The Role of Motor Learning on Measures of Physical Requirements and Motor Variability During Repetitive Screwing
Abstract
1. Introduction
2. Materials and Methods
2.1. Study Population
2.2. Experimental Design
2.3. Experimental Design
2.3.1. Muscular Activity
Normalization
Parameters
2.3.2. Heart Rate
2.3.3. Forearm Acceleration
2.4. Statistical Analysis
3. Results
3.1. Muscular Fatigue
3.2. Muscular Activity
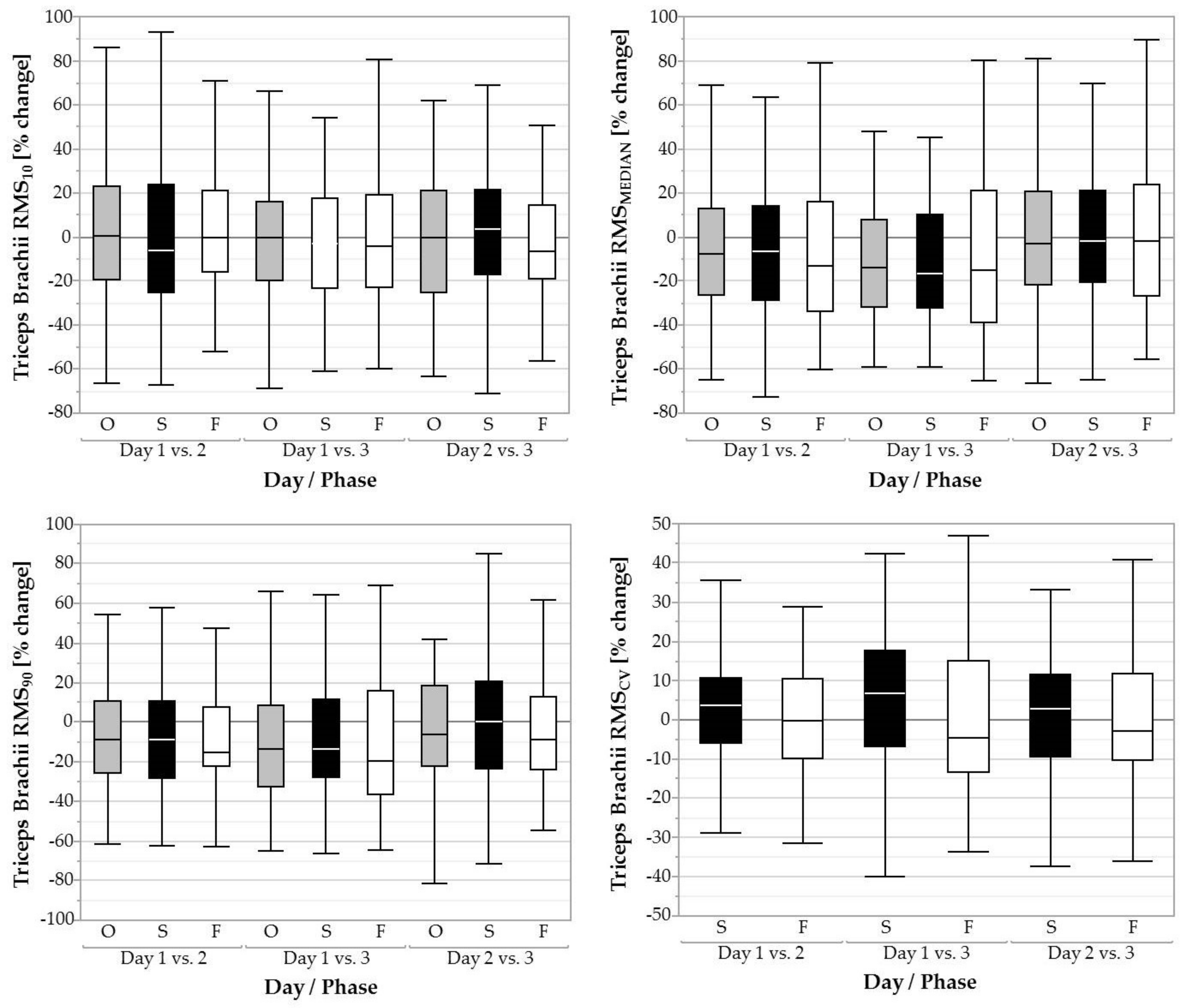
3.2.1. M. Triceps Brachii
3.2.2. M. Biceps Brachii
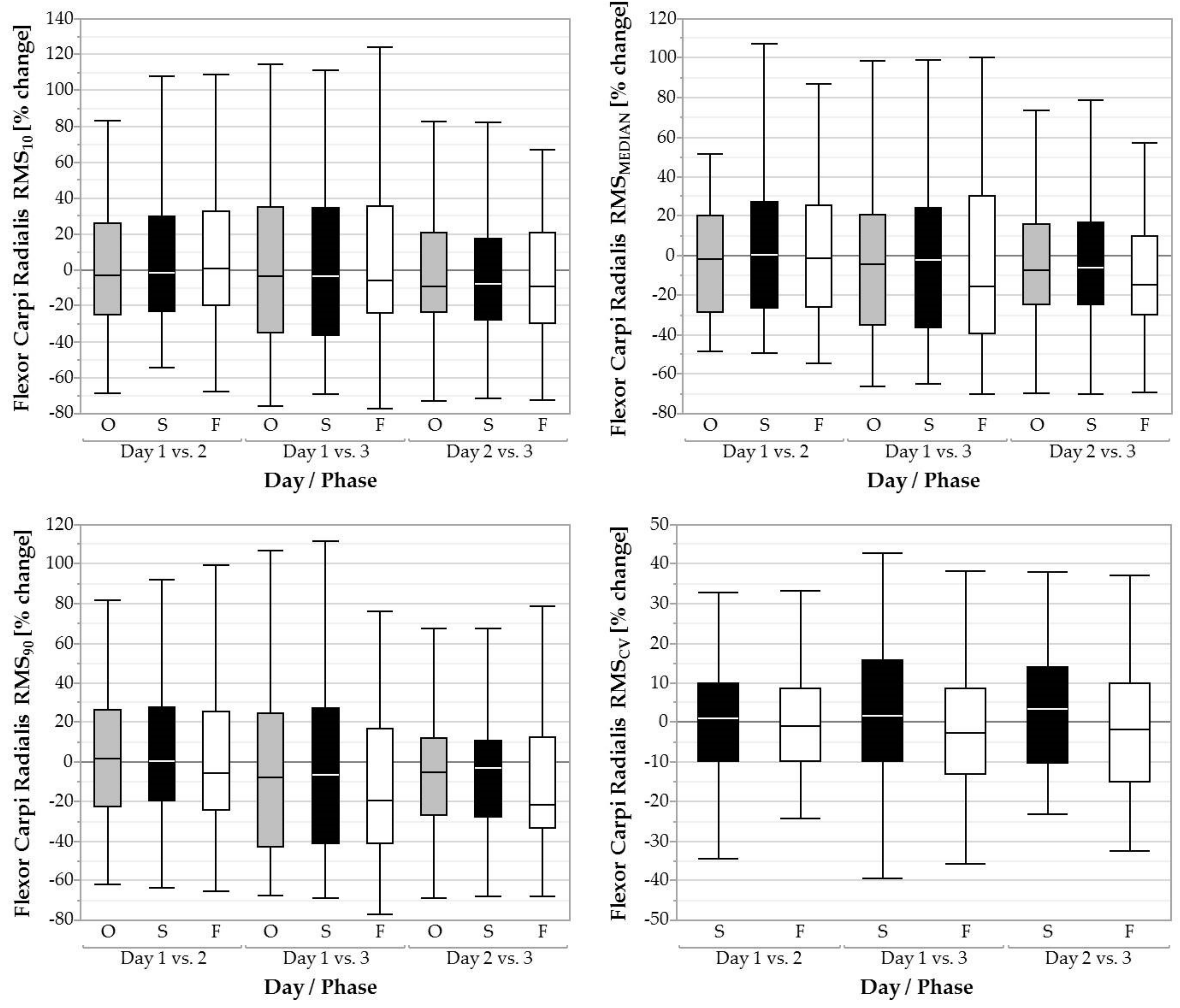
3.2.3. M. Flexor Carpi Radialis
3.2.4. M. Extensor Digitorum
3.3. Heart Rate
3.4. Forearm Acceleration
4. Discussion
4.1. Biomechanical and Cardiovascular Control Strategies
4.2. Motor Variability
4.3. Practical Implications
4.3.1. Importance of Familiarization and Randomization
4.3.2. Motor Variability in An Occupational Context
4.4. Methodological Considerations
5. Conclusions
Supplementary Materials
Author Contributions
Funding
Acknowledgments
Conflicts of Interest
References
- Wolpert, D.M.; Diedrichsen, J.; Flanagan, J.R. Principles of sensorimotor learning. Nat. Rev. Neuros. 2011, 12, 739–751. [Google Scholar] [CrossRef] [PubMed]
- Sutton, R.S.; Barto, A.G. Reinforcement Learning: An Introduction; MIT Press: Cambridge, MA, USA, 1998. [Google Scholar]
- Bernshteĭn, N.A. The Co-ordination And Regulation of Movements; Pergamon Press: Oxford, UK, 1967. [Google Scholar]
- Scholz, J.P. Dynamic pattern theory--some implications for therapeutics. Phys. Therap. 1990, 70, 827–843. [Google Scholar] [CrossRef]
- Newell, K.M.; Slifkin, A.B. The nature of movement variability. In Motor Behavior and Human Skill: A Multidisciplinary Approach; Piek, J.P., Ed.; Human Kinetics: New York, NY, USA, 1998. [Google Scholar]
- Madeleine, P.; Lundager, B.; Voigt, M.; Arendt-Nielsen, L. Standardized low-load repetitive work: Evidence of different motor control strategies between experienced workers and a reference group. Ergonomics 2003, 185, 689–698. [Google Scholar] [CrossRef]
- Sandlund, J.; Srinivasan, D.; Heiden, M.; Mathiassen, S.E. Differences in motor variability among individuals performing a standardized short-cycle manual task. Human Movem. Sci. 2017, 51, 17–26. [Google Scholar] [CrossRef] [PubMed]
- Chen, Y.T.; Kwon, M.; Fox, E.J.; Christou, E.A. Altered activation of the antagonist muscle during practice compromises motor learning in older adults. J. Neurophys. 2014, 112, 1010–1019. [Google Scholar] [CrossRef] [PubMed]
- Thoroughman, K.A.; Shadmehr, R. Electromyographic correlates of learning an internal model of reaching movements. J. Neurosci. 1999, 19, 8573–8588. [Google Scholar] [CrossRef] [PubMed]
- Milner, T.E.; Cloutier, C. Compensation for mechanically unstable loading in voluntary wrist movement. Experim. Brain Res. 1993, 94, 522–532. [Google Scholar] [CrossRef]
- Luger, T.; Mathiassen, S.E.; Srinivasan, D.; Bosch, T. Influence of work pace on upper extremity kinematics and muscle activity in a short-cycle repetitive pick-and-place task. Ann. Work Expos. Health 2017, 61, 356–368. [Google Scholar] [CrossRef] [PubMed]
- Samani, A.; Srinivasan, D.; Mathiassen, S.E.; Madeleine, P. Variability in spatio-temporal pattern of trapezius activity and coordination of hand-arm muscles during a sustained repetitive dynamic task. Experim. Brain Res. 2017, 235, 389–400. [Google Scholar] [CrossRef]
- Hägg, G.M.; Luttmann, A.; Jäger, M. Methodologies for evaluating electromyographic field data in ergonomics. J. Electromyogr. Kinesiol. 2000, 10, 301–312. [Google Scholar] [CrossRef]
- Srinivasan, D.; Samani, A.; Mathiassen, S.E.; Madeleine, P. The size and structure of arm movement variability decreased with work pace in a standardised repetitive precision task. Ergonomics 2015, 58, 128–139. [Google Scholar] [CrossRef]
- Samani, A.; Srinivasan, D.; Mathiassen, S.E.; Madeleine, P. Nonlinear metrics assessing motor variability in a standardized pipetting task: Between- and within-subject variance components. J. Electromyogr. Kinesiol. 2015, 25, 557–564. [Google Scholar] [CrossRef]
- Osu, R.; Franklin, D.W.; Kato, H.; Gomi, H.; Domen, K.; Yoshioka, T.; Kawato, M. Short- and long-term changes in joint co-contraction associated with motor learning as revealed from surface emg. J. Neurophysiol. 2002, 88, 991–1004. [Google Scholar] [CrossRef]
- Steinhilber, B.; Seibt, R.; Rieger, M.A. Test-retest-reliability of different normalization procedures of surface electromyography for the use in occupational settings. In Eight International Conference on Prevention of Work-related Musculoskeletal Disorders (PREMUS 2013); Busan, South Korea, 2013; p. 220. [Google Scholar]
- Maynard, H.B.; Stegmerten, G.J.; Schwab, J.L. Methods-Time Measurement; McGraw-Hill: New York, NY, USA, 1948. [Google Scholar]
- Yoo, W.G. Effects of the different screwdriver handle sizes on the forearm muscles activities and wrist motion during screw-driving work. J. Phys. Thera. Sci. 2013, 25, 885–886. [Google Scholar] [CrossRef][Green Version]
- Cederqvist, T.; Lindberg, M. Screwdrivers and their use from a swedish construction industry perspective. Appl. Ergon. 1993, 24, 148–157. [Google Scholar] [CrossRef]
- Criswell, E. Cram’s Introduction to Surface Electromyography, 2nd ed.; Jones & Bartlett Learning Publishers: Sudbury, MA, USA, 2010. [Google Scholar]
- Jonsson, B. Quantitative electromyographic evaluation of muscular load during work. Scandinav. J. Rehabil. Med. 1978, 10, 69–74. [Google Scholar]
- Luttmann, A.; Jager, M.; Sokeland, J.; Laurig, W. Electromyographical study on surgeons in urology. Ii. Determination of muscular fatigue. Ergonomics 1996, 39, 298–313. [Google Scholar] [CrossRef]
- Kim, H.Y. Statistical notes for clinical researchers: Assessing normal distribution (2) using skewness and kurtosis. Restorat. Dent. Endodont. 2013, 38, 52–54. [Google Scholar] [CrossRef] [PubMed]
- Kim, H.Y. Statistical notes for clinical researchers: Assessing normal distribution (1). Restorat. Dent. Endodont. 2012, 37, 245–248. [Google Scholar] [CrossRef] [PubMed]
- Lakens, D. Calculating and reporting effect sizes to facilitate cumulative science: A practical primer for t-tests and anovas. Front. Psychol. 2013, 4, 863. [Google Scholar] [CrossRef] [PubMed]
- Cohen, J. Statistical Power Analysis for The Behavioural Sciences; Routledge Academic: New York, NY, USA, 1988. [Google Scholar]
- Gielen, C.C.A.M.; van Zuylen, E.J. Coordination of arm muscles during flexion and supination. Neuroscience 1986, 17, 527–539. [Google Scholar] [CrossRef]
- Seidel, O.; Carius, D.; Kenville, R.; Ragert, P. Motor learning in a complex balance task and associated neuroplasticity: A comparison between endurance athletes and nonathletes. J. Neurophysiol. 2017, 118, 1849–1860. [Google Scholar] [CrossRef]
- Lohse, K.R.; Sherwood, D.E.; Healy, A.F. How changing the focus of attention affects performance, kinematics, and electromyography in dart throwing. Hum. Movem. Sci. 2010, 29, 542–555. [Google Scholar] [CrossRef]
- Zachry, T.; Wulf, G.; Mercer, J.; Bezodis, N. Increased movement accuracy and reduced emg activity as the result of adopting an external focus of attention. Brain Res. Bull. 2005, 67, 304–309. [Google Scholar] [CrossRef]
- Srinivasan, D.; Mathiassen, S.E.; Hallman, D.M.; Samani, A.; Madeleine, P.; Lyskov, E. Effects of concurrent physical and cognitive demands on muscle activity and heart rate variability in a repetitive upper-extremity precision task. Europ. J. Appl. Physiol. 2016, 116, 227–239. [Google Scholar] [CrossRef]
- Falla, D.; Farina, D. Periodic increases in force during sustained contraction reduce fatigue and facilitate spatial redistribution of trapezius muscle activity. Experim. Brain Res. 2007, 182, 99–107. [Google Scholar] [CrossRef]
- Srinivasan, D.; Mathiassen, S.E. Motor variability in occupational health and performance. Clin Biomech. 2012, 27, 979–993. [Google Scholar] [CrossRef]
- Madeleine, P.; Mathiassen, S.E.; Arendt-Nielsen, L. Changes in the degree of motor variability associated with experimental and chronic neck-shoulder pain during a standardised repetitive arm movement. Experim. Brain Res. 2008, 185, 689–698. [Google Scholar] [CrossRef]
- Madeleine, P.; Voigt, M.; Mathiassen, S.E. The size of cycle-to-cycle variability in biomechanical exposure among butchers performing a standardised cutting task. Ergonomics 2008, 51, 1078–1095. [Google Scholar] [CrossRef]
- Qin, J.; Lin, J.H.; Buchholz, B.; Xu, X. Shoulder muscle fatigue development in young and older female adults during a repetitive manual task. Ergonomics 2014, 57, 1201–1212. [Google Scholar] [CrossRef]
- Wang, J.; Bartuzi, P.; Roman-Liu, D. Influence of upper extremity position on emg signal measures calculated in time, frequency and time-frequency domains. Acta Bioeng. Biomech. 2013, 15, 83–91. [Google Scholar] [PubMed]
- Field, A. Discovering Statistics Using IBM Spss Statistics; SAGE Publications Ltd.: London, UK, 2013. [Google Scholar]
- Fonaraw, G.C. Randomization - there is no substitute. JAMA Cardiology 2016, 1, 633–635. [Google Scholar] [CrossRef]
- IEA. Proceedings of the 20th congress of the international ergonomics association (iea 2018) - volume vii: Ergonomics in design, design for all, activity theories for work analysis and design, affective design, 20th Congress of the International Ergonomics Association, Florence, Italy, 26–30 August 2018; Bagnara, Italy.
- Davids, K.; Glazier, P.; Araújo, D.; Bartlett, R. Movement systems as dynamical systems. Sport Med. 2003, 33, 245–260. [Google Scholar] [CrossRef]
- Dhawale, A.K.; Smith, M.A.; Olveczky, B.P. The role of variability in motor learning. Ann. Rev. Neuros. 2017, 40, 479–498. [Google Scholar] [CrossRef] [PubMed]
- Madeleine, P.; Madsen, T.M. Changes in the amount and structure of motor variability during a deboning process are associated with work experience and neck-shoulder discomfort. Appl. Ergonom. 2009, 40, 887–894. [Google Scholar] [CrossRef]
- Srinivasan, D.; Mathiassen, S.E.; Samani, A.; Madeleine, P. The combined influence of task accuracy and pace on motor variability in a standardised repetitive precision task. Ergonomics 2015, 58, 1388–1397. [Google Scholar] [CrossRef]
- Côté, J.N. A critical review on physical factors and functional characteristics that may explain a sex/gender difference in work-related neck/shoulder disorders. Ergonomics 2012, 55, 173–182. [Google Scholar] [CrossRef]
- Krüger, M.; Eggert, T.; Straube, A. Age-related differences in the stabilization of important task variables in reaching movements. Motor Contr. 2013, 17, 313–319. [Google Scholar] [CrossRef]
- Gaudez, C.; Gilles, M.A.; Savin, J. Intrinsic movement variability at work. How long is the path from motor control to design engineering? Appl. Ergonom. 2016, 53 Pt A, 71–78. [Google Scholar] [CrossRef]







| Whole Population | Females | Males | |
|---|---|---|---|
| Study population [N] | 57 | 30 | 27 |
| Age [years] | 34.8 ± 14.0 | 36.5 ± 14.9 | 32.9 ± 13.0 |
| Height [cm] | 174.3 ± 8.9 | 167.4 ± 5.2 | 181.9 ± 5.1 |
| Weight [kg] | 73.3 ± 13.5 | 66.2 ± 9.8 | 81.1 ± 12.8 |
| Handedness [N left/N right] | 4/53 | 1/29 | 3/24 |
| Sport [hours/week] | 5.2 ± 4.5 | 3.9 ± 2.3 | 6.8 ± 5.8 |
| Target muscle | RVC Procedure | Force Level [N] 1 |
|---|---|---|
| M. triceps brachii | Producing a downward force, elbow extension. | 80 |
| M. biceps brachii | Producing an upward force, elbow flexion. | 110 |
| M. flexor carpi radialis | Producing an upward force, wrist flexion. | 60 |
| M. extensor digitorum | Producing a downward force, wrist extension. | 60 |
© 2019 by the authors. Licensee MDPI, Basel, Switzerland. This article is an open access article distributed under the terms and conditions of the Creative Commons Attribution (CC BY) license (http://creativecommons.org/licenses/by/4.0/).
Share and Cite
Luger, T.; Seibt, R.; Rieger, M.A.; Steinhilber, B. The Role of Motor Learning on Measures of Physical Requirements and Motor Variability During Repetitive Screwing. Int. J. Environ. Res. Public Health 2019, 16, 1231. https://doi.org/10.3390/ijerph16071231
Luger T, Seibt R, Rieger MA, Steinhilber B. The Role of Motor Learning on Measures of Physical Requirements and Motor Variability During Repetitive Screwing. International Journal of Environmental Research and Public Health. 2019; 16(7):1231. https://doi.org/10.3390/ijerph16071231
Chicago/Turabian StyleLuger, Tessy, Robert Seibt, Monika A. Rieger, and Benjamin Steinhilber. 2019. "The Role of Motor Learning on Measures of Physical Requirements and Motor Variability During Repetitive Screwing" International Journal of Environmental Research and Public Health 16, no. 7: 1231. https://doi.org/10.3390/ijerph16071231
APA StyleLuger, T., Seibt, R., Rieger, M. A., & Steinhilber, B. (2019). The Role of Motor Learning on Measures of Physical Requirements and Motor Variability During Repetitive Screwing. International Journal of Environmental Research and Public Health, 16(7), 1231. https://doi.org/10.3390/ijerph16071231

