Association of ACTN3 Polymorphism with Body Somatotype and Cardiorespiratory Fitness in Young Healthy Adults
Abstract
1. Introduction
2. Materials and Methods
2.1. Study Population
2.2. Extraction of Genomic DNA
2.3. ACTN3 Genotyping
2.4. Statistical Analysis
3. Results
4. Discussion
5. Conclusions
Author Contributions
Funding
Conflicts of Interest
References
- Pickering, C.; Kiely, J. ACTN3: More than Just a Gene for Speed. Front. Physiol. 2017, 8, 1080. [Google Scholar] [CrossRef]
- Fattahi, Z.; Najmabadi, H. Prevalence of ACTN3 (the athlete gene) R577X polymorphism in Iranian population. Iran. Red Crescent Med. J. 2012, 14, 617–622. [Google Scholar] [PubMed]
- Blanchard, A.; Ohanian, V.; Critchley, D. The structure and function of alpha-actinin. J. Muscle Res. Cell Motil. 1989, 10, 280–289. [Google Scholar] [CrossRef]
- Yang, N.; MacArthur, D.G.; Gulbin, J.P.; Hahn, A.G.; Beggs, A.H.; Easteal, S.; North, K. ACTN3 genotype is associated with human elite athletic performance. Am. J. Hum. Genet. 2003, 73, 627–631. [Google Scholar] [CrossRef]
- Murphy, A.C.H.; Young, P.W. The actinin family of actin cross-linking proteins—A genetic perspective. Cell Biosci. 2015, 5, 49. [Google Scholar] [CrossRef] [PubMed]
- North, K.N.; Yang, N.; Wattanasirichaigoon, D.; Mills, M.; Easteal, S.; Beggs, A.H. A common nonsense mutation results in alpha-actinin-3 deficiency in the general population. Nat. Genet. 1999, 21, 353–354. [Google Scholar] [CrossRef]
- Broos, S.; Malisoux, L.; Theisen, D.; van Thienen, R.; Ramaekers, M.; Jamart, C.; Deldicque, L.; Thomis, M.A.; Francaux, M. Evidence for ACTN3 as a Speed Gene in Isolated Human Muscle Fibers. PLoS ONE 2016, 11, e0150594. [Google Scholar] [CrossRef]
- Clarkson, P.M.; Devaney, J.M.; Gordish-Dressman, H.; Thompson, P.D.; Hubal, M.J.; Urso, M.; Price, T.B.; Angelopoulos, T.J.; Gordon, P.M.; Moyna, N.M.; et al. ACTN3 genotype is associated with increases in muscle strength in response to resistance training in women. J. Appl. Physiol. 2005, 99, 154–163. [Google Scholar] [CrossRef] [PubMed]
- Guth, L.M.; Roth, S.M. Genetic influence on athletic performance. Curr. Opin. Pediatr. 2013, 25, 653–658. [Google Scholar] [CrossRef]
- Surninaga, R.; Matsuo, M.; Takeshima, Y.; Nakamura, H.; Wada, H. Nonsense mutation of the alpha-actinin-3 gene is not associated with dystrophinopathy. Am. J. Med. Genet. 2000, 92, 77–78. [Google Scholar] [CrossRef]
- Druzhevskaya, A.M.; Ahmetov, I.I.; Astratenkova, I.V.; Rogozkin, V.A. Association of the ACTN3 R577X polymorphism with power athlete status in Russians. Eur. J. Appl. Physiol. 2008, 103, 631–634. [Google Scholar] [CrossRef] [PubMed]
- Papadimitriou, I.D.; Papadopoulos, C.; Kouvatsi, A.; Triantaphyllidis, C. The ACTN3 gene in elite Greek track and field athletes. Int. J. Sports Med. 2008, 29, 352–355. [Google Scholar] [CrossRef]
- Santiago, C.; Gonzalez-Freire, M.; Serratosa, L.; Morate, F.J.; Meyer, T.; Gomez-Gallego, F.; Lucia, A. ACTN3 genotype in professional soccer players. Br. J. Sports Med. 2008, 42, 71–73. [Google Scholar] [CrossRef] [PubMed]
- Vincent, B.; De Bock, K.; Ramaekers, M.; Van den Eede, E.; Van Leemputte, M.; Hespel, P.; Thomis, M.A. ACTN3 (R577X) genotype is associated with fiber type distribution. Physiol. Genomics 2007, 32, 58–63. [Google Scholar] [CrossRef]
- Moran, C.N.; Yang, N.; Bailey, M.E.S.; Tsiokanos, A.; Jamurtas, A.; MacArthur, D.G.; North, K.; Pitsiladis, Y.P.; Wilson, R.H. Association analysis of the ACTN3 R577X polymorphism and complex quantitative body composition and performance phenotypes in adolescent Greeks. Eur. J. Hum. Genet. 2007, 15, 88–93. [Google Scholar] [CrossRef] [PubMed]
- Leger, L.A.; Mercier, D.; Gadoury, C.; Lambert, J. The multistage 20 metre shuttle run test for aerobic fitness. J. Sports Sci. 1988, 6, 93–101. [Google Scholar] [CrossRef] [PubMed]
- World Health Organization (WHO). Waist Circumference and Waist-hip Ratio: Report of a WHO Expert Consultation, Geneva, 8–11 December 2008; World Health Organization: Geneva, Switzerland, 2011. [Google Scholar]
- Carter, J.E.L. The Heath-Carter Anthropometric Somatotype-Instruction Manual. Available online: htth/cmvwsomatotypeorg/Heath—CarterManual.pdf (accessed on 31 January 2013).
- Rahmawati, N.T.; Hastuti, J.; Ashizawa, K. Growth and somatotype of urban and rural Javanese children in Yogyakarta and Bantul, Indonesia. Anthropol. Sci. 2004, 112, 99–108. [Google Scholar] [CrossRef]
- Carter, J.E.L.; Heath, B.H. Somatotyping Development Applications; Cambridge University Press: Cambridge, UK, 1990. [Google Scholar]
- Tóth, T.; Michalíková, M.; Bednarčíková, L.; Živčák, J.; Kneppo, P. Somatotypes in sport. Acta Mech. Autom. 2014, 8, 27. [Google Scholar] [CrossRef]
- Grealy, R.; Herruer, J.; Smith, C.L.E.; Hiller, D.; Haseler, L.J.; Griffiths, L.R. Evaluation of a 7-Gene Genetic Profile for Athletic Endurance Phenotype in Ironman Championship Triathletes. PLoS ONE 2015, 10, e0145171. [Google Scholar] [CrossRef]
- Weyerstrass, J.; Stewart, K.; Wesselius, A.; Zeegers, M. Nine genetic polymorphisms associated with power athlete status - A Meta-Analysis. J. Sci. Med. Sport 2018, 21, 213–220. [Google Scholar] [CrossRef]
- Pereira, A.; Costa, A.M.; Leitao, J.C.; Monteiro, A.M.; Izquierdo, M.; Silva, A.J.; Bastos, E.; Marques, M.C. The influence of ACE ID and ACTN3 R577X polymorphisms on lower-extremity function in older women in response to high-speed power training. BMC Geriatr. 2013, 13, 131. [Google Scholar] [CrossRef]
- Broos, S.; Malisoux, L.; Theisen, D.; Francaux, M.; Deldicque, L.; Thomis, M.A. Role of alpha-actinin-3 in contractile properties of human single muscle fibers: A case series study in paraplegics. PLoS ONE 2012, 7, e49281. [Google Scholar] [CrossRef]
- Deschamps, C.L.; Connors, K.E.; Klein, M.S.; Johnsen, V.L.; Shearer, J.; Vogel, H.J.; Devaney, J.M.; Gordish-Dressman, H.; Many, G.M.; Barfield, W.; et al. The ACTN3 R577X Polymorphism Is Associated with Cardiometabolic Fitness in Healthy Young Adults. PLoS ONE 2015, 10, e0130644. [Google Scholar] [CrossRef]
- Papadimitriou, I.D.; Lockey, S.J.; Voisin, S.; Herbert, A.J.; Garton, F.; Houweling, P.J.; Cieszczyk, P.; Maciejewska-Skrendo, A.; Sawczuk, M.; Massidda, M.; et al. No association between ACTN3 R577X and ACE I/D polymorphisms and endurance running times in 698 Caucasian athletes. BMC Genom. 2018, 19, 13. [Google Scholar] [CrossRef]
- Fedovskaya, O.; Cieszczyk, P.; Leońska-Duniec, A.; Buryta, M.; Grenda, A.; Wiażewicz, A. Role and Importance of the R577X Polymorphism in the ACTN3 Gene in High Elite Polish Rowers; Zeszyty Naukowe Uniwersytetu Szczecińskiego: Szczecin, Poland, 2012. [Google Scholar]
- Fedotovskaya, O.; Eider, J.; Cieszczyk, P.; Ahmetov, I.; Moska, W.; Sawczyn, S.; Ficek, K.; Leonska-Duniec, A.; Maciejewska-Karlowska, A.; Sawczuk, M.; et al. Association of muscle-specific creatine kinase (CKM) gene polymorphism with combat athlete status in Polish and Russian cohorts. Arch. Budo 2013, 9, 233–237. [Google Scholar]
- Grenda, A.; Leonska-Duniec, A.; Kaczmarczyk, M.; Ficek, K.; Krol, P.; Cieszczyk, P.; Zmijewski, P. Interaction Between ACE I/D and ACTN3 R557X Polymorphisms in Polish Competitive Swimmers. J. Hum. Kinet. 2014, 42, 127–136. [Google Scholar] [CrossRef]
- Orysiak, J.; Busko, K.; Michalski, R.; Mazur-Rozycka, J.; Gajewski, J.; Malczewska-Lenczowska, J.; Sitkowski, D.; Pokrywka, A. Relationship between ACTN3 R577X polymorphism and maximal power output in elite Polish athletes. Med. Lith. 2014, 50, 303–308. [Google Scholar] [CrossRef]
- Cieszczyk, P.; Eider, J.; Ostanek, M.; Arczewska, A.; Leonska-Duniec, A.; Sawczyn, S.; Ficek, K.; Krupecki, K. Association of the ACTN3 R577X Polymorphism in Polish Power-Orientated Athletes. J. Hum. Kinet. 2011, 28, 55–61. [Google Scholar] [CrossRef]
- Pasqua, L.A.; Bueno, S.; Matsuda, M.; Marquezini, M.V.; Lima-Silva, A.E.; Saldiva, P.H.N.; Bertuzzi, R. The genetics of human running: ACTN3 polymorphism as an evolutionary tool improving the energy economy during locomotion. Ann. Hum. Biol. 2016, 43, 255–260. [Google Scholar] [CrossRef]
- Kushmerick, M.J.; Meyer, R.A.; Brown, T.R. Regulation of oxygen-consumption in fast-twitch and slow-twitch muscle. Am. J. Physiol. 1992, 263, C598–C606. [Google Scholar] [CrossRef]
- Shah, B.N. On the 50th anniversary of the first description of a multistage exercise treadmill test: Re-visiting the birth of the ‘Bruce protocol’. Heart 2013, 99, 1793–1794. [Google Scholar] [CrossRef] [PubMed]
- Pimenta, E.M.; Coelho, D.B.; Veneroso, C.E.; Barros Coelho, E.J.; Cruz, I.R.; Morandi, R.F.; Pussieldi, G.D.; Carvalho, M.R.; Garcia, E.S.; De Paz Fernandez, J.A. Effect of ACTN3 gene on strength and endurance in soccer players. J. Strength Cond. Res. 2013, 27, 3286–3292. [Google Scholar] [CrossRef] [PubMed]
- Gomez-Gallego, F.; Santiago, C.; Gonzalez-Freire, M.; Muniesa, C.A.; del Valle, M.F.; Perez, M.; Foster, C.; Lucia, A. Endurance Performance: Genes or Gene Combinations? Int. J. Sports Med. 2009, 30, 66–72. [Google Scholar] [CrossRef] [PubMed]
- Ahmetov, I.I.; Druzhevskaya, A.M.; Astratenkova, I.V.; Popov, D.V.; Vinogradova, O.L.; Rogozkin, V.A. The ACTN3 R577X polymorphism in Russian endurance athletes. Br. J. Sports Med. 2010, 44, 649–652. [Google Scholar] [CrossRef] [PubMed]
- Ellis, L.; Collins, C.; Brown, J.; Pooley, W. Is AGT The New Gene For Muscle Performance? An Analysis of AGT, ACTN3, PPARA and IGF2 on Athletic Performance, Muscle Size and Body Fat Percentage in Caucasian Resistance Training Males. J. Athl. Enhanc. 2017, 6. [Google Scholar] [CrossRef]
- Güereca-Arvizuo, J.; Ramos-Jiménez, A.; Flores-Martínez, N.; Reyes-Leal, G.; Hérnandez-Torres, R.P. ACTN3 genotypes and their association with athletes somatotype: Results of a pilot study. ECORFAN Ecuad. J. 2017, 4, 10–17. [Google Scholar]
- Lucia, A.; Gomez-Gallego, F.; Santiago, C.; Bandres, F.; Earnest, C.; Rabadan, M.; Alonso, J.M.; Hoyos, J.; Cordova, A.; Villa, G.; et al. ACTN3 genotype in professional endurance cyclists. Int. J. Sports Med. 2006, 27, 880–884. [Google Scholar] [CrossRef] [PubMed]
- Niemi, A.K.; Majamaa, K. Mitochondrial DNA and ACTN3 genotypes in Finnish elite endurance and sprint athletes. Eur. J. Hum. Genet. 2005, 13, 965–969. [Google Scholar] [CrossRef]
- Pasqua, L.A.; Bueno, S.; Artioli, G.G.; Lancha, A.H.; Matsuda, M.; Marquezini, M.V.; Lima-Silva, A.E.; Saldiva, P.H.N.; Bertuzzi, R. Influence of ACTN3 R577X polymorphism on ventilatory thresholds related to endurance performance. J. Sports Sci. 2016, 34, 163–170. [Google Scholar] [CrossRef] [PubMed]
- Massidda, M.; Voisin, S.; Culigioni, C.; Piras, F.; Cugia, P.; Yan, X.; Eynon, N.; Calo, C.M. ACTN3 R577X Polymorphism Is Associated with the Incidence and Severity of Injuries in Professional Football Players. Clin. J. Sport Med. Off. J. Can. Acad. Sport Med. 2019, 29, 57–61. [Google Scholar] [CrossRef] [PubMed]
- Houweling, P.J.; Papadimitriou, I.D.; Seto, J.T.; Perez, L.M.; Del Coso, J.; North, K.N.; Lucia, A.; Eynon, N. Is evolutionary loss our gain? The role of ACTN3 p.Arg577Ter (R577X) genotype in athletic performance, ageing, and disease. Hum. Mutat. 2018, 39, 1774–1787. [Google Scholar] [CrossRef]
- Ruiz, J.R.; Santiago, C.; Yvert, T.; Muniesa, C.; Diaz-Urena, G.; Bekendam, N.; Fiuza-Luces, C.; Gomez-Gallego, F.; Femia, P.; Lucia, A. ACTN3 genotype in Spanish elite swimmers: No “heterozygous advantage”. Scand. J. Med. Sci. Sports 2013, 23, e162–e167. [Google Scholar] [CrossRef]
- Eynon, N.; Duarte, J.A.; Oliveira, J.; Sagiv, M.; Yamin, C.; Meckel, Y.; Goldhammer, E. ACTN3 R577X Polymorphism and Israeli Top-level Athletes. Int. J. Sports Med. 2009, 30, 695–698. [Google Scholar] [CrossRef] [PubMed]
- Ruiz, J.R.; Gomez-Gallego, F.; Santiago, C.; Gonzalez-Freire, M.; Verde, Z.; Foster, C.; Lucia, A. Is there an optimum endurance polygenic profile? J. Physiol. Lond. 2009, 587, 1527–1534. [Google Scholar] [CrossRef]
- Saunders, C.J.; September, A.V.; Xenophontos, S.L.; Cariolou, M.A.; Anastassiades, L.C.; Noakes, T.D.; Collins, M. No association of the ACTN3 gene R577X polymorphism with endurance performance in ironman triathlons. Ann. Hum. Genet. 2007, 71, 777–781. [Google Scholar] [CrossRef] [PubMed]
- Doring, F.E.; Onur, S.; Geisen, U.; Boulay, M.R.; Perusse, L.; Rankinen, T.; Rauramaa, R.; Wolfahrt, B.; Bouchard, C. ACTN3 R577X and other polymorphisms are not associated with elite endurance athlete status in the Genathlete study. J. Sports Sci. 2010, 28, 1355–1359. [Google Scholar] [CrossRef] [PubMed]



| Age (y) | Mass (kg) | Height (cm) | BMI (kg m−2) | Distance (m) | HRmax (bpm) | VO2max (ml/kg/min) | |
|---|---|---|---|---|---|---|---|
| Female N = 149 | 20.3 ± 1.2 | 59.3 ± 9.3 | 165.3 ± 5.7 | 21.6 ± 3.2 | 953.6 ± 352.3 | 189.6 ± 8.8 | 44.5 ± 8.3 |
| Male N = 155 | 20.7 ± 1.8 | 75.6 ± 12.1 | 177.8 ± 6.8 | 23.9 ± 3.8 | 1522.6 ± 430.9 | 194.2 ± 8.4 | 54.1 ± 8.0 |
| Test parameters | Males (N = 155RR = 56; RX = 75; XX = 24) | Females (N = 149, RR = 43; RX = 81; XX = 25) | |
|---|---|---|---|
| Percentage distribution of genotypes (%) | RR | 36.13 | 28.86 |
| RX | 48.39 | 54.36 | |
| XX | 15.48 | 16.78 | |
| BMI (kg m−2) | RR | 23.7 ± 3.4 | 21.4 ± 2.59 |
| RX | 23.6 ± 4.0 | 21.9 ± 3.35 | |
| XX | 25.4 ± 3.6 | 21.1 ± 3.32 | |
| P value | 0.0816 | 0.5828 | |
| Fat (%) | RR | 15.3 ± 5.5 | 22.9 ± 6.44 |
| RX | 14.9 ± 6.2 | 24.4 ± 6.96 | |
| XX | 17.3 ± 5.3 | 22.3 ± 7.76 | |
| P value | 0.0683 | 0.3529 | |
| Fat (kg) | RR | 11.9 ± 5.6 | 13.7 ± 5.29 |
| RX | 11.9 ± 7.4 | 15.4 ±7.17 | |
| XX | 14.3 ± 6.4 | 13.5 ± 6.92 | |
| P value | 0.0641 | 0.3152 | |
| WHtR | RR | 0.45 ± 0.04 | 0.42 ± 0.03 |
| RX | 0.45 ± 0.05 | 0.42 ± 0.04 | |
| XX | 0.47 ± 0.05 | 0.42 ± 0.05 | |
| p value | 0.4247 | 0.8194 | |
| WHR | RR | 0.81 ± 0.03 | 0.72 ± 0.03 |
| RX | 0.83 ± 0.05 | 0.72 ± 0.04 | |
| XX | 0.82 ± 0.04 | 0.72 ± 0.05 | |
| p value | 0.3160 | 0.9257 | |
| VO2max (ml/kg/min) | RR | 54.5 ± 8.5 | 45.6 ± 7.40 |
| RX | 54.8 ± 7.7 | 43.9 ± 9.25 | |
| XX | 51.5 ± 13.4 | 45.0 ± 6.12 | |
| p value | 0.6908 | 0.5763 | |
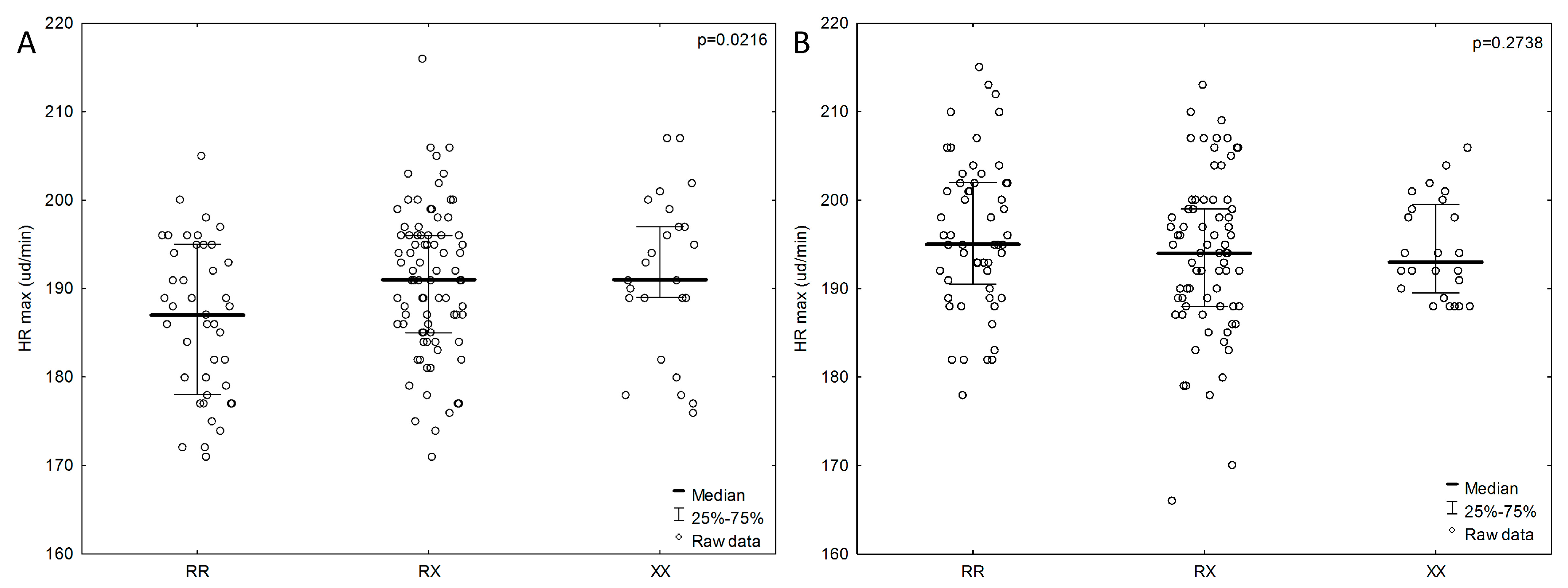
| HRmax (bpm) | RR | 196.0 ± 8.5 | 186.3 ± 8.91 |
| RX | 193.7 ± 8.9 | 190.9 ± 8.26 | |
| XX | 194.5 ± 5.5 | 191.5 ± 8.89 | |
| p value | 0.2738 | 0.0218 | |
| Distance (m) | RR | 1590.4 ± 408.2 | 953.0 ± 356.15 |
| RX | 1539.5 ± 429.2 | 966.0 ± 364.31 | |
| XX | 1505.8 ± 478.0 | 912.8 ± 321.59 | |
| p value | 0.8765 | 0.8816 | |
| Ectomorphy (%) | RR | 39.02 | 29.39 |
| RX | 53.66 | 46.34 | |
| XX | 7.32 | 24.39 | |
| p value | 0.3752 | 0.3720 | |
| Mesomorphy (%) | RR | 35.71 | 35.29 |
| RX | 44.90 | 44.12 | |
| XX | 19.39 | 20.59 | |
| p value | 0.3752 | 0.3720 | |
| Endomorphy (%) | RR | 35.71 | 25.81 |
| RX | 57.14 | 61.29 | |
| XX | 7.14 | 12.90 | |
| p value | 0.3752 | 0.3720 |
| Sex | Genotypes | Mesomorphy | Endomorphy | Ectomorphy |
|---|---|---|---|---|
| Males | RR | 62.50% | 8.93% | 28.57% |
| RX | 59.46% | 10.81% | 29.73% | |
| XX | 82.61% | 4.35% | 13.04% | |
| Females | RR | 30.00% | 40.00% | 30.00% |
| RX | 20.83% | 52.78% | 26.39% | |
| XX | 28.00% | 32.00% | 40.00% |
© 2019 by the authors. Licensee MDPI, Basel, Switzerland. This article is an open access article distributed under the terms and conditions of the Creative Commons Attribution (CC BY) license (http://creativecommons.org/licenses/by/4.0/).
Share and Cite
Potocka, N.; Penar-Zadarko, B.; Skrzypa, M.; Braun, M.; Zadarko-Domaradzka, M.; Ozimek, M.; Nizioł-Babiarz, E.; Barabasz, Z.; Zawlik, I.; Zadarko, E. Association of ACTN3 Polymorphism with Body Somatotype and Cardiorespiratory Fitness in Young Healthy Adults. Int. J. Environ. Res. Public Health 2019, 16, 1489. https://doi.org/10.3390/ijerph16091489
Potocka N, Penar-Zadarko B, Skrzypa M, Braun M, Zadarko-Domaradzka M, Ozimek M, Nizioł-Babiarz E, Barabasz Z, Zawlik I, Zadarko E. Association of ACTN3 Polymorphism with Body Somatotype and Cardiorespiratory Fitness in Young Healthy Adults. International Journal of Environmental Research and Public Health. 2019; 16(9):1489. https://doi.org/10.3390/ijerph16091489
Chicago/Turabian StylePotocka, Natalia, Beata Penar-Zadarko, Marzena Skrzypa, Marcin Braun, Maria Zadarko-Domaradzka, Mariusz Ozimek, Edyta Nizioł-Babiarz, Zbigniew Barabasz, Izabela Zawlik, and Emilian Zadarko. 2019. "Association of ACTN3 Polymorphism with Body Somatotype and Cardiorespiratory Fitness in Young Healthy Adults" International Journal of Environmental Research and Public Health 16, no. 9: 1489. https://doi.org/10.3390/ijerph16091489
APA StylePotocka, N., Penar-Zadarko, B., Skrzypa, M., Braun, M., Zadarko-Domaradzka, M., Ozimek, M., Nizioł-Babiarz, E., Barabasz, Z., Zawlik, I., & Zadarko, E. (2019). Association of ACTN3 Polymorphism with Body Somatotype and Cardiorespiratory Fitness in Young Healthy Adults. International Journal of Environmental Research and Public Health, 16(9), 1489. https://doi.org/10.3390/ijerph16091489

