An Exploration of a Synthetic Construction Land Use Quality Evaluation Based on Economic-Social-Ecological Coupling Perspective: A Case Study in Major Chinese Cities
Abstract
1. Introduction
2. Data
2.1. Study Area
2.2. Data Source
3. Methodology
3.1. Data Preprocessing
3.2. Synthetic Evaluation Model
3.3. Coupling Evaluation Model
3.4. Obstacle Diagnosis Model
3.5. Data Visualization and Analysis
4. Results and Discussion
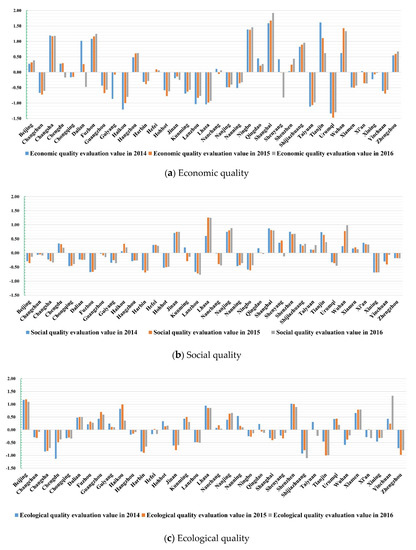
4.1. Synthetic Evaluation of CLUQ
4.2. Coupling Degree of Urban Construction Land in China
4.3. Obstacle Diagnosis
5. Conclusions and Policy Implications
Supplementary Materials
Author Contributions
Funding
Conflicts of Interest
References
- Fan, Y.; Jin, X.; Gan, L.; Jessup, L.H.; Pijanowski, B.C.; Yang, X.; Xiang, X.; Zhou, Y. Spatial identification and dynamic analysis of land use functions reveals distinct zones of multiple functions in eastern China. Sci. Total Environ. 2018, 642, 33–44. [Google Scholar] [CrossRef]
- Sun, M.; Wang, J.; He, K. Analysis on the urban land resources carrying capacity during urbanization—A case study of Chinese YRD. Appl. Geogr. 2020, 116, 102170. [Google Scholar] [CrossRef]
- Zhang, W.; Wang, M. Spatial-temporal characteristics and determinants of land urbanization quality in china: Evidence from 285 prefecture-level cities. Sustain. Cities Soc. 2018, 38, 70–79. [Google Scholar] [CrossRef]
- Li, Y.; Xiong, W.; Wang, X. Does polycentric and compact development alleviate urban traffic congestion? A case study of 98 Chinese cities. Cities 2019, 88, 100–111. [Google Scholar] [CrossRef]
- Liu, Y.; Zhang, Z.; Zhou, Y. Efficiency of construction land allocation in China: An econometric analysis of panel data. Land Use Policy 2018, 74, 261–272. [Google Scholar] [CrossRef]
- Qu, Y.; Jiang, G.; Li, Z.; Shang, R.; Zhou, D. Understanding the multidimensional morphological characteristics of urban idle land: Stage, subject, and spatial heterogeneity. Cities 2020, 97, 102492. [Google Scholar] [CrossRef]
- Liu, C.; Gao, G.; Zhuang, J. An empirical analysis of urban economic development and land use efficiency in Shandong Province. China Econ. 2005, 8, 257–259. (In Chinese) [Google Scholar]
- Liang, J.; Chen, S. Evaluation and grey correlational analysis of land use performance in Fujian Province based on entropy-weight TOPSIS model. J. Fujian Norm. Univ. (Nat. Sci. Ed.) 2019, 35, 80–87. (In Chinese) [Google Scholar]
- Zhu, W.; Sun, H. Study on spatio-temporal evolution and driving forces of urban land use benefits in Jiangsu Province. China Land Sci. 2019, 33, 103–112. (In Chinese) [Google Scholar]
- Xu, X.; Zhou, G.; Zhou, Y.; Zhu, X.; Ren, H.; Zhang, D. Land use performance evaluation and obstacle factor diagnosis in Guiyang city. Bull. Soil Water Conserv. 2019, 39, 243–250. (In Chinese) [Google Scholar]
- Liu, J.; Jin, X.; Xu, W.; Gu, Z.; Yang, X.; Ren, J.; Fan, Y.; Zhou, Y. A new framework of land use efficiency for the coordination among food, economy and ecology in regional development. Sci. Total Environ. 2020, 710, 135670. [Google Scholar] [CrossRef] [PubMed]
- Yuan, J.; Bian, Z.; Yan, Q.; Pan, Y. Spatio-temporal distributions of the land use efficiency coupling coordination degree in mining cities of western China. Sustainability 2019, 11, 5288. [Google Scholar] [CrossRef]
- Xie, H.; Chen, Q.; Lu, F.; Wu, Q.; Wang, W. Spatial-temporal disparities, saving potential and influential factors of industrial land use efficiency: A case study in urban agglomeration in the middle reaches of the Yangtze River. Land Use Policy 2018, 75, 518–529. [Google Scholar] [CrossRef]
- Chen, Y.; Chen, Z.; Xu, G.; Tian, Z. Built-up land efficiency in urban China: Insights from the General Land Use Plan (2006–2020). Habitat Int. 2016, 51, 31–38. [Google Scholar] [CrossRef]
- He, R.H.; Wang, R.; Ren, Y.N.; Che, C.; He, J. Analysis of land use efficiency in provincial-Level development zones—Case study of Wanjiang City Belt, China. Earth Environ. Sci. 2018, 178, 012035. [Google Scholar] [CrossRef]
- Chen, W.; Chen, W.; Ning, S.; Liu, E.; Zhou, X.; Wang, Y.; Zhao, M. Exploring the industrial land use efficiency of China’s resource-based cities. Cities 2019, 93, 215–223. [Google Scholar] [CrossRef]
- Deng, X.; Gibson, J. Sustainable land use management for improving land eco-efficiency: A case study of Hebei, China. Ann. Oper. Res. 2018, 1–13. [Google Scholar] [CrossRef]
- Lu, X.; Kuang, B.; Li, J. Regional difference decomposition and policy implications of China’s urban land use efficiency under the environmental restriction. Habitat Int. 2018, 77, 32–39. [Google Scholar] [CrossRef]
- Zhu, X.; Li, Y.; Zhang, P.; Wei, Y.; Zheng, X.; Xie, L. Temporal–spatial characteristics of urban land use efficiency of China’s 35mega cities based on DEA: Decomposing technology and scale efficiency. Land Use Policy 2019, 88, 104083. [Google Scholar] [CrossRef]
- Wang, Y.; Nie, Y. Evaluation of regional land use performance-based on AHP in Guang’an city. South China Agric. 2014, 8, 101–103. (In Chinese) [Google Scholar]
- Wang, F.; Shi, Y.; Yao, B.; Qu, L.; Xu, L.; Ma, Z.; Zhou, H. Coupling and coordination development between urban land use benefits and new urbanization in Xi’ning city. Res. Soil Water Conserv. 2016, 23, 253–259. (In Chinese) [Google Scholar]
- Zhu, Z.; Zhang, L.; Ye, X.; Zhang, Y. Evaluation of comprehensive land use efficiency based on TOPSIS. Econ. Geogr. 2012, 32, 139–144. (In Chinese) [Google Scholar]
- Xu, M.; Liu, C. Performance evaluation and correlation trend analysis of urban-rural integrated development in China. J. Nat. Resour. 2012, 27, 734–746. (In Chinese) [Google Scholar]
- Wang, P.; Kuang, F.; Deng, Y.; Tian, Y.; Yi, F. Assessment of land eco-security of the Hengyang city on the principal component. Econ. Geogr. 2015, 35, 168–172. (In Chinese) [Google Scholar]
- Jiao, L.; Xu, Z.; Xu, G.; Zhao, R.; Liu, J.; Wang, W. Assessment of urban land use efficiency in China: A perspective of scaling law. Habitat Int. 2020, 99, 102172. [Google Scholar] [CrossRef]
- Zhang, L.; Zhang, L.; Xu, Y.; Zhou, P.; Yeh, C. Evaluating urban land use efficiency with interacting criteria: An empirical study of cities in Jiangsu China. Land Use Policy 2020, 90, 104292. [Google Scholar] [CrossRef]
- Kuang, B.; Lu, X.; Zhou, M.; Chen, D. Provincial cultivated land use efficiency in China: Empirical analysis based on the SBM-DEA model with carbon emissions considered. Technol. Forecast. Soc. Chang. 2020, 151, 119874. [Google Scholar] [CrossRef]
- Yang, X.; Wu, Y.; Dang, H. Urban land use efficiency and coordination in China. Sustainability 2017, 9, 410. [Google Scholar] [CrossRef]
- Cui, X.; Zhang, G.; Xu, C.; Shan, L. Land use performance evaluation and its improvement path in economically developed areas: A case study of Jiangsu Province. Issues Agric. Econ. 2017, 38, 81–88. (In Chinese) [Google Scholar]
- Wu, Y.; Lei, G.; Lu, C.; Zhou, H.; Guan, Y. Evaluation of urban land use performance based on the improved TOPSIS model and diagnosis of its obstacle degree in Daqing. Res. Soil Water Conserv. 2015, 22, 85–90. (In Chinese) [Google Scholar]
- Lu, X.; Chen, D.; Kuang, B. The impact of regional integration on urban land use efficiency: A case study of Wuhan urban agglomeration. Urban Probl. 2018, 3, 19–26. (In Chinese) [Google Scholar]
- Yu, J.; Zhou, K.; Yang, S. Land use efficiency and influencing factors of urban agglomerations in China. Land Use Policy 2019, 88, 104143. [Google Scholar] [CrossRef]
- He, S.; Yu, S.; Li, G.; Zhang, J. Exploring the influence of urban form on land-use efficiency from a spatiotemporal heterogeneity perspective: Evidence from 336 Chinese cities. Land Use Policy 2020, 95, 104576. [Google Scholar] [CrossRef]
- Lu, X.; Chen, D.; Kuang, B.; Zhang, C.; Cheng, C. Is high-tech zone a policy trap or a growth drive? Insights from the perspective of urban land use efficiency. Land Use Policy 2020, 95, 104583. [Google Scholar] [CrossRef]
- Han, H.; Zhang, X. Exploring environmental efficiency and total factor productivity of cultivated land use in China. Sci. Total Environ. 2020, 726, 138434. [Google Scholar] [CrossRef]
- Han, H.; Zhang, X. Static and dynamic cultivated land use efficiency in China: A minimum distance to strong efficient frontier approach. J. Clean. Prod. 2020, 246, 119002. [Google Scholar] [CrossRef]
- Chen, J.; Gao, J.; Chen, W. Urban land expansion and the transitional mechanisms in Nanjing, China. Habitat Int. 2016, 53, 274–283. [Google Scholar] [CrossRef]
- Sun, Y.; Ma, A.; Su, H.; Su, S.; Chen, F.; Wang, W.; Weng, M. Does the establishment of development zones really improve industrial land use efficiency? Implications for China’s high-quality development policy. Land Use Policy 2020, 90, 104265. [Google Scholar] [CrossRef]
- Chen, W.; Ning, S.; Chen, W.; Liu, E.; Wang, Y.; Zhao, M. Spatial-temporal characteristics of industrial land green efficiency in China: Evidence from prefecture-level cities. Ecol. Indic. 2020, 113, 106256. [Google Scholar] [CrossRef]
- Kytzia, S.; Walz, A.; Wegmann, M. How can tourism use land more efficiently? A model-based approach to land-use efficiency for tourist destinations. Tour. Manag. 2011, 32, 629–640. [Google Scholar] [CrossRef]
- National Bureau of Statistics, Ministry of Environmental Protection. China Statistical Yearbook on Environment; China Statistics Press: Beijing, China, 2015.
- National Bureau of Statistics, Ministry of Environmental Protection. China Statistical Yearbook on Environment; China Statistics Press: Beijing, China, 2016.
- National Bureau of Statistics, Ministry of Environmental Protection. China Statistical Yearbook on Environment; China Statistics Press: Beijing, China, 2017.
- Department of Urban Surveys National Bureau of Statistics of China. China City Statistical Yearbook; China Statistics Press: Beijing, China, 2015.
- Department of Urban Surveys National Bureau of Statistics of China. China City Statistical Yearbook; China Statistics Press: Beijing, China, 2016.
- Department of Urban Surveys National Bureau of Statistics of China. China City Statistical Yearbook; China Statistics Press: Beijing, China, 2017.
- He, C.; Han, Q.; de Vries, B.; Wang, X.; Zhao, G. Evaluation of sustainable land management in urban area: A case study of Shanghai, China. Ecol. Indic. 2017, 80, 106–113. [Google Scholar] [CrossRef]
- Zhu, X.; Zhang, P.; Wei, Y.; Li, Y.; Zhao, H. Measuring the efficiency and driving factors of urban land use based on the DEA method and the PLS-SEM model—A case study of 35 large and medium-sized cities in China. Sustain. Cities Soc. 2019, 50, 101646. [Google Scholar] [CrossRef]
- Yang, T.; Guan, X.; Qian, Y.; Xing, W.; Wu, H. Efficiency evaluation of urban road transport and land use in Hunan Province of China based on hybrid data envelopment analysis (DEA) models. Sustainability 2019, 11, 3826. [Google Scholar] [CrossRef]
- Tu, F.; Yu, X.; Ruan, J. Industrial land use efficiency under government intervention: Evidence from Hangzhou, China. Habitat Int. 2014, 43, 1–10. [Google Scholar] [CrossRef]
- Zhang, X.; Wu, Y.; Shen, L. An evaluation framework for the sustainability of urban land use: A study of capital cities and municipalities in China. Habitat Int. 2011, 35, 141–149. [Google Scholar] [CrossRef]
- Lu, X.; Ke, S. Evaluating the effectiveness of sustainable urban land use in China from the perspective of sustainable urbanization. Habitat Int. 2018, 77, 90–98. [Google Scholar] [CrossRef]
- Li, C.; Gao, X.; He, B.; Wu, J.; Wu, K. Coupling coordination relationships between urban-industrial land use efficiency and accessibility of highway networks: Evidence from Beijing-Tianjin-Hebei urban agglomeration, China. Sustainability 2019, 11, 1446. [Google Scholar] [CrossRef]
- Wu, C.; Wei, Y.; Huang, X.; Chen, B. Economic transition, spatial development and urban land use efficiency in the Yangtze River Delta, China. Habitat Int. 2017, 63, 67–78. [Google Scholar] [CrossRef]
- Zhang, L.; Yang, J.; Li, D.; Liu, H.; Xie, Y.; Song, T.; Luo, S. Evaluation of the ecological civilization index of China based on the double benchmark progressive method. J. Clean. Prod. 2019, 222, 511–519. [Google Scholar] [CrossRef]
- Xu, H.; Zhang, W. The causal relationship between carbon emissions and land urbanization quality: A panel data analysis for Chinese provinces. J. Clean. Prod. 2016, 137, 241–248. [Google Scholar] [CrossRef]
- Sun, Q.; Zhang, X.; Yin, C. Research on the coordination relationship between land use benefits and new-type urbanization level—A case study of Shandong Peninsula urban agglomeration. J. Nat. Sci. Hunan Norm. Univ. 2018, 41, 16–25. (In Chinese) [Google Scholar]
- Chen, X.Y.; Li, F.; Zhang, J.D.; Zhou, W.; Wang, X.Y.; Fu, H.J. Spatiotemporally mapping and multiple driving forces identifying of PM2.5 variation and its joint management strategies across China. J. Clean. Prod 2020, 250, 119534. [Google Scholar] [CrossRef]
- Atta, H.A. Assessment and geographic visualization of salinity of Tigris and Diyala Rivers in Baghdad City. Environ. Technol. Innov. 2020, 17, 100538. [Google Scholar] [CrossRef]
- Childs, C. Interpolating Surfaces in ArcGIS Spatial Analyst. ArcUser 2004, 3235, 569. [Google Scholar]









| Index | Units | Mean | Std. Dev | Min | Max |
|---|---|---|---|---|---|
| GDP per area | 10,000 RMB/km2 | 14,141,720 | 5,233,156 | 3,667,159 | 28,096,850 |
| Fixed asset investment per area | 10,000 RMB/km2 | 102,819 | 42,522 | 30,533 | 204,671 |
| Financial income per area | 10,000 RMB/km2 | 16,902 | 9696 | 6587 | 64,125 |
| Coverage ratio of community service institutions | Pcs/km2 | 0.03 | 0.02 | 0.0023 | 0.10 |
| Per capita urban road area | m2/people | 12.95 | 3.42 | 5.44 | 22.17 |
| Per capita built-up area | km2/10,000 people | 0.66 | 0.40 | 0.25 | 2.75 |
| Per capita ecological land area | m2/people | 26.17 | 11.42 | 11.54 | 72 |
| Green coverage ratio of built-up area | % | 41.09 | 5.49 | 25.50 | 61.58 |
| PM2.5 annual average concentration | Microgram/m3 | 55.75 | 19.37 | 21 | 124 |
| Criterion Level | Index Level | Index | Unit | Attribute | Literature Sources |
|---|---|---|---|---|---|
| Land output | GDP per area | 10,000 RMB/km2 | Positive indicators | [19,47] | |
| Economic | Land input | Fixed asset investment per area | 10,000 RMB/km2 | Positive indicators | [48,49] |
| Revenue | Financial income per area | 10,000 RMB/km2 | Positive indicators | [50] | |
| Health service | Coverage ratio of community service institutions | Pcs/km2 | Positive indicators | [12] | |
| Social | Traffic | Per capita urban road area | m2/people | Positive indicators | [51,52] |
| Living space | Per capita built-up area | km2/10,000 people | Positive indicators | [53,54] | |
| Ecological space | Per capita ecological land area | m2/people | Positive indicators | [55] | |
| Ecological | Ecological structure | Green coverage ratio of built-up area | % | Positive indicators | [56] |
| Environmental Health | PM2.5 annual average concentration | Microgram/m3 | Negative index | [57,58] |
| City | Economic Quality | Social Quality | Ecological Quality | Synthetic Quality | City | Economic Quality | Social Quality | Ecological Quality | Synthetic Quality |
|---|---|---|---|---|---|---|---|---|---|
| Beijing | 0.3274 | −0.2625 | 1.1516 | 0.4055 | Ningbo | 1.4079 | −0.5479 | −0.2162 | 0.2146 |
| Chengdu | 0.1332 | 0.2791 | −0.6643 | −0.0840 | Qingdao | 0.3098 | 0.0479 | 0.0136 | 0.1238 |
| Dalian | 0.2700 | −0.2379 | 0.4945 | 0.1755 | Xiamen | −0.4758 | 0.1644 | 0.7424 | 0.1437 |
| Fuzhou | 1.1627 | −0.6459 | 0.2698 | 0.2622 | Shanghai | 1.7284 | 0.8261 | −0.3606 | 0.7313 |
| Guangzhou | −0.5587 | −0.0873 | 0.5723 | −0.0246 | Shenzhen | 0.2380 | 0.7013 | 0.9706 | 0.6366 |
| Guiyang | −0.3108 | −0.3234 | 0.1535 | −0.1602 | Shenyang | −0.1385 | 0.2270 | −0.2281 | −0.0465 |
| Harbin | −0.3288 | −0.6444 | −0.8000 | −0.5911 | Shijiazhuang | 0.8931 | 0.2990 | −0.9433 | 0.0829 |
| Haikou | −1.0037 | 0.1940 | 0.7215 | −0.0294 | Taiyuan | −1.0504 | 0.1687 | 0.0301 | −0.2839 |
| Hangzhou | 0.5731 | −0.2739 | −0.1421 | 0.0524 | Tianjin | 1.1168 | 0.5875 | −0.8181 | 0.2954 |
| Hefei | 0.0545 | 0.2762 | −0.0995 | 0.0771 | Urumqi | −1.3682 | −0.3827 | 0.3500 | −0.4670 |
| Hohhot | −0.6579 | −0.5066 | 0.2118 | −0.3176 | Wuhan | 1.1283 | 0.6663 | −0.3954 | 0.4664 |
| Jinan | −0.1932 | 0.7345 | −0.6668 | −0.0418 | Xi’an | −0.2297 | 0.3232 | −0.1971 | −0.0345 |
| Kunming | −0.6298 | −0.0770 | 0.4152 | −0.0972 | Xining | −0.1051 | −0.6902 | −0.3640 | −0.3864 |
| Lhasa | −0.9838 | 1.0375 | 0.8846 | 0.3128 | Yinchuan | −0.6252 | −0.2579 | 0.6670 | −0.0720 |
| Lanzhou | −0.8766 | −0.7241 | −0.4905 | −0.6971 | Changchun | −0.6659 | −0.0698 | −0.2303 | −0.3220 |
| Nanchang | 0.0378 | −0.2847 | 0.0969 | −0.0500 | Changsha | 1.1769 | −0.2844 | −0.7944 | 0.0327 |
| Nanjing | −0.4578 | 0.8107 | 0.5607 | 0.3045 | Zhengzhou | 0.6033 | −0.1841 | −0.8340 | −0.1382 |
| Nanning | −0.3981 | −0.4191 | 0.2618 | −0.1851 | Chongqing | −0.1029 | −0.4397 | −0.3235 | −0.2887 |
| City | CD | City | CD | City | CD | City | CD |
|---|---|---|---|---|---|---|---|
| Beijing | 0.672 | Hefei | 0.800 | Ningbo | 0.941 | Urumqi | 0.694 |
| Chengdu | 0.961 | Hohhot | 0.588 | Qingdao | 0.533 | Wuhan | 0.652 |
| Dalian | 0.753 | Jinan | 0.995 | Xiamen | 0.923 | Xi’an | 0.982 |
| Fuzhou | 0.888 | Kunming | 0.951 | Shanghai | 0.578 | Xining | 0.277 |
| Guangzhou | 0.997 | Lhasa | 0.896 | Shenzhen | 0.184 | Yinchuan | 0.983 |
| Guiyang | 0.657 | Lanzhou | 0.049 | Shenyang | 0.947 | Changchun | 0.380 |
| Harbin | 0.099 | Nanchang | 0.918 | Shijiazhuang | 0.988 | Changsha | 0.998 |
| Haikou | 0.998 | Nanjing | 0.764 | Taiyuan | 0.787 | Zhengzhou | 0.948 |
| Hangzhou | 0.981 | Nanning | 0.745 | Tianjin | 0.884 | Chongqing | 0.190 |
| City | Economic Obstacle | Social Obstacle | Ecological Obstacle | City | Economic Obstacle | Social Obstacle | Ecological Obstacle |
|---|---|---|---|---|---|---|---|
| Beijing | 0.3771 | 0.7079 | −0.0850 | Ningbo | −0.1731 | 0.6569 | 0.5162 |
| Chengdu | 0.2665 | 0.2217 | 0.5118 | Qingdao | 0.2626 | 0.3622 | 0.3752 |
| Dalian | 0.2951 | 0.5005 | 0.2044 | Xiamen | 0.5745 | 0.3253 | 0.1003 |
| Fuzhou | −0.0735 | 0.7436 | 0.3299 | Shanghai | −0.9037 | 0.2158 | 1.6879 |
| Guangzhou | 0.5071 | 0.3537 | 0.1392 | Shenzhen | 0.6991 | 0.2740 | 0.0269 |
| Guiyang | 0.3766 | 0.3802 | 0.2432 | Shenyang | 0.3626 | 0.2462 | 0.3912 |
| Harbin | 0.2784 | 0.3445 | 0.3771 | Shijiazhuang | 0.0389 | 0.2548 | 0.7063 |
| Haikou | 0.6488 | 0.2610 | 0.0902 | Taiyuan | 0.5323 | 0.2158 | 0.2518 |
| Hangzhou | 0.1502 | 0.4481 | 0.4017 | Tianjin | −0.0552 | 0.1952 | 0.8601 |
| Hefei | 0.3415 | 0.2614 | 0.3971 | Urumqi | 0.5381 | 0.3142 | 0.1477 |
| Hohhot | 0.4194 | 0.3812 | 0.1994 | Wuhan | −0.0801 | 0.2084 | 0.8717 |
| Jinan | 0.3818 | 0.0849 | 0.5333 | Xi’an | 0.3962 | 0.2181 | 0.3857 |
| Kunming | 0.4951 | 0.3272 | 0.1777 | Xining | 0.2657 | 0.4064 | 0.3279 |
| Lhasa | 0.9622 | −0.0182 | 0.0560 | Yinchuan | 0.5053 | 0.3911 | 0.1035 |
| Lanzhou | 0.3686 | 0.3386 | 0.2928 | Changchun | 0.4201 | 0.2697 | 0.3102 |
| Nanchang | 0.3055 | 0.4078 | 0.2867 | Changsha | −0.0610 | 0.4426 | 0.6184 |
| Nanjing | 0.6987 | 0.0907 | 0.2105 | Zhengzhou | 0.1162 | 0.3468 | 0.5371 |
| Nanning | 0.3932 | 0.3991 | 0.2076 | Chongqing | 0.2853 | 0.3724 | 0.3423 |
© 2020 by the authors. Licensee MDPI, Basel, Switzerland. This article is an open access article distributed under the terms and conditions of the Creative Commons Attribution (CC BY) license (http://creativecommons.org/licenses/by/4.0/).
Share and Cite
Cui, X.; Yang, S.; Zhang, G.; Liang, B.; Li, F. An Exploration of a Synthetic Construction Land Use Quality Evaluation Based on Economic-Social-Ecological Coupling Perspective: A Case Study in Major Chinese Cities. Int. J. Environ. Res. Public Health 2020, 17, 3663. https://doi.org/10.3390/ijerph17103663
Cui X, Yang S, Zhang G, Liang B, Li F. An Exploration of a Synthetic Construction Land Use Quality Evaluation Based on Economic-Social-Ecological Coupling Perspective: A Case Study in Major Chinese Cities. International Journal of Environmental Research and Public Health. 2020; 17(10):3663. https://doi.org/10.3390/ijerph17103663
Chicago/Turabian StyleCui, Xufeng, Sheng Yang, Guanghong Zhang, Bin Liang, and Fei Li. 2020. "An Exploration of a Synthetic Construction Land Use Quality Evaluation Based on Economic-Social-Ecological Coupling Perspective: A Case Study in Major Chinese Cities" International Journal of Environmental Research and Public Health 17, no. 10: 3663. https://doi.org/10.3390/ijerph17103663
APA StyleCui, X., Yang, S., Zhang, G., Liang, B., & Li, F. (2020). An Exploration of a Synthetic Construction Land Use Quality Evaluation Based on Economic-Social-Ecological Coupling Perspective: A Case Study in Major Chinese Cities. International Journal of Environmental Research and Public Health, 17(10), 3663. https://doi.org/10.3390/ijerph17103663

