Application of Wastewater Reuse with Photocatalyst Prepared by Sol-Gel Method and Its Kinetics on the Decomposition of Low Molecular Weight Pollutants
Abstract
1. Introduction
2. Materials and Methods
2.1. Preparation and Characterization of Photocatalytic Media
2.2. Evaluation of Removal Efficiencies of Target Compounds
3. Results and Discussion
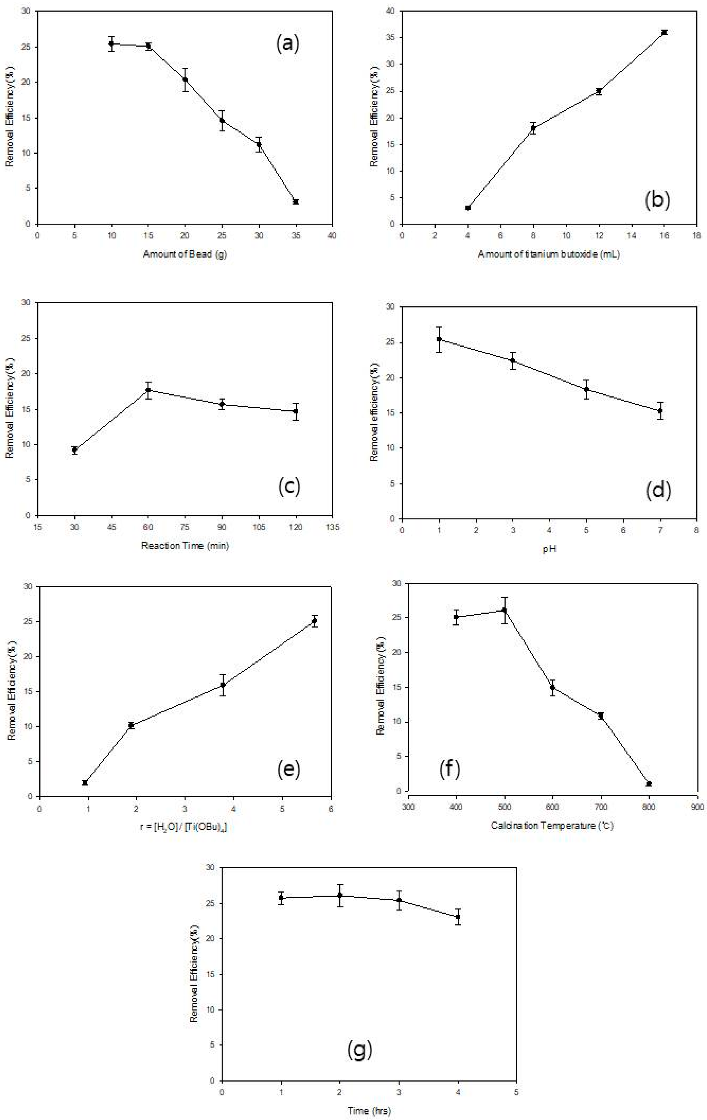
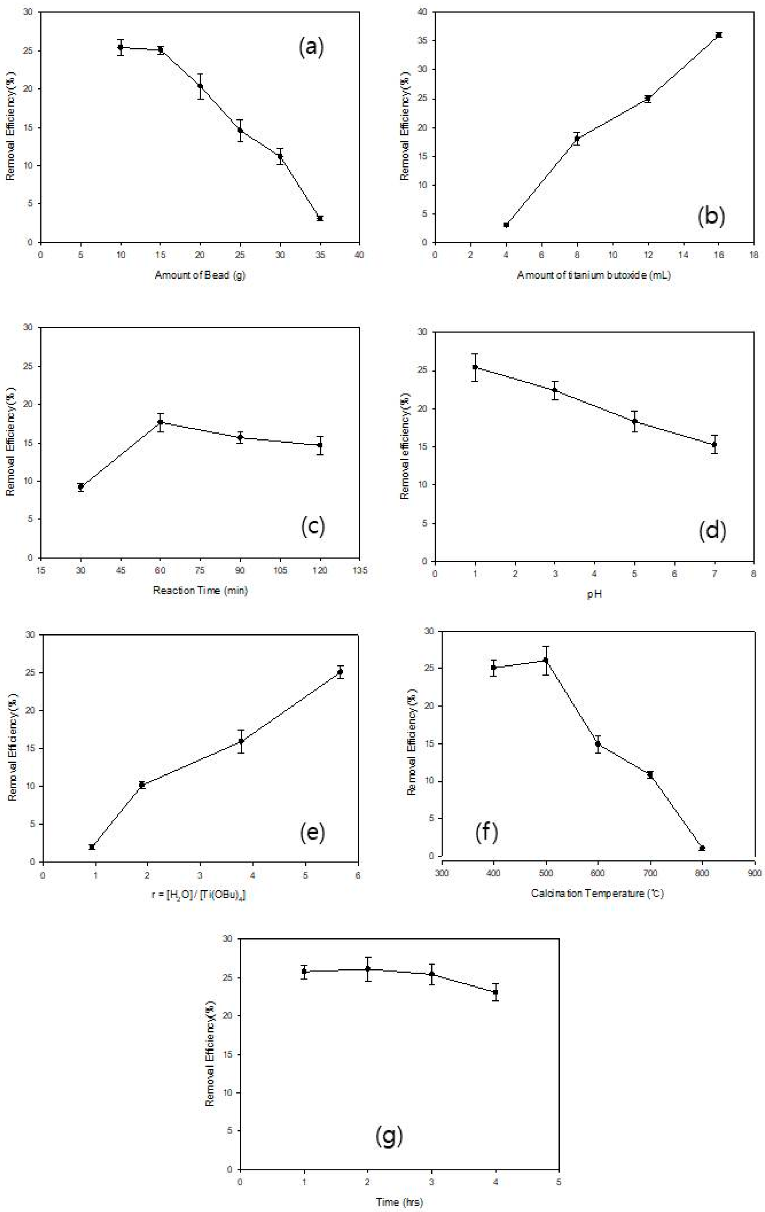
3.1. Preparation and Characterization of Photocatalysts
3.2. UV/Photocatalytic Removal and Reaction Kinetics
4. Conclusions
Author Contributions
Funding
Conflicts of Interest
References
- Korean Ministry of Environment (KME). Industrial Waste Water Generation and Treatment; Korean Ministry of Environment: Sejong City, Korea, 2017.
- Reinhardt, K.; Kern, W. Handbook of Silicon Wafer Cleaning Technology, 2nd ed.; Elsevier Science: Amsterdam, The Netherlands, 2008. [Google Scholar]
- Choi, J.; Chung, J. Evaluation of potential for reuse of industrial wastewater using metal-immobilized catalysts and reverse osmosis. Chemosphere 2015, 125, 139–146. [Google Scholar] [CrossRef] [PubMed]
- Choi, J.; Kim, J.; Chung, J. Removal of isopropyl alcohol and methanol in ultrapure water production system using a 185 nm ultraviolet and ion exchange system. Chemosphere 2016, 156, 341–346. [Google Scholar] [CrossRef] [PubMed]
- Andreozzi, R.; Caprio, V.; Insola, A.; Marotta, R. Advanced oxidation processes (AOP) for water purification and recovery. Catal. Today 1999, 53, 51–59. [Google Scholar] [CrossRef]
- Osterloh, F.E. Inorganic materials as catalysts for photochemical splitting of water. Chem. Mater. 2008, 20, 35–54. [Google Scholar] [CrossRef]
- Matthews, R.W. Photooxidative degradation of coloured organics in water using supported catalysts. TiO2 on sand. Water Res. 1991, 25, 1169–1176. [Google Scholar] [CrossRef]
- Bideau, M.; Claudel, B.; Dubien, C.; Faure, L.; Kazouan, H. On the “immobilization” of titanium dioxide in the photocatalytic oxidation of spent waters. J. Photochem. Photobiol. 1995, 91, 137–144. [Google Scholar] [CrossRef]
- Kumar, K.N.P.; Keizer, K.; Burggraaf, A. Densification of nanostructured titania assisted by a phase transformation. Nature 1992, 358, 48–51. [Google Scholar] [CrossRef]
- Bessekhouad, Y.; Robert, D.; Weber, J.V. Preparation of TiO2 nanoparticles by Sol-Gel route. Int. J. Photoenergy 2003, 5, 153–158. [Google Scholar] [CrossRef]
- Mashshid, S.; Askari, M.; Ghamsari, M.S. Synthesis of TiO2 nanoparticles by hydrolysis and peptization of titanium isopropoxide solution. J. Mater. Process. Technol. 2007, 189, 296–300. [Google Scholar] [CrossRef]
- Fajriati, I.; Mudasir, M.; Wahyuni, E.T. The effect of pH and aging time on the synthesis of TiO2—Chitosan nanocomposites as photocatalyst by sol-gel method at room temperature. Molekul 2017, 12, 117–125. [Google Scholar] [CrossRef]
- Chung, S.; Chung, J.; Lee, Y. Use of TiO2 Media by Sputtering and Peroxy Gel Method for Wastewater Reuse in the Electronics Industry. Sci. Adv. Mat. 2019, 11, 1547–1555. [Google Scholar] [CrossRef]
- Marchisio, D.L.; Omegna, F.; Barresi, A.A.; Bowen, P. Effect of mixing and other operating parameters in sol-gel processes. Ind. Eng. Chem. Res. 2008, 47, 7202–7210. [Google Scholar] [CrossRef][Green Version]
- Ding, X.; Qi, Z.; He, Y. Effect of hydrolysis water on the preparation of nano-crystalline titania powders via a sol–gel process. J. Mater. Sci. Lett. 1995, 14, 21–22. [Google Scholar] [CrossRef]
- Cassaignon, S.; Koelsch, M.; Jolivet, J.P. From TiCl3 to TiO2 nanoparticles (anatase, brookite and rutile): Thermohydrolysis and oxidation in aqueous medium. Phys. Chem. Solids 2007, 68, 695–700. [Google Scholar] [CrossRef]
- Tsega, M.; Dejene, F.B. Influence of acidic pH on the formulation of TiO2 nanocrystalline powders with enhanced photoluminescence property. Heliyon 2017, 3, e00246. [Google Scholar] [CrossRef] [PubMed]
- Addamo, M.; Augugliaro, V.; Coluccia, S.; Faga, M.G.; García-López, E.; Loddo, V.; Marcì, G.; Martra, G.; Palmisano, L. Photocatalytic oxidation of acetonitrile in gas–solid and liquid–solid regimes. J. Catal. 2005, 235, 209–220. [Google Scholar] [CrossRef]
- Arsac, F.; Bianchi, D.; Chovelon, J.M.; Ferronato, C.; Herrmann, J.M. Experimental microkinetic approach of the photocatalytic oxidation of isopropyl alcohol on TiO2. Part 1. surface elementary steps involving gaseous and adsorbed C3HxO species. J. Phys. Chem. A 2006, 110, 4202–4212. [Google Scholar] [CrossRef] [PubMed]
- Muggli, D.S.; McCue, J.T.; Falconer, J.L. Mechanism of the photocatalytic oxidation of ethanol on TiO2. J. Catal. 1998, 173, 470–483. [Google Scholar] [CrossRef]
- Ye, X.; Chen, D.; Gossage, J.; Li, K. Photocatalytic oxidation of aldehydes: Byproduct identification and reaction pathway. J. Photochem. Photobiol. 2006, 183, 35–40. [Google Scholar] [CrossRef]








| No. of Trials | Reaction | Calcination | |||||
|---|---|---|---|---|---|---|---|
| Amount of Water (mL) | Amount of Precursor (mL) | Aging Time (min) | Reaction pH | Amount of Beads (g) | Calcination Temperature (°C) | Calcination Time (h) | |
| 1 | 0.6 | 12 | 60 | 1 | 20 | 500 | 2 |
| 2 | 1.2 | 12 | 60 | 1 | 20 | 500 | 2 |
| 3 | 2.4 | 12 | 60 | 1 | 20 | 500 | 2 |
| 4 | 3.6 | 12 | 60 | 1 | 20 | 500 | 2 |
| 5 | 2.4 | 4 | 60 | 1 | 20 | 500 | 2 |
| 6 | 2.4 | 8 | 60 | 1 | 20 | 500 | 2 |
| 7 | 2.4 | 16 | 60 | 1 | 20 | 500 | 2 |
| 8 | 2.4 | 12 | 30 | 1 | 20 | 500 | 2 |
| 9 | 2.4 | 12 | 90 | 1 | 20 | 500 | 2 |
| 10 | 2.4 | 12 | 120 | 1 | 20 | 500 | 2 |
| 11 | 2.4 | 12 | 60 | 3 | 20 | 500 | 2 |
| 12 | 2.4 | 12 | 60 | 5 | 20 | 500 | 2 |
| 13 | 2.4 | 12 | 60 | 7 | 20 | 500 | 2 |
| 14 | 2.4 | 12 | 60 | 1 | 10 | 500 | 2 |
| 15 | 2.4 | 12 | 60 | 1 | 15 | 500 | 2 |
| 16 | 2.4 | 12 | 60 | 1 | 25 | 500 | 2 |
| 17 | 2.4 | 12 | 60 | 1 | 30 | 500 | 2 |
| 18 | 2.4 | 12 | 60 | 1 | 35 | 500 | 2 |
| 19 | 2.4 | 12 | 60 | 1 | 15 | 400 | 2 |
| 20 | 2.4 | 12 | 60 | 1 | 15 | 600 | 2 |
| 21 | 2.4 | 12 | 60 | 1 | 15 | 700 | 2 |
| 22 | 2.4 | 12 | 60 | 1 | 15 | 800 | 2 |
| 23 | 2.4 | 12 | 60 | 1 | 15 | 500 | 1 |
| 24 | 2.4 | 12 | 60 | 1 | 15 | 500 | 3 |
| 25 | 2.4 | 12 | 60 | 1 | 15 | 500 | 4 |
| Reaction Constants | UV | UV + Photocatalytic Media | ||
|---|---|---|---|---|
| ka | 0.0092 | (R2 = 0.99) | 0.0303 | (R2 = 0.99) |
| kb,ap, | 0.0097 | (R2 = 0.96) | 0.0106 | (R2 = 0.91) |
| kb,co | 0.0200 | (R2 = 0.99) | 0.0200 | (R2 = 0.96) |
| kc | 0.0093 | (R2 = 0.99) | 0.0387 | (R2 = 0.99) |
| kd,ap | 0.0145 | (R2 = 0.97) | 0.0386 | (R2 = 0.97) |
| kd,co | 0.0500 | (R2 = 0.99) | 0.0950 | (R2 = 0.98) |
© 2020 by the authors. Licensee MDPI, Basel, Switzerland. This article is an open access article distributed under the terms and conditions of the Creative Commons Attribution (CC BY) license (http://creativecommons.org/licenses/by/4.0/).
Share and Cite
Chung, J.; Chung, S.; Lee, G.; Lee, Y.-W. Application of Wastewater Reuse with Photocatalyst Prepared by Sol-Gel Method and Its Kinetics on the Decomposition of Low Molecular Weight Pollutants. Int. J. Environ. Res. Public Health 2020, 17, 4203. https://doi.org/10.3390/ijerph17124203
Chung J, Chung S, Lee G, Lee Y-W. Application of Wastewater Reuse with Photocatalyst Prepared by Sol-Gel Method and Its Kinetics on the Decomposition of Low Molecular Weight Pollutants. International Journal of Environmental Research and Public Health. 2020; 17(12):4203. https://doi.org/10.3390/ijerph17124203
Chicago/Turabian StyleChung, Jinwook, Seungjoon Chung, Gyuyoung Lee, and Yong-Woo Lee. 2020. "Application of Wastewater Reuse with Photocatalyst Prepared by Sol-Gel Method and Its Kinetics on the Decomposition of Low Molecular Weight Pollutants" International Journal of Environmental Research and Public Health 17, no. 12: 4203. https://doi.org/10.3390/ijerph17124203
APA StyleChung, J., Chung, S., Lee, G., & Lee, Y.-W. (2020). Application of Wastewater Reuse with Photocatalyst Prepared by Sol-Gel Method and Its Kinetics on the Decomposition of Low Molecular Weight Pollutants. International Journal of Environmental Research and Public Health, 17(12), 4203. https://doi.org/10.3390/ijerph17124203

