Priming Effects of Water Immersion on Paired Associative Stimulation-Induced Neural Plasticity in the Primary Motor Cortex
Abstract
1. Introduction
2. Materials and Methods
2.1. Subjects
2.2. TMS
2.3. Electromyographic Recording
2.4. PAS Session
2.5. WI Intervention
2.6. Experimental Design and Parameters
2.6.1. Experiment 1
2.6.2. Experiment 2
2.6.3. Experiment 3
2.7. Data Analysis and Statistics
2.7.1. Experiment 1
2.7.2. Experiment 2
2.7.3. Experiment 3
3. Results
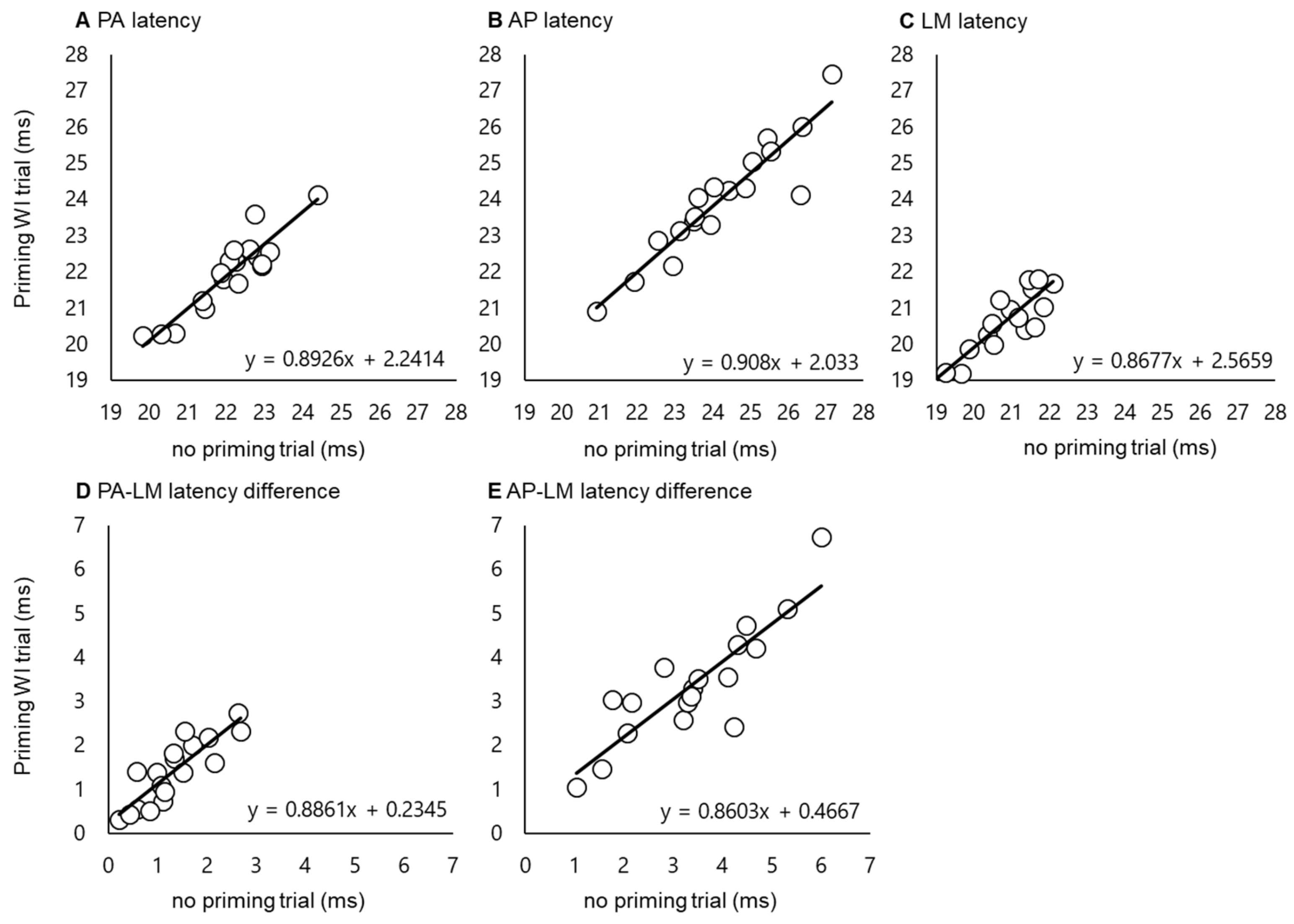
3.1. Latency Difference among Different Coil Orientations
3.2. PAS25-Induced Plasticity in M1
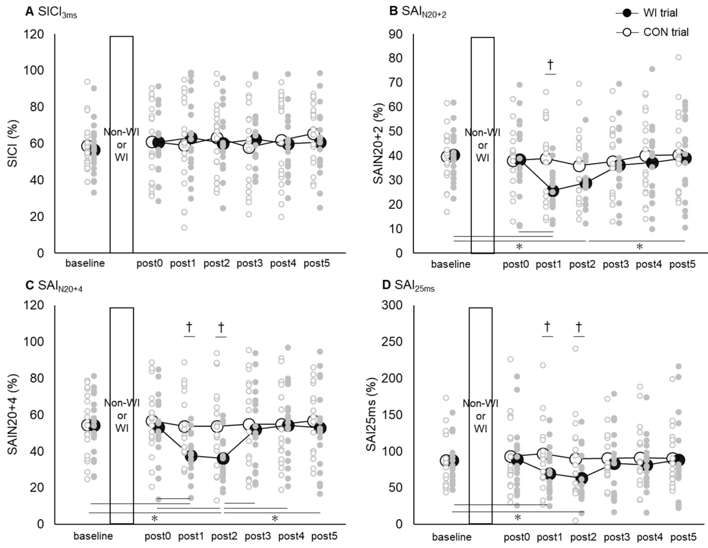
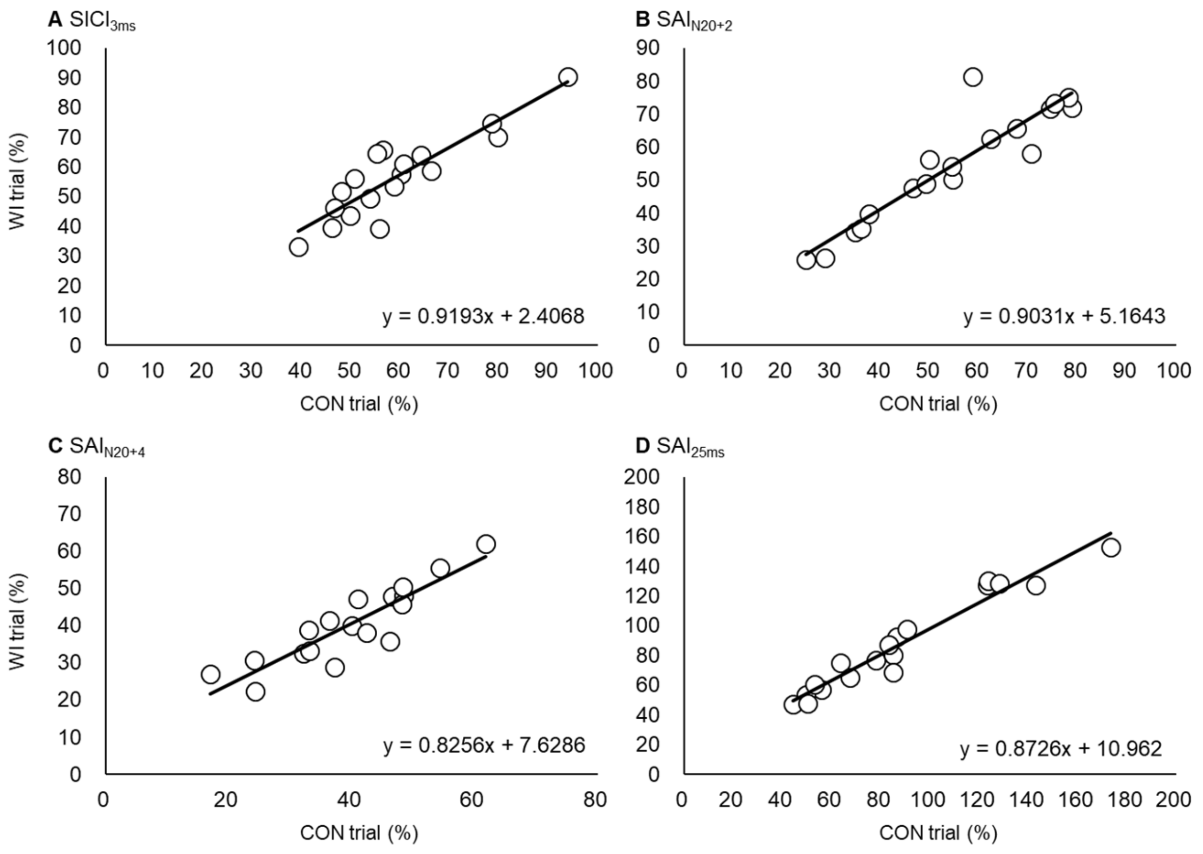
3.3. SAI and SICI
3.4. MEP Recruitment Curve
4. Discussion
Author Contributions
Funding
Conflicts of Interest
References
- Martin, S.J.; Grimwood, P.D.; Morris, R.G. Synaptic plasticity and memory: An evaluation of the hypothesis. Annu. Rev. Neurosci. 2000, 23, 649–711. [Google Scholar] [CrossRef]
- Sjostrom, P.J.; Turrigiano, G.G.; Nelson, S.B. Rate, timing, and cooperativity jointly determine cortical synaptic plasticity. Neuron 2001, 32, 1149–1164. [Google Scholar] [CrossRef]
- Nelson, S.B.; Turrigiano, G.G. Strength through diversity. Neuron 2008, 60, 477–482. [Google Scholar] [CrossRef]
- Abraham, W.C.; Bear, M.F. Metaplasticity: The plasticity of synaptic plasticity. Trends Neurosci. 1996, 19, 126–130. [Google Scholar] [CrossRef]
- Muller-Dahlhaus, F.; Ziemann, U. Metaplasticity in human cortex. Neuroscientist 2015, 21, 185–202. [Google Scholar] [CrossRef] [PubMed]
- Stefan, K.; Kunesch, E.; Cohen, L.G.; Benecke, R.; Classen, J. Induction of plasticity in the human motor cortex by paired associative stimulation. Brain 2000, 123, 572–584. [Google Scholar] [CrossRef] [PubMed]
- Fratello, F.; Veniero, D.; Curcio, G.; Ferrara, M.; Marzano, C.; Moroni, F.; Pellicciari, M.C.; Bertini, M.; Rossini, P.M.; De Gennaro, L. Modulation of corticospinal excitability by paired associative stimulation: Reproducibility of effects and intraindividual reliability. Clin. Neurophysiol. 2006, 117, 2667–2674. [Google Scholar] [CrossRef] [PubMed]
- Stefan, K.; Wycislo, M.; Gentner, R.; Schramm, A.; Naumann, M.; Reiners, K.; Classen, J. Temporary occlusion of associative motor cortical plasticity by prior dynamic motor training. Cereb. Cortex 2006, 16, 376–385. [Google Scholar] [CrossRef]
- Muller-Dahlhaus, J.F.; Orekhov, Y.; Liu, Y.; Ziemann, U. Interindividual variability and age-dependency of motor cortical plasticity induced by paired associative stimulation. Exp. Brain Res. 2008, 187, 467–475. [Google Scholar] [CrossRef]
- Hamada, M.; Galea, J.M.; Di Lazzaro, V.; Mazzone, P.; Ziemann, U.; Rothwell, J.C. Two distinct interneuron circuits in human motor cortex are linked to different subsets of physiological and behavioral plasticity. J. Neurosci. 2014, 34, 12837–12849. [Google Scholar] [CrossRef]
- Lopez-Alonso, V.; Cheeran, B.; Rio-Rodriguez, D.; Fernandez-Del-Olmo, M. Inter-individual variability in response to non-invasive brain stimulation paradigms. Brain Stimul. 2014, 7, 372–380. [Google Scholar] [CrossRef] [PubMed]
- Ridding, M.C.; Ziemann, U. Determinants of the induction of cortical plasticity by non-invasive brain stimulation in healthy subjects. J. Physiol. 2010, 588, 2291–2304. [Google Scholar] [CrossRef] [PubMed]
- Hamada, M.; Murase, N.; Hasan, A.; Balaratnam, M.; Rothwell, J.C. The role of interneuron networks in driving human motor cortical plasticity. Cereb. Cortex 2013, 23, 1593–1605. [Google Scholar] [CrossRef] [PubMed]
- Murase, N.; Cengiz, B.; Rothwell, J.C. Inter-individual variation in the after-effect of paired associative stimulation can be predicted from short-interval intracortical inhibition with the threshold tracking method. Brain Stimul. 2015, 8, 105–113. [Google Scholar] [CrossRef] [PubMed]
- Suzuki, M.; Kirimoto, H.; Sugawara, K.; Watanabe, M.; Shimizu, S.; Ishizaka, I.; Yamada, S.; Matsunaga, A.; Fukuda, M.; Onishi, H. Induction of cortical plasticity for reciprocal muscles by paired associative stimulation. Brain Behav. 2014, 4, 822–832. [Google Scholar] [CrossRef] [PubMed]
- Udupa, K.; Ni, Z.; Gunraj, C.; Chen, R. Interactions between short latency afferent inhibition and long interval intracortical inhibition. Exp. Brain Res. 2009, 199, 177–183. [Google Scholar] [CrossRef]
- Udupa, K.; Ni, Z.; Gunraj, C.; Chen, R. Effects of short-latency afferent inhibition on short-interval intracortical inhibition. J. Neurophysiol. 2014, 111, 1350–1361. [Google Scholar] [CrossRef]
- Iyer, M.B.; Schleper, N.; Wassermann, E.M. Priming stimulation enhances the depressant effect of low-frequency repetitive transcranial magnetic stimulation. J. Neurosci. 2003, 23, 10867–10872. [Google Scholar] [CrossRef]
- Muller, J.F.; Orekhov, Y.; Liu, Y.; Ziemann, U. Homeostatic plasticity in human motor cortex demonstrated by two consecutive sessions of paired associative stimulation. Eur. J. Neurosci. 2007, 25, 3461–3468. [Google Scholar] [CrossRef]
- Sato, D.; Onishi, H.; Yamashiro, K.; Iwabe, T.; Shimoyama, Y.; Maruyama, A. Water immersion to the femur level affects cerebral cortical activity in humans: Functional near-infrared spectroscopy study. Brain Topogr. 2012, 25, 220–227. [Google Scholar] [CrossRef]
- Sato, D.; Yamashiro, K.; Onishi, H.; Shimoyama, Y.; Yoshida, T.; Maruyama, A. The effect of water immersion on short-latency somatosensory evoked potentials in human. BMC Neurosci. 2012, 13, 13. [Google Scholar] [CrossRef]
- Di Lazzaro, V.; Oliviero, A.; Profice, P.; Pennisi, M.A.; Di Giovanni, S.; Zito, G.; Tonali, P.; Rothwell, J.C. Muscarinic receptor blockade has differential effects on the excitability of intracortical circuits in the human motor cortex. Exp. Brain Res. 2000, 135, 455–461. [Google Scholar] [CrossRef]
- Brown, R.E.; Basheer, R.; McKenna, J.T.; Strecker, R.E.; McCarley, R.W. Control of sleep and wakefulness. Physiol. Rev. 2012, 92, 1087–1187. [Google Scholar] [CrossRef]
- Kuo, M.F.; Grosch, J.; Fregni, F.; Paulus, W.; Nitsche, M.A. Focusing effect of acetylcholine on neuroplasticity in the human motor cortex. J. Neurosci. 2007, 27, 14442–14447. [Google Scholar] [CrossRef]
- Rossi, S.; Hallett, M.; Rossini, P.M.; Pascual-Leone, A. Safety, ethical considerations, and application guidelines for the use of transcranial magnetic stimulation in clinical practice and research. Clin. Neurophysiol. 2009, 120, 2008–2039. [Google Scholar] [CrossRef]
- Buharin, V.E.; Shinohara, M. Corticospinal excitability for flexor carpi radialis decreases with baroreceptor unloading during intentional co-contraction with opposing forearm muscles. Exp. Brain Res. 2019, 237, 1947–1958. [Google Scholar] [CrossRef]
- Sato, D.; Yamashiro, K.; Onishi, H.; Yasuhiro, B.; Shimoyama, Y.; Maruyama, A. Whole-hand water flow stimulation increases motor cortical excitability: A study of transcranial magnetic stimulation and movement-related cortical potentials. J. Neurophysiol. 2015, 113, 822–833. [Google Scholar] [CrossRef]
- Stefan, K.; Wycislo, M.; Classen, J. Modulation of associative human motor cortical plasticity by attention. J. Neurophysiol. 2004, 92, 66–72. [Google Scholar] [CrossRef]
- Sale, M.V.; Ridding, M.C.; Nordstrom, M.A. Cortisol inhibits neuroplasticity induction in human motor cortex. J. Neurosci. 2008, 28, 8285–8293. [Google Scholar] [CrossRef]
- Arai, N.; Okabe, S.; Furubayashi, T.; Terao, Y.; Yuasa, K.; Ugawa, Y. Comparison between short train, monophasic and biphasic repetitive transcranial magnetic stimulation (rTMS) of the human motor cortex. Clin. Neurophysiol. 2005, 116, 605–613. [Google Scholar] [CrossRef]
- Sakai, K.; Ugawa, Y.; Terao, Y.; Hanajima, R.; Furubayashi, T.; Kanazawa, I. Preferential activation of different I waves by transcranial magnetic stimulation with a figure-of-eight-shaped coil. Exp. Brain Res. 1997, 113, 24–32. [Google Scholar] [CrossRef]
- Day, B.L.; Rothwell, J.C.; Thompson, P.D.; Dick, J.P.; Cowan, J.M.; Berardelli, A.; Marsden, C.D. Motor cortex stimulation in intact man. 2. Multiple descending volleys. Brain 1987, 110, 1191–1209. [Google Scholar] [CrossRef]
- Rothwell, J.C.; Thompson, P.D.; Day, B.L.; Dick, J.P.; Kachi, T.; Cowan, J.M.; Marsden, C.D. Motor cortex stimulation in intact man. 1. General characteristics of EMG responses in different muscles. Brain 1987, 110, 1173–1190. [Google Scholar] [CrossRef]
- Kujirai, T.; Caramia, M.D.; Rothwell, J.C.; Day, B.L.; Thompson, P.D.; Ferbert, A.; Wroe, S.; Asselman, P.; Marsden, C.D. Corticocortical inhibition in human motor cortex. J. Physiol. 1993, 471, 501–519. [Google Scholar] [CrossRef]
- Ziemann, U.; Rothwell, J.C.; Ridding, M.C. Interaction between intracortical inhibition and facilitation in human motor cortex. J. Physiol. 1996, 496, 873–881. [Google Scholar] [CrossRef]
- Tokimura, H.; Di Lazzaro, V.; Tokimura, Y.; Oliviero, A.; Profice, P.; Insola, A.; Mazzone, P.; Tonali, P.; Rothwell, J.C. Short latency inhibition of human hand motor cortex by somatosensory input from the hand. J. Physiol. 2000, 523, 503–513. [Google Scholar] [CrossRef]
- Di Lazzaro, V.; Oliviero, A.; Saturno, E.; Dileone, M.; Pilato, F.; Nardone, R.; Ranieri, F.; Musumeci, G.; Fiorilla, T.; Tonali, P. Effects of lorazepam on short latency afferent inhibition and short latency intracortical inhibition in humans. J. Physiol. 2005, 564, 661–668. [Google Scholar] [CrossRef]
- Di Lazzaro, V.; Pilato, F.; Dileone, M.; Profice, P.; Ranieri, F.; Ricci, V.; Bria, P.; Tonali, P.A.; Ziemann, U. Segregating two inhibitory circuits in human motor cortex at the level of GABAA receptor subtypes: A TMS study. Clin. Neurophysiol. 2007, 118, 2207–2214. [Google Scholar] [CrossRef]
- Sato, D.; Yamashiro, K.; Yoshida, T.; Onishi, H.; Shimoyama, Y.; Maruyama, A. Effects of water immersion on short- and long-latency afferent inhibition, short-interval intracortical inhibition, and intracortical facilitation. Clin. Neurophysiol. 2013, 124, 1846–1852. [Google Scholar] [CrossRef]
- Sato, D.; Kaneda, K.; Wakabayashi, H.; Nomura, T. Comparison of 2-year effects of once and twice weekly water exercise on activities of daily living ability of community dwelling frail elderly. Arch. Gerontol. Geriatr. 2009, 49, 123–128. [Google Scholar] [CrossRef]
- Sato, D.; Kaneda, K.; Wakabayashi, H.; Shimoyama, Y.; Baba, Y.; Nomura, T. Comparison of once and twice weekly water exercise on various bodily functions in community-dwelling frail elderly requiring nursing care. Arch. Gerontol. Geriatr. 2011, 52, 331–335. [Google Scholar] [CrossRef]
- Sato, D.; Seko, C.; Hashitomi, T.; Sengoku, Y.; Nomura, T. Differential effects of water-based exercise on the cognitive function in independent elderly adults. Aging Clin. Exp. Res. 2015, 27, 149–159. [Google Scholar] [CrossRef]
- Hamada, M.; Hanajima, R.; Terao, Y.; Okabe, S.; Nakatani-Enomoto, S.; Furubayashi, T.; Matsumoto, H.; Shirota, Y.; Ohminami, S.; Ugawa, Y. Primary motor cortical metaplasticity induced by priming over the supplementary motor area. J. Physiol. 2009, 587, 4845–4862. [Google Scholar] [CrossRef]
- Popa, T.; Velayudhan, B.; Hubsch, C.; Pradeep, S.; Roze, E.; Vidailhet, M.; Meunier, S.; Kishore, A. Cerebellar processing of sensory inputs primes motor cortex plasticity. Cereb. Cortex 2013, 23, 305–314. [Google Scholar] [CrossRef]
- Sato, D.; Yamashiro, K.; Onishi, H.; Baba, Y.; Nakazawa, S.; Shimoyama, Y.; Maruyama, A. Whole-body water flow stimulation to the lower limbs modulates excitability of primary motor cortical regions innervating the hands: A transcranial magnetic stimulation study. PLoS ONE 2014, 9, 102472. [Google Scholar] [CrossRef]
- Kamke, M.R.; Hall, M.G.; Lye, H.F.; Sale, M.V.; Fenlon, L.R.; Carroll, T.J.; Riek, S.; Mattingley, J.B. Visual attentional load influences plasticity in the human motor cortex. J. Neurosci. 2012, 32, 7001–7008. [Google Scholar] [CrossRef]
- Kamke, M.R.; Ryan, A.E.; Sale, M.V.; Campbell, M.E.; Riek, S.; Carroll, T.J.; Mattingley, J.B. Visual spatial attention has opposite effects on bidirectional plasticity in the human motor cortex. J. Neurosci. 2014, 34, 1475–1480. [Google Scholar] [CrossRef]
- Ziemann, U.; Ilic, T.V.; Pauli, C.; Meintzschel, F.; Ruge, D. Learning modifies subsequent induction of long-term potentiation-like and long-term depression-like plasticity in human motor cortex. J. Neurosci. 2004, 24, 1666–1672. [Google Scholar] [CrossRef]
- Kleim, J.A.; Chan, S.; Pringle, E.; Schallert, K.; Procaccio, V.; Jimenez, R.; Cramer, S.C. BDNF val66met polymorphism is associated with modified experience-dependent plasticity in human motor cortex. Nat. Neurosci. 2006, 9, 735–737. [Google Scholar] [CrossRef]
- Cheeran, B.; Talelli, P.; Mori, F.; Koch, G.; Suppa, A.; Edwards, M.; Houlden, H.; Bhatia, K.; Greenwood, R.; Rothwell, J.C. A common polymorphism in the brain-derived neurotrophic factor gene (BDNF) modulates human cortical plasticity and the response to rTMS. J. Physiol. 2008, 586, 5717–5725. [Google Scholar] [CrossRef]
- Wassermann, E.M. Variation in the response to transcranial magnetic brain stimulation in the general population. Clin. Neurophysiol. 2002, 113, 1165–1171. [Google Scholar] [CrossRef]
- Di Lazzaro, V.; Dileone, M.; Pilato, F.; Profice, P.; Oliviero, A.; Mazzone, P.; Insola, A.; Capone, F.; Ranieri, F.; Tonali, P.A. Associative motor cortex plasticity: Direct evidence in humans. Cereb. Cortex 2009, 19, 2326–2330. [Google Scholar] [CrossRef] [PubMed]
- Muller-Dahlhaus, F.; Ziemann, U.; Classen, J. Plasticity resembling spike-timing dependent synaptic plasticity: The evidence in human cortex. Front. Synaptic Neurosci. 2010, 2, 34. [Google Scholar] [CrossRef] [PubMed]
- Hallett, M. Transcranial magnetic stimulation: A primer. Neuron 2007, 55, 187–199. [Google Scholar] [CrossRef] [PubMed]
- Huang, Y.Z.; Edwards, M.J.; Rounis, E.; Bhatia, K.P.; Rothwell, J.C. Theta burst stimulation of the human motor cortex. Neuron 2005, 45, 201–206. [Google Scholar] [CrossRef] [PubMed]
- Di Lazzaro, V.; Profice, P.; Ranieri, F.; Capone, F.; Dileone, M.; Oliviero, A.; Pilato, F. I-wave origin and modulation. Brain Stimul. 2012, 5, 512–525. [Google Scholar] [CrossRef] [PubMed]
- Strigaro, G.; Hamada, M.; Murase, N.; Cantello, R.; Rothwell, J.C. Interaction between different interneuron networks involved in human associative plasticity. Brain Stimul. 2014, 7, 658–664. [Google Scholar] [CrossRef]
- Todd, G.; Flavel, S.C.; Ridding, M.C. Priming theta-burst repetitive transcranial magnetic stimulation with low- and high-frequency stimulation. Exp. Brain Res. 2009, 195, 307–315. [Google Scholar] [CrossRef]
- Hirotsu, I.; Hori, N.; Katsuda, N.; Ishihara, T. Effect of anticholinergic drug on long-term potentiation in rat hippocampal slices. Brain Res. 1989, 482, 194–197. [Google Scholar] [CrossRef]
- Blitzer, R.D.; Gil, O.; Landau, E.M. Cholinergic stimulation enhances long-term potentiation in the CA1 region of rat hippocampus. Neurosci. Lett. 1990, 119, 207–210. [Google Scholar] [CrossRef]
- Huerta, P.T.; Lisman, J.E. Heightened synaptic plasticity of hippocampal CA1 neurons during a cholinergically induced rhythmic state. Nature 1993, 364, 723–725. [Google Scholar] [CrossRef] [PubMed]
- Brocher, S.; Artola, A.; Singer, W. Agonists of cholinergic and noradrenergic receptors facilitate synergistically the induction of long-term potentiation in slices of rat visual cortex. Brain Res. 1992, 573, 27–36. [Google Scholar] [CrossRef]
- Hasselmo, M.E.; Barkai, E. Cholinergic modulation of activity-dependent synaptic plasticity in the piriform cortex and associative memory function in a network biophysical simulation. J. Neurosci. 1995, 15, 6592–6604. [Google Scholar] [CrossRef] [PubMed]
- Meintzschel, F.; Ziemann, U. Modification of practice-dependent plasticity in human motor cortex by neuromodulators. Cereb. Cortex 2006, 16, 1106–1115. [Google Scholar] [CrossRef] [PubMed]
- Sawaki, L.; Boroojerdi, B.; Kaelin-Lang, A.; Burstein, A.H.; Butefisch, C.M.; Kopylev, L.; Davis, B.; Cohen, L.G. Cholinergic influences on use-dependent plasticity. J. Neurophysiol. 2002, 87, 166–171. [Google Scholar] [CrossRef]
- Blokland, A.; Honig, W.; Raaijmakers, W.G. Effects of intra-hippocampal scopolamine injections in a repeated spatial acquisition task in the rat. Psychopharmacology 1992, 109, 373–376. [Google Scholar] [CrossRef]
- Winters, B.D.; Bussey, T.J. Removal of cholinergic input to perirhinal cortex disrupts object recognition but not spatial working memory in the rat. Eur. J. Neurosci. 2005, 21, 2263–2270. [Google Scholar] [CrossRef]
- Patil, M.M.; Linster, C.; Lubenov, E.; Hasselmo, M.E. Cholinergic agonist carbachol enables associative long-term potentiation in piriform cortex slices. J. Neurophysiol. 1998, 80, 2467–2474. [Google Scholar] [CrossRef]
- Rasmusson, D.D.; Dykes, R.W. Long-term enhancement of evoked potentials in cat somatosensory cortex produced by co-activation of the basal forebrain and cutaneous receptors. Exp. Brain Res. 1988, 70, 276–286. [Google Scholar] [CrossRef]
- Tremblay, N.; Warren, R.A.; Dykes, R.W. Electrophysiological studies of acetylcholine and the role of the basal forebrain in the somatosensory cortex of the cat. II. Cortical neurons excited by somatic stimuli. J. Neurophysiol. 1990, 64, 1212–1222. [Google Scholar] [CrossRef]
- Hordacre, B.; Goldsworthy, M.R.; Vallence, A.M.; Darvishi, S.; Moezzi, B.; Hamada, M.; Rothwell, J.C.; Ridding, M.C. Variability in neural excitability and plasticity induction in the human cortex: A brain stimulation study. Brain Stimul. 2017, 10, 588–595. [Google Scholar] [CrossRef] [PubMed]








| Experiment 1 | ||
|---|---|---|
| Participants’ Characteristics | ||
| Number | 18 (female 3, male 15) | |
| Age (years old) | 21.37 ± 0.18 | |
| TMS and ES Parameter | ||
| No Priming | Priming WI | |
| RMT (%) | 42.28 ± 1.93 | 40.72 ± 1.68 |
| AMTpa (%) | 34.83 ± 1.55 | 32.61 ± 1.29 |
| AMTap (%) | 49.89 ± 2.24 | 47.50 ± 2.00 |
| AMTlm (%) | 37.56 ± 1.67 | 36.50 ± 1.26 |
| TS1mV_base | 52.72 ± 2.37 | 52.83 ± 2.23 |
| ST (mA) | 3.63 ± 0.28 | 3.73 ± 0.34 |
| MEP Latency | ||
| PA (ms) | 22.10 ± 0.26 | 21.96 ± 0.25 |
| AP (ms) | 24.17 ± 0.39 | 23.98 ± 0.38 |
| LM (ms) | 20.77 ± 0.26 | 20.59 ± 0.25 |
| Latency Differences | ||
| PA–LM (ms) | 1.33 ± 0.17 | 1.38 ± 0.19 |
| AP–LM (ms) | 3.40 ± 0.32 | 3.39 ± 0.31 |
| AP–PA (ms) | 2.08 ± 0.25 | 2.02 ± 0.28 |
| Experiment 2 | ||
| Participants’ Characteristics | ||
| Number | 18 (female 3, male 15) | |
| Age (years old) | 21.37 ± 0.18 | |
| N20 (msec) | 18.62 ± 0.16 | |
| TMS and ES Parameter | ||
| CON Trial | WI Trial | |
| RMT (%) | 45.29 ± 1.65 | 44.00 ± 1.02 |
| AMTpa (%) | 35.12 ± 1.26 | 33.61 ± 0.83 |
| TS1mV_base | 58.88 ± 1.99 | 57.44 ± 1.92 |
| ST (mA) | 3.35 ± 0.21 | 3.67 ± 0.20 |
| CSSICI (%) | 31.46 ± 1.22 | 30.48 ± 0.71 |
| CSSAI (mA) | 10.04 ± 0.64 | 10.97 ± 0.55 |
| Experiment 3 | ||
| Participants’ Characteristics | ||
| Number | 9 (female 1, male 8) | |
| Age (y.o.) | 21.89 ± 0.31 | |
| RMT (%) | 42.71 ± 1.77 | |
| Experiment 1 | ||
|---|---|---|
| r | p | |
| RMT | −0.472 | 0.048 * |
| AMTpa | −0.582 | 0.011 * |
| AMTap | −0.351 | 0.154 |
| AMTlm | −0.348 | 0.157 |
| TS1mV_base | −0.437 | 0.047 * |
| ST | 0.288 | 0.246 |
| PA latency | 0.169 | 0.502 |
| AP latency | 0.040 | 0.876 |
| LM latency | 0.095 | 0.706 |
| PA–LM | 0.127 | 0.615 |
| AP–LM | −0.019 | 0.940 |
| Experiment 2 | ||
| r | p | |
| SICI3ms | −0.24 | 0.333 |
| SAIN20+2 | −0.15 | 0.566 |
| SAIN20+4 | −0.23 | 0.368 |
| SAI25ms | −0.53 | 0.022 * |
© 2019 by the authors. Licensee MDPI, Basel, Switzerland. This article is an open access article distributed under the terms and conditions of the Creative Commons Attribution (CC BY) license (http://creativecommons.org/licenses/by/4.0/).
Share and Cite
Sato, D.; Yamashiro, K.; Yamazaki, Y.; Ikarashi, K.; Onishi, H.; Baba, Y.; Maruyama, A. Priming Effects of Water Immersion on Paired Associative Stimulation-Induced Neural Plasticity in the Primary Motor Cortex. Int. J. Environ. Res. Public Health 2020, 17, 215. https://doi.org/10.3390/ijerph17010215
Sato D, Yamashiro K, Yamazaki Y, Ikarashi K, Onishi H, Baba Y, Maruyama A. Priming Effects of Water Immersion on Paired Associative Stimulation-Induced Neural Plasticity in the Primary Motor Cortex. International Journal of Environmental Research and Public Health. 2020; 17(1):215. https://doi.org/10.3390/ijerph17010215
Chicago/Turabian StyleSato, Daisuke, Koya Yamashiro, Yudai Yamazaki, Koyuki Ikarashi, Hideaki Onishi, Yasuhiro Baba, and Atsuo Maruyama. 2020. "Priming Effects of Water Immersion on Paired Associative Stimulation-Induced Neural Plasticity in the Primary Motor Cortex" International Journal of Environmental Research and Public Health 17, no. 1: 215. https://doi.org/10.3390/ijerph17010215
APA StyleSato, D., Yamashiro, K., Yamazaki, Y., Ikarashi, K., Onishi, H., Baba, Y., & Maruyama, A. (2020). Priming Effects of Water Immersion on Paired Associative Stimulation-Induced Neural Plasticity in the Primary Motor Cortex. International Journal of Environmental Research and Public Health, 17(1), 215. https://doi.org/10.3390/ijerph17010215

