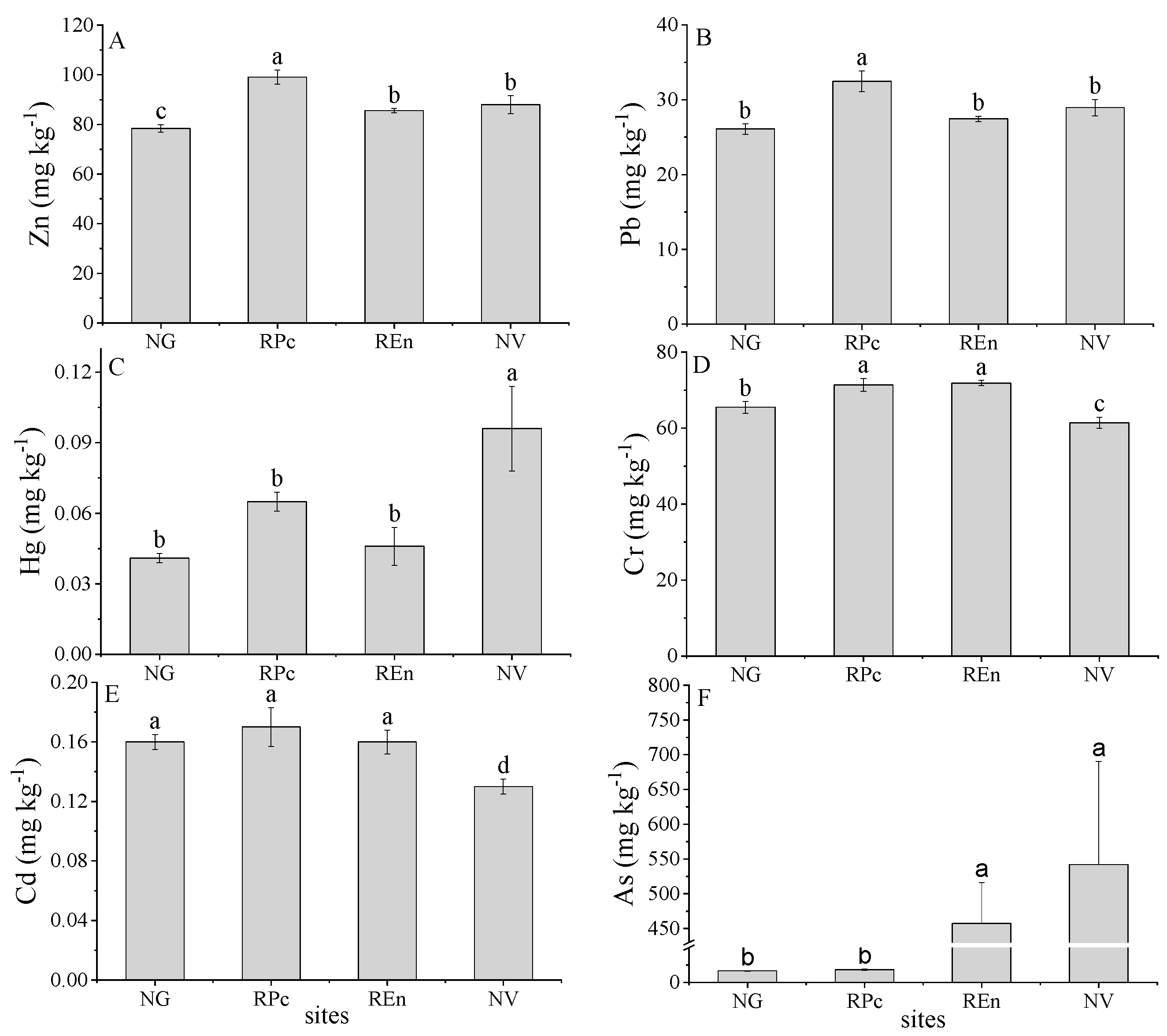
3.2. Cotent of Trace Metals and CN in Soils
3.3. Soil Enzyme Activities
3.4. Relationships between Soil Properties, Trace Metals and Enzyme Activities
4. Discussion
5. Conclusions
Author Contributions
Funding
Acknowledgments
Conflicts of Interest
References
- Qian, D.; Yan, C.; Xing, Z.; Xiu, L. Monitoring coal mine changes and their impact on landscape patterns in an alpine region: A case study of the Muli coal mine in the Qinghai-Tibet Plateau. Environ. Monit. Assess. 2017, 189. [Google Scholar] [CrossRef] [PubMed]
- Gabarron, M.; Faz, A.; Martinez-Martinez, S.; Acosta, J.A. Change in metals and arsenic distribution in soil and their bioavailability beside old tailing ponds. J. Environ. Manag. 2018, 212, 292–300. [Google Scholar] [CrossRef] [PubMed]
- Luna, L.; Vignozzi, N.; Miralles, I.; Sole-Benet, A. Organic amendments and mulches modify soil porosity and infiltration in semiarid mine soils. Land Degrad. Dev. 2018, 29, 1019–1030. [Google Scholar] [CrossRef]
- Karaca, O.; Cameselle, C.; Reddy, K.R. Mine tailing disposal sites: Contamination problems, remedial options and phytocaps for sustainable remediation. Rev. Environ. Sci. Biol. Technol. 2018, 17, 205–228. [Google Scholar] [CrossRef]
- Hou, X.-Y.; Liu, S.-L.; Cheng, F.-Y.; Zhang, Y.-Q.; Dong, S.-K.; Su, X.-K.; Liu, G.-H. Vegetation community composition along disturbance gradients of four typical open-pit mines in Yunnan Province of southwest China. Land Degrad. Dev. 2019, 30, 437–447. [Google Scholar] [CrossRef]
- Huang, L.; Zhang, P.; Hu, Y.; Zhao, Y. Vegetation and soil restoration in refuse dumps from open pit coal mines. Ecol. Eng. 2016, 94, 638–646. [Google Scholar]
- Shrestha, R.K.; Lal, R. Changes in physical and chemical properties of soil after surface mining and reclamation. Geoderma 2011, 161, 168–176. [Google Scholar] [CrossRef]
- Shrestha, P.; Gautam, R.; Ashwath, N. Effects of agronomic treatments on functional diversity of soil microbial community and microbial activity in a revegetated coal mine spoil. Geoderma 2019, 338, 40–47. [Google Scholar] [CrossRef]
- Kumar, S.; Maiti, S.K.; Chaudhuri, S. Soil development in 2–21 years old coalmine reclaimed spoil with trees: A case study from Sonepur-Bazari opencast project, Raniganj Coalfield, India. Ecol. Eng. 2015, 84, 311–324. [Google Scholar] [CrossRef]
- Madrid, L. Heavy metals: Reminding a long-standing and sometimes forgotten controversy. Geoderma 2010, 155, 128–129. [Google Scholar] [CrossRef]
- Agnan, Y.; Courault, R.; Alexis, M.A.; Zanardo, T.; Cohen, M.; Sauvage, M.; Castrec-Rouelle, M. Distribution of trace and major elements in subarctic ecosystem soils: Sources and influence of vegetation. Sci. Total Environ. 2019, 682, 650–662. [Google Scholar] [CrossRef] [PubMed]
- Tabelin, C.B.; Igarashi, T.; Villacorte-Tabelin, M.; Park, I.; Opiso, E.M.; Ito, M.; Hiroyoshi, N. Arsenic, selenium, boron, lead, cadmium, copper, and zinc in naturally contaminated rocks: A review of their sources, modes of enrichment, mechanisms of release, and mitigation strategies. Sci. Total Environ. 2018, 645, 1522–1553. [Google Scholar] [CrossRef] [PubMed]
- Soltani, N.; Keshavarzi, B.; Moore, F.; Sorooshian, A.; Ahmadi, M.R. Distribution of potentially toxic elements (PTEs) in tailings, soils, and plants around Gol-E-Gohar iron mine, a case study in Iran. Environ. Sci. Pollut. Res. 2017, 24, 18798–18816. [Google Scholar] [CrossRef] [PubMed]
- Pajak, M.; Blonska, E.; Szostak, M.; Gasiorek, M.; Pietrzykowski, M.; Urban, O.; Derbis, P. Restoration of Vegetation in Relation to Soil Properties of Spoil Heap Heavily Contaminated with Heavy Metals. Water Air Soil Pollut. 2018, 229. [Google Scholar] [CrossRef]
- Gu, J.-D. Mining, pollution and site remediation. Int. Biodeterior. Biodegrad. 2018, 128, 1–2. [Google Scholar] [CrossRef]
- Lei, K.; Pan, H.; Lin, C. A landscape approach towards ecological restoration and sustainable development of mining areas. Ecol. Eng. 2016, 90, 320–325. [Google Scholar] [CrossRef]
- Barbieri, M.; Sappa, G.; Nigro, A. Soil pollution: Anthropogenic versus geogenic contributions over large areas of the Lazio region. J. Geochem. Explor. 2018, 195, 78–86. [Google Scholar] [CrossRef]
- Xu, H.; Liu, G.; Wu, X.; Smoak, J.M.; Mu, C.; Ma, X.; Zhang, X.; Li, H.; Hu, G. Soil enzyme response to permafrost collapse in the Northern Qinghai-Tibetan Plateau. Ecol. Indic. 2018, 85, 585–593. [Google Scholar] [CrossRef]
- Narendrula-Kotha, R.; Nkongolo, K.K. Changes in enzymatic activities in metal contaminated and reclaimed lands in Northern Ontario (Canada). Ecotoxicol. Environ. Saf. 2017, 140, 241–248. [Google Scholar] [CrossRef]
- Wu, X.D.; Zhao, L.; Fang, H.B.; Chen, J.; Pang, Q.Q.; Wang, Z.W.; Chen, M.J.; Ding, Y.J. Soil Enzyme Activities in Permafrost Regions of the Western Qinghai-Tibetan Plateau. Soil Sci. Soc. Am. J. 2012, 76, 1280–1289. [Google Scholar] [CrossRef]
- Wahsha, M.; Nadimi-Goki, M.; Fornasier, F.; Al-Jawasreh, R.; Hussein, E.I.; Bini, C. Microbial enzymes as an early warning management tool for monitoring mining site soils. Catena 2017, 148, 40–45. [Google Scholar] [CrossRef]
- Kuscu, I.S.K. Changing of soil properties and urease-catalase enzyme activity depending on plant type and shading. Environ. Monit. Assess. 2019, 191. [Google Scholar] [CrossRef] [PubMed]
- Tian, L.; Zhao, L.; Wu, X.; Fang, H.; Zhao, Y.; Yue, G.; Liu, G.; Chen, H. Vertical patterns and controls of soil nutrients in alpine grassland: Implications for nutrient uptake. Sci. Total Environ. 2017, 607, 855–864. [Google Scholar] [CrossRef] [PubMed]
- Du, Z.-Y.; Wang, Q.-F. Allopatric divergence of Stuckenia filiformis (Potamogetonaceae) on the Qinghai-Tibet Plateau and its comparative phylogeography with S-pectinata in China. Sci. Rep. 2016, 6. [Google Scholar] [CrossRef] [PubMed]
- Shenxiu, J. Pastures and Forages Flora of China; China Agricultural Press: Bejing, China, 1987; pp. 550–551. [Google Scholar]
- Xincong, L. Picea Crassifolia Kom; Lanzhou University Press: Lanzhou, China, 1992; pp. 414–415. [Google Scholar]
- Chunjiang, Z. Research on Information Standard for Digital Agriculture; China Agricultural Press: Bejing, China, 2004; pp. 617–660. [Google Scholar]
- Hu, Y.-L.; Mgelwa, A.S.; Singh, A.N.; Zeng, D.-H. Differential responses of the soil nutrient status, biomass production, and nutrient uptake for three plant species to organic amendments of placer gold mine-tailing soils. Land Degrad. Dev. 2018, 29, 2836–2845. [Google Scholar] [CrossRef]
- Liu, Y.-R.; He, Z.-Y.; Yang, Z.-M.; Sun, G.-X.; He, J.-Z. Variability of heavy metal content in soils of typical Tibetan grasslands. RSC Adv. 2016, 6, 105398–105405. [Google Scholar] [CrossRef]
- Li, X.; Yang, H.; Zhang, C.; Zeng, G.; Liu, Y.; Xu, W.; Wu, Y.; Lan, S. Spatial distribution and transport characteristics of heavy metals around an antimony mine area in central China. Chemosphere 2017, 170, 17–24. [Google Scholar] [CrossRef] [PubMed]
- Beattie, R.E.; Henke, W.; Davis, C.; Mottaleb, M.A.; Campbell, J.H.; McAliley, L.R. Quantitative analysis of the extent of heavy-metal contamination in soils near Picher, Oklahoma, within the Tar Creek Superfund Site. Chemosphere 2017, 172, 89–95. [Google Scholar] [CrossRef]
- SongYin, G. Study Way of Soil Enzymes; China Agricultural Press: Bejing, China, 1986; pp. 376–411. [Google Scholar]
- Wang, R.; Lu, L.; Creamer, C.A.; Dijkstra, F.A.; Liu, H.; Feng, X.; Yu, G.; Han, X.; Jiang, Y. Alteration of soil carbon and nitrogen pools and enzyme activities as affected by increased soil coarseness. Biogeosciences 2017, 14, 2155–2166. [Google Scholar] [CrossRef]
- Wang, R.; Dorodnikov, M.; Yang, S.; Zhang, Y.; Filley, T.R.; Turco, R.F.; Zhang, Y.; Xu, Z.; Li, H.; Jiang, Y. Responses of enzymatic activities within soil aggregates to 9-year nitrogen and water addition in a semi-arid grassland. Soil Biol. Biochem. 2015, 81, 159–167. [Google Scholar] [CrossRef]
- Wu, J.; Lu, J.; Li, L.; Min, X.; Luo, Y. Pollution, ecological-health risks, and sources of heavy metals in soil of the northeastern Qinghai-Tibet Plateau. Chemosphere 2018, 201, 234–242. [Google Scholar] [CrossRef] [PubMed]
- Bu, J.; Sun, Z.; Zhou, A.; Xu, Y.; Ma, R.; Wei, W.; Liu, M. Heavy Metals in Surface Soils in the Upper Reaches of the Heihe River, Northeastern Tibetan Plateau, China. Int. J. Environ. Res. Public Health 2016, 13, 247. [Google Scholar] [CrossRef] [PubMed]
- Feng, Y.; Wang, J.; Bai, Z.; Reading, L. Effects of surface coal mining and land reclamation on soil properties: A review. Earth Sci. Rev. 2019, 191, 12–25. [Google Scholar] [CrossRef]
- Yuan, Y.; Zhao, Z.; Niu, S.; Li, X.; Wang, Y.; Bai, Z. Reclamation promotes the succession of the soil and vegetation in opencast coal mine: A case study from Robinia pseudoacacia reclaimed forests, Pingshuo mine, China. Catena 2018, 165, 72–79. [Google Scholar] [CrossRef]
- Guo, A.; Zhao, Z.; Zhang, P.; Yang, Q.; Li, Y.; Wang, G. Linkage between soil nutrient and microbial characteristic in an opencast mine, China. Sci. Total Environ. 2019, 671, 905–913. [Google Scholar] [CrossRef] [PubMed]
- Xu, S.; Li, P.; Sayer, E.J.; Zhang, B.; Wang, J.; Qiao, C.; Peng, Z.; Diao, L.; Chi, Y.; Liu, W.; et al. Initial Soil Organic Matter Content Influences the Storage and Turnover of Litter, Root and Soil Carbon in Grasslands. Ecosystems 2018, 21, 1377–1389. [Google Scholar] [CrossRef]
- Wang, D.; Zhang, B.; Zhu, L.; Yang, Y.; Li, M. Soil and vegetation development along a 10-year restoration chronosequence in tailing dams in the Xiaoqinling gold region of Central China. Catena 2018, 167, 250–256. [Google Scholar] [CrossRef]
- Kim, S.; Zang, H.; Mortimer, P.; Shi, L.; Li, Y.; Xu, J.; Ostermann, A. Tree species and recovery time drives soil restoration after mining: A chronosequence study. Land Degrad. Dev. 2018, 29, 1738–1747. [Google Scholar] [CrossRef]
- Cizkova, B.; Wos, B.; Pietrzykowski, M.; Frouz, J. Development of soil chemical and microbial properties in reclaimed and unreclaimed grasslands in heaps after opencast lignite mining. Ecol. Eng. 2018, 123, 103–111. [Google Scholar] [CrossRef]
- Hogberg, J.I.; Pinno, B.D.; MacKenzie, M.D. Evaluating foliar nutrient concentration as an indicator of soil nutrients in reclaimed and natural forests in Alberta, Canada. Int. J. Min. Reclam. Environ. 2020, 34, 75–87. [Google Scholar] [CrossRef]
- Liu, Y.; Lei, S.; Gong, C. Comparison of plant and microbial communities between an artificial restoration and a natural restoration topsoil in coal mining subsidence area. Environ. Earth Sci. 2019, 78. [Google Scholar] [CrossRef]
- Hedenec, P.; Vinduskova, O.; Kukla, J.; Snajdr, J.; Baldrian, P.; Frouz, J. Enzyme activity of topsoil layer on reclaimed and unreclaimed post-mining sites. Biol. Commun. 2017, 62, 19–25. [Google Scholar] [CrossRef]
- Pedro Martin-Sanz, J.; Valverde-Asenjo, I.; de Santiago-Martin, A.; Ramon Quintana-Nieto, J.; Gonzalez-Huecas, C.; Lopez-Lafuente, A.L.; Dieguez-Anton, A. Enzyme activity indicates soil functionality affectation with low levels of trace elements. Environ. Pollut. 2018, 243, 1861–1866. [Google Scholar] [CrossRef] [PubMed]
- Hinojosa, M.B.; Carreiraa, J.A.; Rodriguez-Maroto, J.M.; Garcia-Ruiz, R. Effects of pyrite sludge pollution on soil enzyme activities: Ecological dose-response model. Sci. Total Environ. 2008, 396, 89–99. [Google Scholar] [CrossRef]
- Madejon, P.; Dominguez, M.T.; Madejon, E.; Cabrera, F.; Maranon, T.; Murillo, J.M. Soil-plant relationships and contamination by trace elements: A review of twenty years of experimentation and monitoring after the Aznalcollar (SW Spain) mine accident. Sci. Total Environ. 2018, 625, 50–63. [Google Scholar] [CrossRef]
- Zeng, P.; Guo, Z.; Xiao, X.; Peng, C. Dynamic response of enzymatic activity and microbial community structure in metal(loid)-contaminated soil with tree-herb intercropping. Geoderma 2019, 345, 5–16. [Google Scholar] [CrossRef]
- CNEMC. Background Values of Elements in Soils of China; China Environmental Science Press: Beijing, China, 1990. [Google Scholar]
- Sun, W.; Ji, B.; Khoso, S.A.; Tang, H.; Liu, R.; Wang, L.; Hu, Y. An extensive review on restoration technologies for mining tailings. Environ. Sci. Pollut. Res. 2018, 25, 33911–33925. [Google Scholar] [CrossRef]
- Sappa, G.; Barbieri, M.; Andrei, F.; Ferranti, F. Assessment of arsenic mobility in a shallow aquifer from Bevera Valley Basin (Northern Italy). Arab. J. Geosci. 2019, 12. [Google Scholar] [CrossRef]
- Wei, W.; Ma, R.; Sun, Z.; Zhou, A.; Bu, J.; Long, X.; Liu, Y. Effects of Mining Activities on the Release of Heavy Metals (HMs) in a Typical Mountain Headwater Region, the Qinghai-Tibet Plateau in China. Int. J. Environ. Res. Public Health 2018, 15, 1987. [Google Scholar] [CrossRef]




| NG | REn | RPc | NV | |
|---|---|---|---|---|
| pH | 7.36 ± 0.10 a | 8.26 ± 0.03 a | 8.58 ± 0.02 a | 8.61 ± 0.06 a |
| EC (mS m−1) | 234.55 ± 10.20 a,b | 170.90 ± 4.63 b | 208.60 ± 9.31 a,b | 260.47 ± 26.43 a |
| SOM (g kg−1) | 94.46 ± 7.59 a | 32.97 ± 3.02 b | 16.85 ± 1.89 c | 18.99 ± 3.80 c |
| N (g kg−1) | 3.38 ± 0.21 a | 1.47 ± 0.12 b | 1.10 ± 0.06 b,c | 0.99 ± 0.14 c |
| P (mg kg−1) | 850.1 ± 61.2 b | 1031.6 ± 38.6 a | 811.7 ± 9.2 b | 800.6 ± 101.0 b |
| K (g kg−1) | 20.29 ± 0.35 b | 22.65 ± 0.17 a | 22.04 ± 0.41 a | 19.68 ± 0.35 b |
| S (%) | 0.057 ± 0.005 b | 0.023 ± 0.002 b | 0.018 ± 0.001 b | 0.167 ± 0.037 a |
| AN (mg kg−1) | 283.85 ± 34.84 a | 115.55 ± 10.33 b | 106.51 ± 15.38 b | 78.61 ± 20.35 b |
| AP (mg kg−1) | 464.8 ± 34.76 a | 304.2 ± 30.43 b | 266.1 ± 12.64 b | 324.3 ± 38.52 b |
| AK (mg kg−1) | 28.85 ± 1.82 a | 26.51 ± 3.14 a | 6.65 ± 0.49 b | 7.31 ± 1.40 b |
| CN (mg kg−1) | 0.088 ± 0.005 a | 0.050 ± 0.029 b | 0.027 ± 0.003 c | 0.056 ± 0.008 b |
© 2020 by the authors. Licensee MDPI, Basel, Switzerland. This article is an open access article distributed under the terms and conditions of the Creative Commons Attribution (CC BY) license (http://creativecommons.org/licenses/by/4.0/).
Share and Cite
Hu, Y.; Yu, Z.; Fang, X.; Zhang, W.; Liu, J.; Zhao, F. Influence of Mining and Vegetation Restoration on Soil Properties in the Eastern Margin of the Qinghai-Tibet Plateau. Int. J. Environ. Res. Public Health 2020, 17, 4288. https://doi.org/10.3390/ijerph17124288
Hu Y, Yu Z, Fang X, Zhang W, Liu J, Zhao F. Influence of Mining and Vegetation Restoration on Soil Properties in the Eastern Margin of the Qinghai-Tibet Plateau. International Journal of Environmental Research and Public Health. 2020; 17(12):4288. https://doi.org/10.3390/ijerph17124288
Chicago/Turabian StyleHu, Yunlong, Zhifeng Yu, Xiangling Fang, Weixiong Zhang, Jinrong Liu, and Feng Zhao. 2020. "Influence of Mining and Vegetation Restoration on Soil Properties in the Eastern Margin of the Qinghai-Tibet Plateau" International Journal of Environmental Research and Public Health 17, no. 12: 4288. https://doi.org/10.3390/ijerph17124288
APA StyleHu, Y., Yu, Z., Fang, X., Zhang, W., Liu, J., & Zhao, F. (2020). Influence of Mining and Vegetation Restoration on Soil Properties in the Eastern Margin of the Qinghai-Tibet Plateau. International Journal of Environmental Research and Public Health, 17(12), 4288. https://doi.org/10.3390/ijerph17124288
