The Effect of Domain-Specific Sitting Time and Exercise Habits on Metabolic Syndrome in Japanese Workers: A Cross-Sectional Study
Abstract
1. Background
2. Methods
2.1. Participants and Procedures
2.2. Background Characteristics
2.3. Assessment of Sitting Time
2.4. Metabolic Syndrome Components
2.5. Statistical Analyses
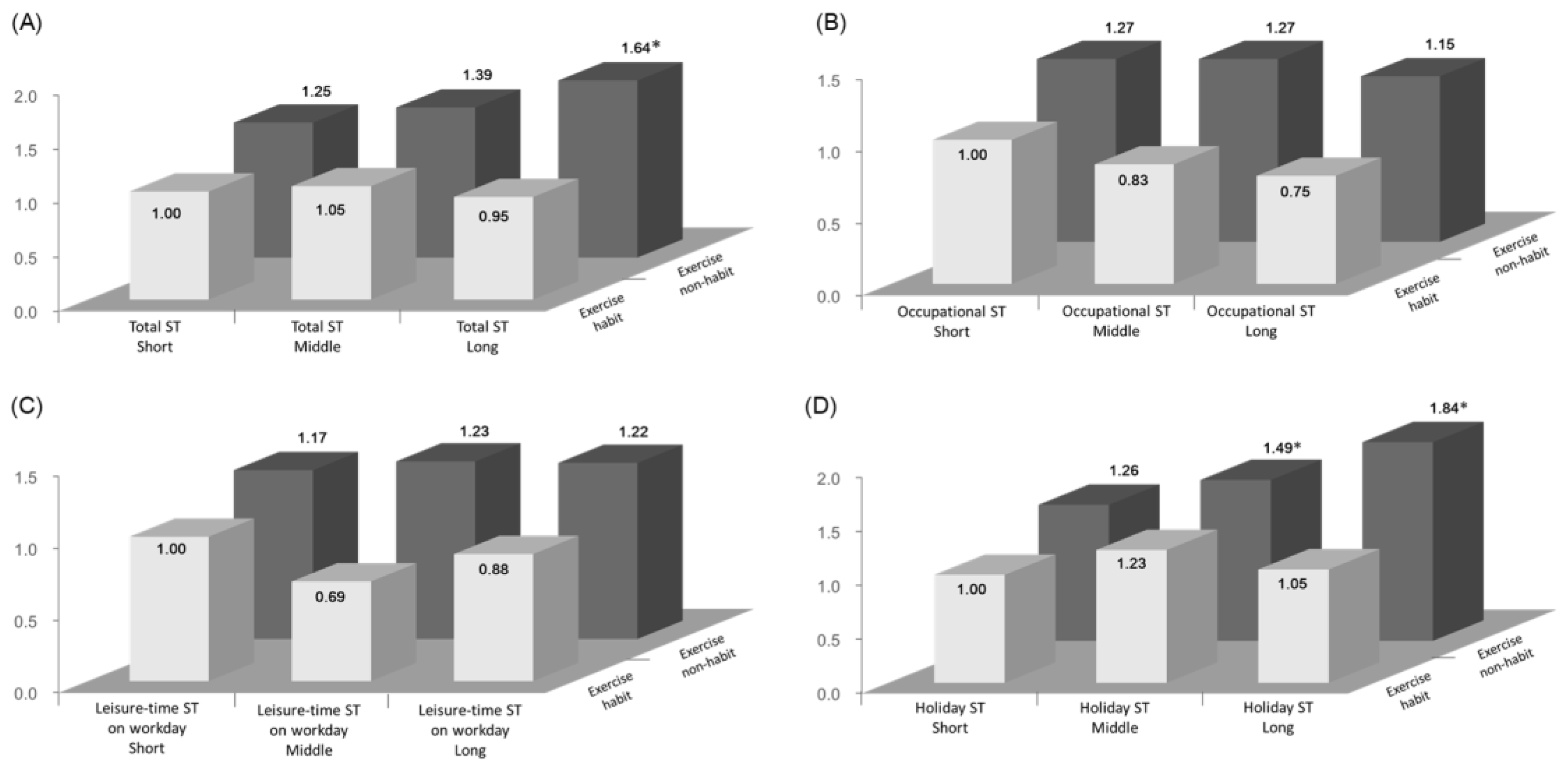
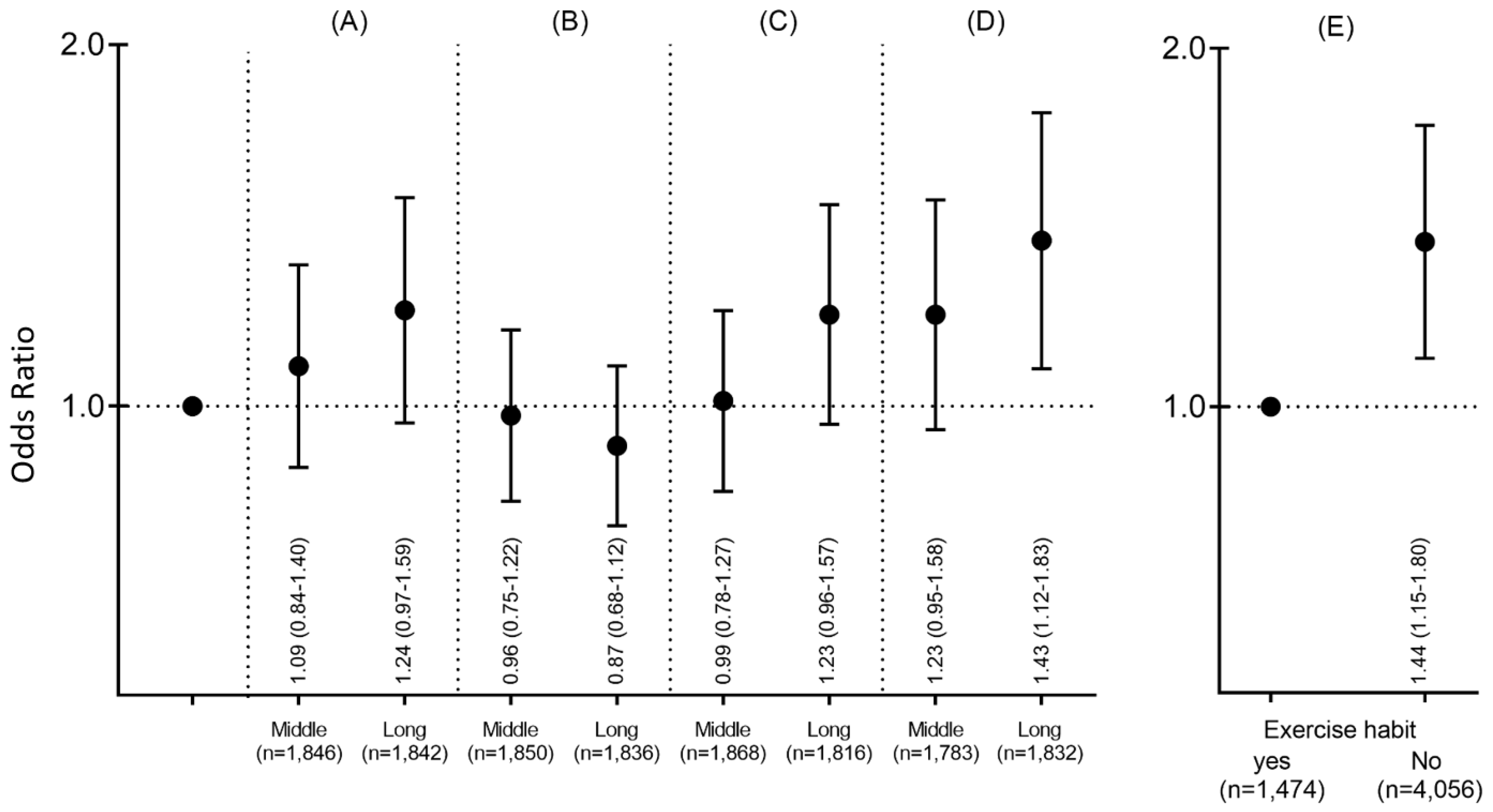
3. Results
4. Discussion
5. Conclusions
Supplementary Materials
Author Contributions
Funding
Conflicts of Interest
Availability of data and materials
Abbreviations
References
- Lakka, H.M.; Laaksonen, D.E.; Lakka, T.A.; Niskanen, L.K.; Kumpusalo, E.; Tuomilehto, J.; Salonen, J.T. The metabolic syndrome and total and cardiovascular disease mortality in middle-aged men. Jama 2002, 288, 2709–2716. [Google Scholar] [CrossRef] [PubMed]
- Malik, S.; Wong, N.D.; Franklin, S.S.; Kamath, T.V.; L’Italien, G.J.; Pio, J.R.; Williams, G.R. Impact of the metabolic syndrome on mortality from coronary heart disease, cardiovascular disease, and all causes in United States adults. Circulation 2004, 110, 245–1250. [Google Scholar] [CrossRef] [PubMed]
- Young, D.R.; Hivert, M.F.; Alhassan, S.; Camhi, S.M.; Ferguson, J.F.; Katzmarzyk, P.T.; Lewis, C.E.; Owen, N.; Perry, C.K.; Siddique, J.; et al. Sedentary Behavior and Cardiovascular Morbidity and Mortality: A Science Advisory From the American Heart Association. Circulation 2016, 134, e262–e279. [Google Scholar] [CrossRef] [PubMed]
- Jans, M.P.; Proper, K.I.; Hildebrandt, V.H. Sedentary behavior in Dutch workers: Differences between occupations and business sectors. Am. J. Prev. Med. 2007, 33, 450–454. [Google Scholar] [CrossRef]
- Miller, R.; Brown, W. Steps and sitting in a working population. Int. J. Behav. Med. 2004, 11, 219–224. [Google Scholar] [CrossRef]
- Mummery, W.K.; Schofield, G.M.; Steele, R.; Eakin, E.G.; Brown, W.J. Occupational sitting time and overweight and obesity in Australian workers. Am. J. Prev. Med. 2005, 29, 91–97. [Google Scholar] [CrossRef]
- Proper, K.I.; Cerin, E.; Brown, W.J.; Owen, N. Sitting time and socio-economic differences in overweight and obesity. Int. J. Obes. 2007, 31, 169–176. [Google Scholar] [CrossRef]
- Dunstan, D.W.; Salmon, J.; Owen, N.; Armstrong, T.; Zimmet, P.Z.; Welborn, T.A.; Cameron, A.J.; Dwyer, T.; Jolley, D.; Shaw, J.E.; et al. Associations of TV viewing and physical activity with the metabolic syndrome in Australian adults. Diabetologia 2005, 48, 2254–2261. [Google Scholar] [CrossRef]
- Edwardson, C.L.; Gorely, T.; Davies, M.J.; Gray, L.J.; Khunti, K.; Wilmot, E.G.; Yates, T.; Biddle, S.J. Association of sedentary behaviour with metabolic syndrome: A meta-analysis. PLoS ONE 2012, 7, e34916. [Google Scholar] [CrossRef]
- Owen, N. Sedentary behavior: Understanding and influencing adults’ prolonged sitting time. Prev. Med. 2012, 55, 535–539. [Google Scholar] [CrossRef]
- Saidj, M.; Jørgensen, T.; Jacobsen, R.K.; Linneberg, A.; Aadahl, M. Separate and joint associations of occupational and leisure-time sitting with cardio-metabolic risk factors in working adults: A cross-sectional study. PLoS ONE 2013, 8, e70213. [Google Scholar] [CrossRef] [PubMed]
- Pate, R.R.; Pratt, M.; Blair, S.N.; Haskell, W.L.; Macera, C.A.; Bouchard, C.; Buchner, D.; Ettinger, W.; Heath, G.W.; King, A.C.; et al. Physical activity and public health. A recommendation from the Centers for Disease Control and Prevention and the American College of Sports Medicine. Jama 1995, 273, 402–407. [Google Scholar] [CrossRef] [PubMed]
- Haskell, W.L.; Lee, I.M.; Pate, R.R.; Powell, K.E.; Blair, S.N.; Franklin, B.A.; Macera, C.A.; Heath, G.W.; Thompson, P.D.; Bauman, A. Physical activity and public health: Updated recommendation for adults from the American College of Sports Medicine and the American Heart Association. Med. Sci. Sports Exerc. 2007, 39, 1423–1434. [Google Scholar] [CrossRef] [PubMed]
- He, D.; Xi, B.; Xue, J.; Huai, P.; Zhang, M.; Li, J. Association between leisure time physical activity and metabolic syndrome: A meta-analysis of prospective cohort studies. Endocrine 2014, 46, 231–240. [Google Scholar] [CrossRef]
- Wijndaele, K.; Duvigneaud, N.; Matton, L.; Duquet, W.; Delecluse, C.; Thomis, M.; Beunen, G.; Lefevre, J.; Philippaerts, R.M. Sedentary behaviour, physical activity and a continuous metabolic syndrome risk score in adults. Eur. J. Clin. Nutr. 2009, 63, 421–429. [Google Scholar] [CrossRef]
- Bertrais, S.; Beyeme-Ondoua, J.P.; Czernichow, S.; Galan, P.; Hercberg, S.; Oppert, J.M. Sedentary behaviors, physical activity, and metabolic syndrome in middle-aged French subjects. Obes. Res. 2005, 13, 936–944. [Google Scholar] [CrossRef]
- Gustat, J.; Srinivasan, S.R.; Elkasabany, A.; Berenson, G.S. Relation of self-rated measures of physical activity to multiple risk factors of insulin resistance syndrome in young adults: The Bogalusa Heart Study. J. Clin. Epidemiol. 2002, 55, 997–1006. [Google Scholar] [CrossRef]
- Bankoski, A.; Harris, T.B.; McClain, J.J.; Brychta, R.J.; Caserotti, P.; Chen, K.Y.; Berrigan, D.; Troiano, R.P.; Koster, A. Sedentary activity associated with metabolic syndrome independent of physical activity. Diabetes. Care 2011, 34, 497–503. [Google Scholar] [CrossRef]
- Browne, R.A.V.; Farias-Junior, L.F.; Freire, Y.A.; Schwade, D.; Macedo, G.A.D.; Montenegro, V.B.; Lopes, T.J.A.; Dantas, F.F.O.; Costa, E.C. Sedentary Occupation Workers Who Meet the Physical Activity Recommendations Have a Reduced Risk for Metabolic Syndrome: A Cross-Sectional Study. J. Occup. Environ. Med. 2017, 59, 1029–1033. [Google Scholar] [CrossRef]
- Statistics Bureau of Japan, Labour Force Survey 2015. Available online: http://www.stat.go.jp/english/data/roudou/index.htm (accessed on 30 May 2020).
- Matsuo, T.; Sasai, H.; So, R.; Ohkawara, K. Percentage-Method Improves Properties of Workers’ Sitting- and Walking-Time Questionnaire. J. Epidemiol. 2016, 26, 405–412. [Google Scholar] [CrossRef]
- American Heart, A.; National Heart, L.; Blood, I.; Grundy, S.M.; Cleeman, J.I.; Daniels, S.R.; Donato, K.A.; Eckel, R.H.; Franklin, B.A.; Gordon, D.J.; et al. Diagnosis and management of the metabolic syndrome. An American Heart Association/National Heart, Lung, and Blood Institute Scientific Statement. Executive summary. Cardiol. Rev. 2005, 13, 322–327. [Google Scholar]
- Ministry of Health, L. a. W. National Health and Nutrition Examination Survey in 2015. Available online: http://www.mhlw.go.jp/file/04-Houdouhappyou-10904750-Kenkoukyoku-Gantaisakukenkouzoushinka/kekkagaiyou.pdf (accessed on 30 May 2020).
- Healy, G.N.; Wijndaele, K.; Dunstan, D.W.; Shaw, J.E.; Salmon, J.; Zimmet, P.Z.; Owen, N. Objectively measured sedentary time, physical activity, and metabolic risk: The Australian Diabetes, Obesity and Lifestyle Study (AusDiab). Diabetes Care 2008, 31, 369–371. [Google Scholar] [CrossRef] [PubMed]
- Ekelund, U.; Griffin, S.J.; Wareham, N.J. Physical activity and metabolic risk in individuals with a family history of type 2 diabetes. Diabetes Care 2007, 30, 337–342. [Google Scholar] [CrossRef] [PubMed]
- Dempsey, P.C.; Hadgraft, N.T.; Winkler, E.A.H.; Clark, B.K.; Buman, M.P.; Gardiner, P.A.; Owen, N.; Lynch, B.M.; Dunstan, D.W. Associations of context-specific sitting time with markers of cardiometabolic risk in Australian adults. Int. J. Behav. Nutr. Phys. Act. 2018, 15, 114. [Google Scholar] [CrossRef] [PubMed]
- Pinto Pereira, S.M.; Ki, M.; Power, C. Sedentary behaviour and biomarkers for cardiovascular disease and diabetes in mid-life: The role of television-viewing and sitting at work. PLoS ONE 2012, 7, e31132. [Google Scholar] [CrossRef]
- Van Uffelen, J.G.; Wong, J.; Chau, J.Y.; van der Ploeg, H.P.; Riphagen, I.; Gilson, N.D.; Burton, N.W.; Healy, G.N.; Thorp, A.A.; Clark, B.K.; et al. Occupational sitting and health risks: A systematic review. Am. J. Prev. Med. 2010, 39, 379–388. [Google Scholar] [CrossRef]
- Stamatakis, E.; Chau, J.Y.; Pedisic, Z.; Bauman, A.; Macniven, R.; Coombs, N.; Hamer, M. Are sitting occupations associated with increased all-cause, cancer, and cardiovascular disease mortality risk? A pooled analysis of seven British population cohorts. PLoS ONE 2013, 8, e73753. [Google Scholar] [CrossRef]
- Healy, G.N.; Dunstan, D.W.; Salmon, J.; Cerin, E.; Shaw, J.E.; Zimmet, P.Z.; Owen, N. Breaks in sedentary time: Beneficial associations with metabolic risk. Diabetes care 2008, 31, 661–666. [Google Scholar] [CrossRef]
- Cleland, V.J.; Schmidt, M.D.; Dwyer, T.; Venn, A.J. Television viewing and abdominal obesity in young adults: Is the association mediated by food and beverage consumption during viewing time or reduced leisure-time physical activity? Am. J. Clin. Nutr. 2008, 87, 1148–1155. [Google Scholar] [CrossRef]
- Frydenlund, G.; Jorgensen, T.; Toft, U.; Pisinger, C.; Aadahl, M. Sedentary leisure time behavior, snacking habits and cardiovascular biomarkers: The Inter99 Study. Eur. J. Prev. Cardiol. 2012, 19, 1111–1119. [Google Scholar] [CrossRef]
- Thorp, A.A.; McNaughton, S.A.; Owen, N.; Dunstan, D.W. Independent and joint associations of TV viewing time and snack food consumption with the metabolic syndrome and its components; a cross-sectional study in Australian adults. Int. J. Behav. Nutr. Phys. Act. 2013, 10, 96. [Google Scholar] [CrossRef] [PubMed]
- Hadgraft, N.T.; Lynch, B.M.; Clark, B.K.; Healy, G.N.; Owen, N.; Dunstan, D.W. Excessive sitting at work and at home: Correlates of occupational sitting and TV viewing time in working adults. BMC Public Health 2015, 15, 899. [Google Scholar] [CrossRef] [PubMed]
- Uijtdewilligen, L.; Yin, J.D.; van der Ploeg, H.P.; Muller-Riemenschneider, F. Correlates of occupational, leisure and total sitting time in working adults: Results from the Singapore multi-ethnic cohort. Int. J. Behav. Nutr. Phys. Act. 2017, 14, 169. [Google Scholar] [CrossRef] [PubMed]
- Stamatakis, E.; Coombs, N.; Rowlands, A.; Shelton, N.; Hillsdon, M. Objectively-assessed and self-reported sedentary time in relation to multiple socioeconomic status indicators among adults in England: A cross-sectional study. BMJ Open 2014, 4, e006034. [Google Scholar] [CrossRef]
- Bennie, J.A.; Pedisic, Z.; Timperio, A.; Crawford, D.; Dunstan, D.; Bauman, A.; van Uffelen, J.; Salmon, J. Total and domain-specific sitting time among employees in desk-based work settings in Australia. Aust N Z J. Public Health 2015, 39, 237–242. [Google Scholar] [CrossRef]
- Irwin, M.L.; Ainsworth, B.E.; Mayer-Davis, E.J.; Addy, C.L.; Pate, R.R.; Durstine, J.L. Physical activity and the metabolic syndrome in a tri-ethnic sample of women. Obes. Res. 2002, 10, 1030–1037. [Google Scholar] [CrossRef]
- Lakka, T.A.; Laaksonen, D.E.; Lakka, H.M.; Mannikko, N.; Niskanen, L.K.; Rauramaa, R.; Salonen, J.T. Sedentary lifestyle, poor cardiorespiratory fitness, and the metabolic syndrome. Med. Sci. Sports Exerc. 2003, 35, 1279–1286. [Google Scholar] [CrossRef]
- Rennie, K.L.; McCarthy, N.; Yazdgerdi, S.; Marmot, M.; Brunner, E. Association of the metabolic syndrome with both vigorous and moderate physical activity. Int. J. Epidemiol. 2003, 32, 600–606. [Google Scholar] [CrossRef]
- Rao, D.P.; Orpana, H.; Krewski, D. Physical activity and non-movement behaviours: Their independent and combined associations with metabolic syndrome. Int. J. Behav. Nutr. Phys. Act. 2016, 13, 26. [Google Scholar] [CrossRef]
- Holtermann, A.; Krause, N.; van der Beek, A.J.; Straker, L. The physical activity paradox: Six reasons why occupational physical activity (OPA) does not confer the cardiovascular health benefits that leisure time physical activity does. Br. J. Sports. Med. 2018, 52, 149–150. [Google Scholar] [CrossRef]


| Total (n = 5530) | Male (n = 3868) | Female (n =1662) | |
|---|---|---|---|
| Age, year | 44.4 ± 11.1 | 44.5 ± 11.0 | 44.1 ± 11.3 |
| ody weight, kg | 64.1 ± 13.1 | 68.8 ± 11.2 | 53.1 ± 10.2 * |
| BMI | 22.8 ± 3.8 | 23.5 ± 3.5 | 21.1 ± 3.9 * |
| AC, cm | 80.9 ± 10.5 | 83.1 ± 9.7 | 74.9 ± 10.2 * |
| SBP, mmHg | 119 ± 15.2 | 122 ± 14.2 | 113 ± 15.4 * |
| DBP, mmHg | 76.8 ± 12.6 | 79.0 ± 12.2 | 71.6 ± 12.1 * |
| HDLC, mg/dL | 65.1 ± 22.1 | 62.3 ± 21.5 | 71.5 ± 22.0 * |
| TG, mg/dL | 110 ± 81.9 | 119 ± 90.1 | 88.6 ± 52.9 * |
| FPG, mg/dL | 93.1 ± 22.4 | 95.0 ± 24.2 | 88.6 ± 16.9 * |
| WLAQ | |||
| Working time, h | 10.2±1.7 | 10.5±1.7 | 9.4±0.8 * |
| ST during the working time, h | 6.3±3.3 | 6.8±3.2 | 5.2±3.3 * |
| ST during the leisuretime on workday, h | 3.7±2.0 | 3.5±1.9 | 4.1±2.2 * |
| ST on non-workday, h | 9.6±4.1 | 9.7±4.2 | 9.2±4.0 * |
| Medical status, n (%) | |||
| MetS | 432 (7.8) | 349 (9.0) | 83 (5.0) * |
| Hypertension | 559 (10.1) | 465 (12.0) | 144 (8.7) * |
| Diabetes | 208 (3.8) | 189 (4.9) | 50 (3.0) * |
| Hyperlipidemia | 315 (5.7) | 297 (7.7) | 97 (5.8) * |
| Current smoker, n (%) | 1543 (27.9) | 1217 (31.5) | 326 (19.6) * |
| Alcohol consumers, n (%) | 1892 (34.2) | 1501 (38.8) | 391 (23.5) * |
| Weight, kg | AC, cm | SBP, mmHg | DBP, mmHg | HDLC, mg/dL | TG, mg/dL | FPG, mg/dL | MetS | Hypertension | Diabetes | Hyperlipidemia | |
|---|---|---|---|---|---|---|---|---|---|---|---|
| Total ST | |||||||||||
| short (≤ 8.9 h, n = 1842) | 61.5 ± 12.5 | 79.1 ± 9.9 | 118.1 ± 15.3 | 75.4 ± 12.2 | 67.2 ± 22.9 | 102.5 ± 71.7 | 91.6 ± 22.0 | 123 (6.68) | 194 (10.5) | 79 (4.29) | 131 (7.11) |
| middle (9.0 h–11.9 h, n = 1846) | 64.9 ± 13.0 | 81.3 ± 10.4 | 120.0 ± 15.0 | 77.3 ± 12.7 | 64.7 ± 22.5 | 111.3 ± 85.2 | 93.4 ± 23.2 | 143 (7.75) | 183 (9.91) | 77 (4.17) | 124 (6.72) |
| Long (12.0 h≤, n =1842) | 65.9 ± 13.4 | 82.3 ± 10.8 | 120.3 ± 15.3 | 77.7 ± 12.7 | 63.3 ± 20.7 | 114.8 ± 87.1 | 94.1 ± 21.9 | 166 (9.01) | 232 (12.6) | 83 (4.51) | 139 (7.55) |
| P for trend | <0.001 | <0.001 | <0.001 | <0.001 | <0.001 | <0.001 | <0.001 | <0.001 | 0.045 | 0.745 | 0.608 |
| Occupational ST | |||||||||||
| short (≤ 5.2 h, n = 1844) | 61.7 ± 12.9 | 79.4 ± 10.4 | 118.9 ± 15.4 | 75.8 ± 12.6 | 66.7 ± 22.9 | 105.0 ± 81.4 | 91.6 ± 21.9 | 142 (7.70) | 199 (10.8) | 86 (4.66) | 135 (73.2) |
| middle (5.3 h–8.1 h, n = 1850) | 64.2 ± 13.3 | 81.3 ± 10.3 | 119.3 ± 15.4 | 76.6 ± 12.7 | 65.4 ± 22.5 | 112.0 ± 82.0 | 93.3 ± 21.7 | 148 (8.00) | 204 (11.0) | 69 (3.73) | 128 (6.92) |
| long (8.2 h≤, n =1836) | 66.4 ± 12.6 | 82.1 ± 10.6 | 120.2 ± 14.9 | 78.0 ± 12.4 | 63.1 ± 20.8 | 111.7 ± 81.9 | 94.2 ± 23.4 | 142 (7.73) | 206 (11.2) | 84 (4.58) | 131 (7.14) |
| P for trend | <0.001 | <0.001 | <0.001 | <0.001 | <0.001 | <0.001 | <0.001 | 0.969 | 0.678 | 0.892 | 0.825 |
| Leisure-time ST on workday | |||||||||||
| short (≤2.6 h, n = 1846) | 64.6 ± 12.3 | 80.6 ± 9.9 | 1192 ± 15.1 | 77.2 ± 12.7 | 64.8 ± 22.4 | 108.8 ± 74.6 | 93.6 ± 24.5 | 139 (7.53) | 193 (10.5) | 84 (4.55) | 128 (6.93) |
| middle (2.7 h–4.1 h, n = 1868) | 64.6 ± 13.2 | 81.3 ± 10.4 | 119.6 ± 15.3 | 76.8 ± 12.5 | 65.0 ± 21.6 | 109.6 ± 87.9 | 92.4 ± 21.0 | 138 (7.39) | 223 (11.9) | 85 (4.55) | 141 (7.55) |
| long (4.2 h ≤, n =1816) | 63.1 ± 13.6 | 80.9 ± 11.1 | 119.5 ± 15.3 | 76.3 ± 12.6 | 65.4 ± 22.3 | 110.4 ± 82.3 | 93.2 ± 21.6 | 155 (8.54) | 193 (10.6) | 70 (3.85) | 125 (6.88) |
| P for trend | <0.001 | 0.711 | 0.617 | 0.032 | 0.441 | 0.874 | 0.942 | 0.259 | 0.858 | 0.302 | 0.957 |
| Leisure-time ST on holiday | |||||||||||
| short (≤8.0 h, n = 1915) | 63.0 ± 12.4 | 79.9 ± 10.0 | 118.3 ± 15.3 | 76.1 ± 12.5 | 65.8 ± 22.8 | 105.2 ± 71.7 | 92.3 ± 22.9 | 121 (6.32) | 188 (9.82) | 79 (4.13) | 125 (6.53) |
| middle (8.1 h–11.5 h, n = 1783) | 64.1 ± 13.4 | 80.9 ± 10.5 | 119.4 ± 15.0 | 77.1 ± 12.4 | 65.0 ± 22.0 | 109.9 ± 88.7 | 92.4 ± 21.9 | 137 (7.68) | 193 (10.8) | 76 (4.26) | 130 (7.29) |
| long (11.6 h ≤, n =1832) | 65.3 ± 13.5 | 82.1 ± 10.8 | 120.7 ± 15.4 | 77.2 ± 12.9 | 64.3 ± 21.5 | 113.7 ± 84.5 | 94.5 ± 22.2 | 174 (9.50) | 228 (12.5) | 84 (4.59) | 139 (7.59) |
| P for trend | <0.001 | <0.001 | <0.001 | <0.001 | 0.089 | 0.010 | 0.005 | <0.001 | 0.010 | 0.490 | 0.205 |
| Habitual-exercise | |||||||||||
| Yes (n = 1804) | 64.5 ± 12.4 | 80.8 ± 10.1 | 119.6 ± 14.6 | 76.6 ± 12.0 | 67.0 ± 22.6 | 105.9 ± 76.5 | 93.1 ± 22.3 | 116 (6.43) | 185 (10.3) | 70 (3.88) | 136 (7.54) |
| No (n = 3726) | 63.9 ± 13.4 | 81.0 ± 10.7 | 119.4 ± 15.6 | 76.9 ± 12.9 | 64.1 ± 21.9 | 111.4 ± 84.3 | 93.0 ± 22.4 | 316 (8.48) | 424 (11.4) | 169 (4.54) | 258 (6.92) |
| P for difference | 0.113 | 0.688 | 0.661 | 0.517 | <0.001 | 0.025 | 0.945 | <0.001 | 0.211 | 0.261 | 0.405 |
© 2020 by the authors. Licensee MDPI, Basel, Switzerland. This article is an open access article distributed under the terms and conditions of the Creative Commons Attribution (CC BY) license (http://creativecommons.org/licenses/by/4.0/).
Share and Cite
So, R.; Matsuo, T. The Effect of Domain-Specific Sitting Time and Exercise Habits on Metabolic Syndrome in Japanese Workers: A Cross-Sectional Study. Int. J. Environ. Res. Public Health 2020, 17, 3883. https://doi.org/10.3390/ijerph17113883
So R, Matsuo T. The Effect of Domain-Specific Sitting Time and Exercise Habits on Metabolic Syndrome in Japanese Workers: A Cross-Sectional Study. International Journal of Environmental Research and Public Health. 2020; 17(11):3883. https://doi.org/10.3390/ijerph17113883
Chicago/Turabian StyleSo, Rina, and Tomoaki Matsuo. 2020. "The Effect of Domain-Specific Sitting Time and Exercise Habits on Metabolic Syndrome in Japanese Workers: A Cross-Sectional Study" International Journal of Environmental Research and Public Health 17, no. 11: 3883. https://doi.org/10.3390/ijerph17113883
APA StyleSo, R., & Matsuo, T. (2020). The Effect of Domain-Specific Sitting Time and Exercise Habits on Metabolic Syndrome in Japanese Workers: A Cross-Sectional Study. International Journal of Environmental Research and Public Health, 17(11), 3883. https://doi.org/10.3390/ijerph17113883

