Farmers’ Rural-To-Urban Migration, Influencing Factors and Development Framework: A Case Study of Sihe Village of Gansu, China
Abstract
1. Introduction
2. Overview of Study Region
3. Data Sources and Research Methods
3.1. Data Sources
3.2. IAD Extension Decision Model
3.3. Logistic Model
4. Results
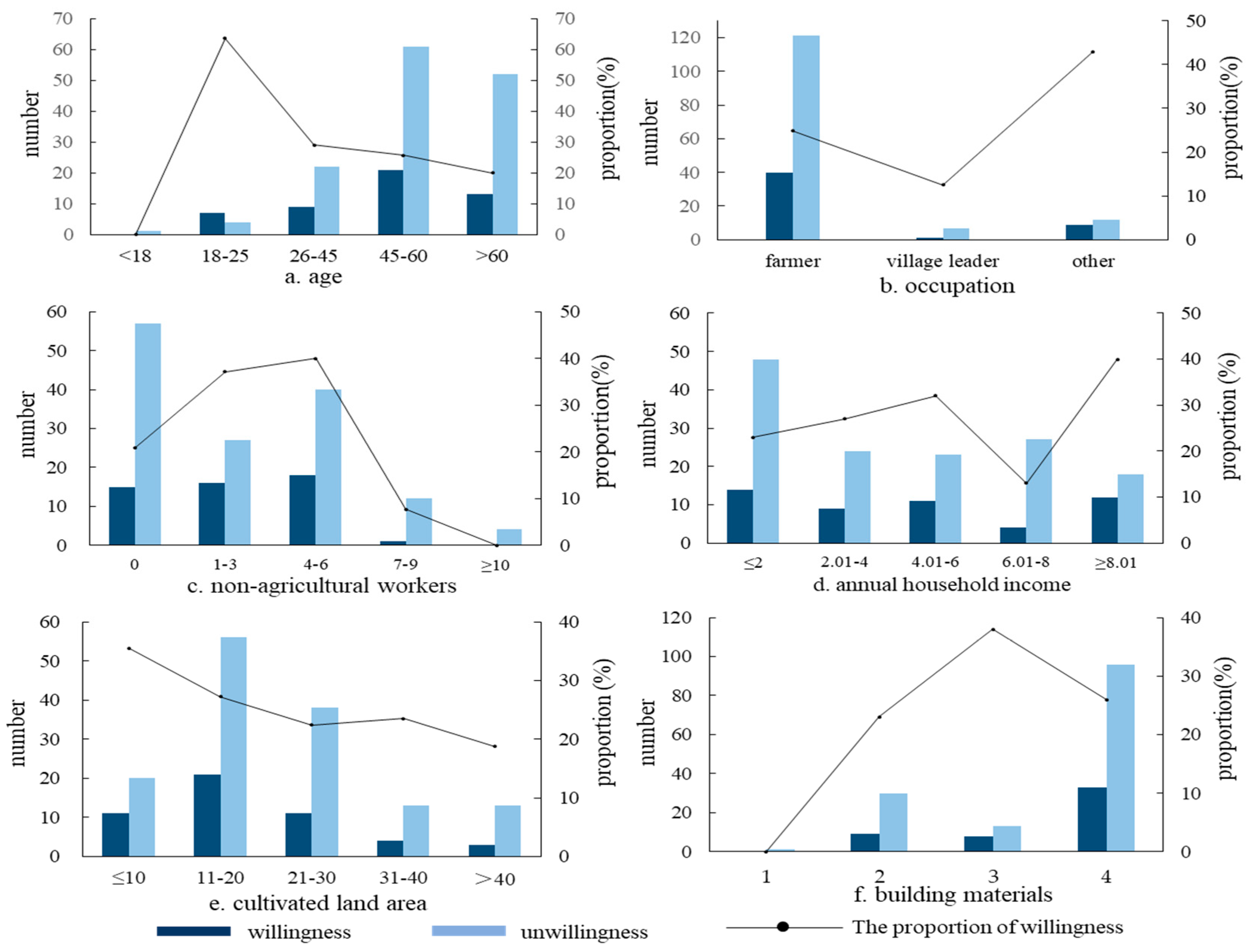
4.1. Farmers’ Willingness to Migrate to Urban Areas
4.1.1. Overall Patterns of Farmers’ Willingness to Migrate to Urban Areas
4.1.2. Spatial Patterns of Farmers’ Willingness to Migrate to Urban Areas
4.2. Factors Influencing Farmers’ Willingness to Migrate to Urban Areas
4.2.1. Benchmark Regression
4.2.2. Factors Influencing Farmers’ Willingness to Migrate to Urban Areas
4.3. Cluster Analysis of Farmers’ Willingness to Migrate to Urban Areas
4.3.1. Farmers’ Individual Characteristics
4.3.2. Rural Family Economic Basis
5. Discussion and Conclusions
5.1. Discussion
5.2. Conclusions
- (1)
- Among the 190 interviewed rural households, 26% (50 households) had the willingness to migrate to urban areas, 56% (107) had no willingness to migrate to urban areas, 5% (9) were uncertain about migration to urban areas and 13% (24) had never considered about migration to urban areas. Overall, there was a relatively low willingness of residents in Sihe village to migrate to urban areas. The willingness of farmers to migrate to urban areas was found to be affected by the decisions or behaviors of neighboring residents. Households willing and unwilling to migrate to urban areas both presented significant spatial agglomeration.
- (2)
- The factors influencing farmers’ willingness to migrate to urban areas involved six aspects: individual characteristics, family characteristics, residence characteristics, cognitive characteristics, institutions, and constraints. The main factors influencing farmers’ willingness to migrate to urban areas included age, occupation, number of non-agricultural workers in the family, cultivated land area, family annual income, house building materials, degree of satisfaction with social pension, homestead and contracted land subsidies, income constraint, and other constraints. Among them, occupation, family annual income, house building materials, and homestead and contracted land subsidies had positive influence on farmers’ willingness to migrate to urban areas, whereas the other factors had negative influence on farmers’ willingness to migrate to urban areas.
- (3)
- Individual heterogeneity and difference in economic basis lead to difference in farmers’ willingness to migrate to urban areas. Institutions and constraints played different rules in the migration willingness of different groups of farmers. The influence of institutions on farmers’ willingness to migrate to urban areas was greater in the youth group (versus middle-aged/aged group), the low education group (versus high education group), the agricultural production group (versus non-agricultural group), the group without non-agricultural workers (versus group with non-agricultural workers) and the low income group (versus high income group). The influence of constraints on farmers’ willingness to migrate to urban areas was greater in the middle-aged/aged group, the low education group, the non-agricultural production group, the group with non-agricultural workers and the high income group.
- (4)
- Through the analysis of farmers’ willingness to migrate to urban areas and its influencing factors, some policy insights can be obtained to promote the implementation of new urbanization and rural revitalization strategies. First, government should create conditions for farmers to start their own businesses or find jobs in rural areas. Farmers play an important role in rural revitalization. Therefore, great attention should be paid to current farmers in rural areas and migrant workers that possibly return to rural areas. Combining with local economic development, government may provide financial support, tax relief, technical training and intermediary services to farmers. Second, government should take measures to improve the education level of framers. Farmers’ education level plays an important role in their migration to urban areas. Therefore, government should increase investment in rural continuing education, improve farmers’ education levels, and increase their human capitals. Third, government should establish a mechanism to protect the rights and interests of farmers who withdraw from the homestead and contracted land system. The current rural land management system should be further improved, farmers’ withdrawal from homestead and contracted land system should standardized, and government should enhance farmers’ political participation and create conditions for them to participate in the reform and innovation of rural land management system. Fourth, government should improve the basic education conditions in rural areas. Specifically, government should improve the education management system in rural areas, increase investment in the construction of necessary infrastructures in rural primary and secondary schools, improve the status and salary of rural teachers, advocate modern teaching methods, fundamentally improve the level of rural educational facilities, and finally promote urban–rural equivalence.
Author Contributions
Funding
Acknowledgments
Conflicts of Interest
References
- Christensen, T.; Pedersen, A.B.; Nielsen, H.O.; Mørbak, M.R.; Haler, B.; Denver, S. Determinants of farmers’ willingness to participate in subsidy schemes for pesticide-free buffer zones—A choice experiment study. Ecol. Econ. 2011, 70, 1558–1564. [Google Scholar] [CrossRef]
- Min, S.; Bai, J.; Huang, J.; Waibel, H. Willingness of smallholder rubber farmers to participate in ecosystem protection: Effects of household wealth and environmental awareness. Forest Policy Econ. 2018, 87, 70–84. [Google Scholar] [CrossRef]
- Chen, H.X.; Zhao, L.M.; Zhao, Z.Y. Influencing factors of farmers’ willingness to withdraw from rural homesteads: A survey in Zhejiang, China. Land Use Pol. 2017, 68, 524–530. [Google Scholar] [CrossRef]
- Arega, T.; Tadesse, T. Households’ willingness to pay for green electricity in urban and pre-urban Tigray, northern Ethiopia: Determinants and welfare effects. Energy Policy 2017, 100, 292–300. [Google Scholar] [CrossRef]
- Todaro, M.P. A model of labor migration and urban unemployment in less developed countries. Am. Econ. Rev. 1969, 59, 138–148. [Google Scholar]
- Xiong, P. The Analysis of Peasants’ Urbanization mechanism from the View of System: Based on the basis of push-pull theory. Rural Econ. 2012, 6, 122–124. (In Chinese) [Google Scholar]
- Fischel, W.A. The economics of zoning laws: A property rights approach to American land use controls. South. Econ. J. 1985, 52, 1203–1204. [Google Scholar]
- Sun, X.; Zhang, Z.; Zhang, Y. Factors influencing farmer’s decision-making behavior on rural construction land transformation. Sustainability 2018, 10, 4288. [Google Scholar] [CrossRef]
- Jin, J.J.; He, R.; Gong, H.Z.; Xu, X.; He, C.Y. Farmers’ risk preferences in rural China: Measurements and determinants. Int. J. Environ. Res. Pub. He. 2017, 14, 713. [Google Scholar] [CrossRef] [PubMed]
- Stark, O.; Bloom, D.E. The new economics of labor migration. Am. Econ. Rev. 1985, 75, 173–178. [Google Scholar]
- Kyaw, N.N.; Ahn, S.; Lee, S.H. Analysis of the factors influencing market participation among smallholder rice farmers in magway region, central dry zone of Myanmar. Sustainability 2018, 10, 4441. [Google Scholar] [CrossRef]
- Massey, D.S.; Arango, J.; Hugo, G.; Kouaouci, A.; Pellegrino, A.; Taylor, J.E. Theories of international migration: A review and appraisal. Popul. Dev. Rev. 1993, 19, 431–466. [Google Scholar] [CrossRef]
- Massey, D.S. Social structure, household strategies, and the cumulative causation of migration. Popul. Index 1990, 56, 3–26. [Google Scholar] [CrossRef] [PubMed]
- Kulu, H.; Billari, F.C. Migration to urban and rural destinations in post-Soviet Estonia: A multilevel event-history analysis. Environ. Plann. A 2006, 38, 749–764. [Google Scholar] [CrossRef]
- Barbieri, A.F.; Pan, W.K. People, land, and context: Multilevel determinants of off-farm employment in the Ecuadorian Amazon. Popul. Sp. Place 2013, 19, 558–579. [Google Scholar] [CrossRef]
- Meng, L.; Zhao, M.Q. Permanent and temporary rural–urban migration in China: Evidence from field surveys. China Eco. Rev. 2018, 51, 228–239. [Google Scholar] [CrossRef]
- Wang, S.X.; Fu, Y.B. Labor mobility barriers and rural-urban migration in transitional China. China Eco. Rev. 2019, 53, 211–224. [Google Scholar] [CrossRef]
- Yang, C.K.; Liu, Y.; Xu, W.; Ning, Y.M. The determinants for peasants’ migration intentions of moving to cities in China: An analysis based on the CGSS 2010. Geogr. Res. 2017, 36, 2369–2382. (In Chinese) [Google Scholar]
- Zhang, L.; Du, H.; Zhao, Y. Game Behavior Analysis between the local government and land-lost peasants in the urbanization process. Sustainability 2016, 8, 1213. [Google Scholar] [CrossRef]
- Chen, M.; Liu, W.; Lu, D. Challenges and the way forward in china’s new-type urbanization. Land Use Pol. 2016, 55, 334–339. [Google Scholar] [CrossRef]
- Wang, G.X.; Huang, Z.Y. The growth composition of urban population in China and its contribution to urbanization: 1991–2010. Chin. J. Popul. Sci. 2014, 34, 2–16. (In Chinese) [Google Scholar]
- Mang, L.B.; Liu, S.C.; Niu, Y.W.; Chen, M.M. Village-scale livelihood change and the response of rural settlement land use: Sihe village of tongwei county in mid-gansu loess hilly region as an example. Int. J. Environ. Res. Pub. He. 2018, 15, 1801. [Google Scholar]
- Long, H.; Zou, J.; Pykett, J.; Li, Y. Analysis of rural transformation development in china since the turn of the new millennium. Appl. Geogr. 2011, 31, 1094–1105. [Google Scholar] [CrossRef]
- Wang, H.X.; Xu, J.L.; Sheng, L.X. Study on the comprehensive utilization of resources city kitchen waste in China. Energy 2019, 173, 263–277. [Google Scholar] [CrossRef]
- Liu, Y.S.; Liu, Y. Progress and prospect on the study of rural hollowing in China. Geogr. Res. 2010, 29, 35–42. (In Chinese) [Google Scholar]
- Li, T.T.; Long, H.L.; Liu, Y.Q.; Tu, S.S. Multi-scale analysis of rural housing land transition under China’s rapid urbanization: The case of Bohai Rim. Habitat Int. 2015, 48, 227–238. [Google Scholar] [CrossRef]
- Liu, Y.S. Research on the urban-rural integration and rural revitalization in the new era in China. Acta. Geogr. Sin. 2018, 73, 637–650. (In Chinese) [Google Scholar]
- Wei, L.B.; Hu, H.H.; Qian, W.R.; Cao, M.H. Desire and behavior of relevant actors in the process of urbanization: A study of farmers’ migration desire in Haining, Zhejiang province. Soc. Sci. China 2003, 5, 39–48. (In Chinese) [Google Scholar]
- Chu, D.P.; Wu, J.Q.; Wei, L.B.; Li, H.Y. Analysis on the intentions of continuing migration of the migrated residents. China Popul. Resour. Environ. 2017, 27, 139–146. (In Chinese) [Google Scholar]
- Xie, H.L.; Wang, P.; Yao, G.R. Exploring the dynamic mechanisms of farmland abandonment based on a spatially explicit economic model for environmental sustainability: A case study in Jiangxi Province, China. Sustainability 2014, 6, 1260–1282. [Google Scholar] [CrossRef]
- Li, Y.R.; Liu, Y.S.; Long, H.L.; Cui, W.G. Community-based rural residential land consolidation and allocation can help to revitalize hollowed villages in traditional agricultural areas of China: Evidence from Dancheng County, Henan Province. Land Use Pol. 2014, 39, 188–198. [Google Scholar] [CrossRef]
- Ma, L.B.; Dou, H.J.; Xie, Z.L.; Guo, X.D. Research on rural settlement reconstruction model based on integration drivers and suitability evaluation. Trans. Chin. Soc. Agric. Eng. 2019, 35, 246–255. (In Chinese) [Google Scholar]
- Ma, L.B.; Guo, X.D.; Zhang, Q.Y. Spatio-temporal distribution and optimization of rural settlements in Gangu County of loess hilly area. Trans. Chin. Soc. Agric. Eng. 2012, 28, 217–225. (In Chinese) [Google Scholar]
- Ma, L.B.; Fan, H.; Shi, P.J.; Guo, X.D.; Meng, X.N. Spatial pattern of rural settlements in loess hilly area: A case study of Tianshui City, Gansu Province. Chin. J. Ecol. 2015, 34, 3158–3165. (In Chinese) [Google Scholar]
- Xue, X.; Hua, L.X.; Cheng, S.; Qing, W.; Hua, L. Estimation of ecological compensation standards for fallow heavy metal-polluted farmland in China based on farmer willingness to accept. Sustainability 2017, 75, 179. [Google Scholar] [CrossRef]
- Xu, H.Z.; Yin, H.C.; Shi, S.Q. Analysis of influential factors of withdrawing from rural residential land and migrant workers’ urban-rural migration under the perspective of intergenerational differences: An empirical study on the basis of push-pull theory. China Popul. Resour. Environ. 2013, 23, 75–80. (In Chinese) [Google Scholar]
- Cheng, L.; Liu, Y.; Brown, G.; Searle, G. Factors affecting farmers’ satisfaction with contemporary China’s land allocation policy—The Link Policy: Based on the empirical research of Ezhou. Habitat Int. 2018, 75, 38–49. [Google Scholar] [CrossRef]
- Zhang, X.; Han, L. Which factors affect farmers’ willingness for rural community remediation? A tale of three rural villages in china. Land Use Pol. 2018, 74, 195–203. [Google Scholar] [CrossRef]
- Zhang, Z.; Wen, Y.; Wang, R.; Han, W. Factors influencing rural households’ willingness of centralized residence: Comparing pure and nonpure farming areas in China. Habitat Int. 2018, 73, 25–33. [Google Scholar] [CrossRef]
- Liu, H.; Luo, X. Understanding farmers’ perceptions and behaviors towards farmland quality change in northeast China: A structural equation modeling approach. Sustainability 2018, 10, 3345. [Google Scholar] [CrossRef]
- Congleton, R.D.; Ostrom, E. Understanding institutional diversity. Public Choice 2007, 132, 509–511. [Google Scholar] [CrossRef]
- Cao, Y.; Wu, C.F.; Zhu, Y.Z. Farmers land expropriation willingness based on IAD extension decision model. Econ. Geogr. 2015, 35, 141–148. (In Chinese) [Google Scholar]
- Ostrom, E. The Three Worlds of Action: A Meta-Theoretical Synthesis of Institutional Approaches. Strategies of Political Inquiry; Sage: Beverly Hills, CA, USA, 1982. [Google Scholar]
- Ostrom, E.; Walker, J. Rules, Games, and Common-Pool Resources; University of Michigan Press: Ann Arbor, MI, USA, 1994. [Google Scholar]
- Ostrom, E. Background on the institutional analysis and development framework. Policy Stud. J. 2011, 39, 7–27. [Google Scholar] [CrossRef]
- Ostrom, E. Understanding Institutional Diversity; Princeton University Press: Princeton, NJ, USA, 2005. [Google Scholar]
- Yu, Z.N.; Wu, C.F.; Shen, X.Q. Study of farmers’ willingness for land fallow based on IAD extension decision model. J. Nat. Resour. 2017, 32, 198–209. (In Chinese) [Google Scholar]
- Zhang, P.; Qin, G.; Wang, Y. Optimal Maintenance Decision Method for Urban Gas Pipelines Based on as Low as Reasonably Practicable Principle. Sustainability 2019, 11, 153. [Google Scholar] [CrossRef]
- He, B.J.; Zhao, D.X.; Zhu, J.; Darko, A.; Gou, Z.H. Promoting and implementing urban sustainability in China: An integration of sustainable initiatives at different urban scales. Habitat Int. 2018, 82, 83–93. [Google Scholar] [CrossRef]
- Wang, Q. Review of Ostrom’s System Analysis and Development Framework. Econ. Inf. 2010, 4, 137–142. (In Chinese) [Google Scholar]
- Liu, Y.S.; Li, Y.H. Revitalize the world’s countryside. Nature 2017, 548, 275–277. [Google Scholar] [CrossRef] [PubMed]
- Long, H.L.; Liu, Y.S.; Li, X.B. Building new countryside in China: A geographical perspective. Land Use Pol. 2010, 27, 457–470. [Google Scholar] [CrossRef]





| Community Name | Number of Total Households | Number of Surveyed Households | Ratio of Surveyed Households to Total Households (%) | Number of Unsurveyed Households | Number of Households That Moved Out of Village |
|---|---|---|---|---|---|
| Dachawan | 38 | 22 | 57.89 | 6 | 10 |
| Shangzhai | 47 | 24 | 51.06 | 14 | 9 |
| Xiazhai | 34 | 27 | 79.41 | 3 | 4 |
| Fanwan | 34 | 24 | 70.59 | 3 | 7 |
| Leidian | 38 | 25 | 65.79 | 10 | 3 |
| Napowan | 21 | 15 | 71.43 | 1 | 5 |
| Nanjiayang | 14 | 4 | 28.57 | 2 | 8 |
| Liugeng | 75 | 36 | 48.00 | 17 | 22 |
| Houwan | 26 | 13 | 50.00 | 1 | 12 |
| Sihe village | 327 | 190 | 58.10 | 57 | 80 |
| Variables | Value Assignment |
|---|---|
| (1) Individual characteristics | |
| Age (X1) | <18 years = 1; 18–25 years = 2; 26–45 years = 3; 46–60 years = 4; >60 years = 5. |
| Education level (X2) | Primary school or below = 1; middle school = 2; high school or technical secondary school = 3; college or above = 4. |
| Occupation (X3) | Farmer = 1; village leader = 2; others = 3. |
| (2) Family characteristics | |
| Family size (X4) | ≤3 = 1; 4–6 = 2; 7–9 = 3; >9 = 4. |
| Number of non-agricultural workers (X5) | 0 worker = 1; 1–3 workers = 2; 4–6 workers = 3; 7–9 workers = 4; ≥10 workers = 5. |
| Proportion of non-agricultural workers (X6) | ≤20% = 1; 21–40% = 2; 41–60% = 3; 61–80% = 4; 81–100% = 5. |
| Cultivated land area (X7) | ≤0.65 ha = 1; 0.67–1.33 ha = 2; 1.34–2 ha = 3; 2.01–2.67 ha = 4; >2.67 ha = 5. |
| Family annual income (X8) | ≤20,000 = 1; 20,000–40,000 = 2; 40,000–60,000 = 3; 60,000–80,000 = 4; >80, 000 = 5. |
| Family non-agricultural income (X9) | ≤20,000 = 1; 20,000–40,000 = 2; 40,000–60,000 = 3; 60,000–80,000 = 4; >80, 000 = 5. |
| Family annual expenditure (X10) | ≤10,000 = 1; 10,000–20,000 = 2; 30,000–40,000 = 3; >40,000 = 5. |
| Economic level (X11) | Low = 1; relatively low = 2; medium = 3; relatively high = 4; high = 5. |
| (3) Residence characteristics | |
| House construction time (X12) | 2009–2017 = 1; 1999–2008 = 2; before 1998 = 3. |
| Building materials (X13) | Adobe bricks = 1; brick-wood structure = 2; brick-concrete structure = 3; steel-concrete structure = 4. |
| Per capita homestead area (X14) | ≤ 30 m2 = 1; 31–60 m2 = 2; 61–90 m2 = 3; ≥ 91 m2 = 4. |
| (4) Cognitive characteristics | |
| Ability to purchase commercial house (X15) | Yes = 0; no = 1. |
| Residence trend (X16) | Scattered = 0; cluttered = 1. |
| Degree of satisfaction with neighborhood relationship (X17) | Very dissatisfied = 1; dissatisfied = 2; basically satisfied = 3; satisfied = 4. |
| Degree of satisfaction with living conditions (X18) | Very dissatisfied = 1; dissatisfied = 2; basically satisfied = 3; satisfied = 4. |
| Degree of satisfaction with social pension (X19) | Very dissatisfied = 1; dissatisfied = 2; basically satisfied = 3; satisfied = 4. |
| Degree of satisfaction with income (X20) | Very dissatisfied = 1; dissatisfied = 2; basically satisfied = 3; satisfied = 4. |
| (5) Institutions | |
| Policies that encourage migration to urban areas (X21) | Know these policies = 1; Do not know these policies = 0. |
| “One family, one house” policy (X22) | Know this policy = 1; Do not know this policy = 0. |
| Homestead and contracted land subsidy policy (X23) | Know this policy = 1; Do not know this policy = 0. |
| (6) Constraints | |
| Income constraint (X24) | Yes = 1; no = 0. |
| Employment constraint (X25) | Yes = 1; no = 0. |
| Housing constraint (X26) | Yes = 1; no = 0. |
| Social security (X27) | Yes = 1; no = 0. |
| Other constraints (X28) | Yes = 1; no = 0. |
| Variables | Model 1 | Model 2 | |||
|---|---|---|---|---|---|
| B | Sig. | B | Sig. | ||
| (1) Individual characteristics | Age (X1) | −0.369 | 0.09 | −0.43 | 0.08 |
| Education level (X2) | −0.017 | 0.951 | −0.015 | 0.962 | |
| Occupation (X3) | 0.243 | 0.502 | 0.473 | 0.05 | |
| (2) Family characteristics | Family size (X4) | −0.078 | 0.466 | −0.003 | 0.976 |
| Number of non-agricultural workers (X5) | −0.237 | 0.229 | −0.368 | 0.04 | |
| Proportion of non-agricultural workers (X6) | −0.129 | 0.787 | −0.25 | 0.623 | |
| Cultivated land area (X7) | −0.029 | 0.09 | −0.037 | 0.036 | |
| Family annual income (X8) | 0.206 | 0.219 | 0.246 | 0.09 | |
| Family non-agricultural income (X9) | −0.158 | 0.356 | −0.189 | 0.322 | |
| Family annual expenditure (X10) | 0.042 | 0.712 | 0.104 | 0.392 | |
| Economic level (X11) | −0.207 | 0.362 | −0.194 | 0.421 | |
| (3) Residence characteristics | House construction time (X12) | 0.362 | 0.08 | 0.388 | 0.135 |
| Building materials (X13) | −0.167 | 0.418 | 0.439 | 0.091 | |
| Per capita homestead area (X14) | 0.003 | 0.603 | 0.004 | 0.495 | |
| (4) Cognitive characteristics | Ability to purchase a commercial house (X15) | 0.477 | 0.264 | 0.277 | 0.544 |
| Residence trend (X16) | 0.385 | 0.432 | 0.292 | 0.575 | |
| Degree of satisfaction with neighborhood relationship (X17) | −0.112 | 0.751 | −0.11 | 0.774 | |
| Degree of satisfaction with living conditions (X18) | 0.155 | 0.646 | 0.177 | 0.612 | |
| Degree of satisfaction with social pension (X19) | −0.612 | 0.037 | −0.63 | 0.01 | |
| Degree of satisfaction with income (X20) | 0.294 | 0.47 | 0.101 | 0.813 | |
| (5) Institutions | Policies that encourage migration to urban areas (X21) | 0.123 | 0.79 | ||
| “One family, one house” policy (X22) | 0.129 | 0.763 | |||
| Homestead and contracted land subsidy policy (X23) | 1.63 | 0.002 | |||
| (6) Constraints | Income constraint (X24) | −0.807 | 0.008 | ||
| Employment constraint (X25) | −0.407 | 0.346 | |||
| Housing constraint (X26) | −0.736 | 0.441 | |||
| Social security (X27) | −0.865 | 0.484 | |||
| Other constraints (X28) | −1.271 | 0.033 | |||
| Constant | 0.354 | 0.087 | −3.908 | 0.007 | |
| Chi-square | 10.113 (Sig. = 0.006) | 15.985 (Sig. = 0.001) | |||
| Cox & Snell R2 | 0.053 | 0.107 | |||
| Nagelkerke R2 | 0.077 | 0.149 | |||
| Sample size | 157 | 157 | |||
| Variable | Youth Group | Middle-Aged/Aged Group | Low Education Group | High Education Group | Agricultural Production Group | Non-Agricultural Production Group | ||||||
|---|---|---|---|---|---|---|---|---|---|---|---|---|
| B | Sig. | B | Sig. | B | Sig. | B | Sig. | B | Sig. | B | Sig. | |
| X23 | 1.32 | 0.05 | 1.24 | 0.07 | 1.18 | 0.03 | 0.99 | 0.25 | 1.15 | 0.02 | 0.99 | 0.09 |
| X24 | −0.33 | 0.48 | −0.46 | 0.39 | −1.66 | 0.08 | −0.26 | 0.61 | −0.39 | 0.43 | −1.47 | 0.21 |
| X28 | −0.79 | 0.48 | −1.32 | 0.09 | −1.10 | 0.09 | −0.81 | 0.48 | −1.06 | 0.14 | −1.59 | 0.28 |
| Constant | −1.25 | 0.08 | −2.17 | 0.06 | −2.03 | 0.07 | −0.76 | 0.02 | −1.87 | 0.07 | −0.49 | 0.20 |
| Chi-square | 4.51(Sig = 0.09) | 14.07(Sig = 0.08) | 3.81(Sig = 0.05) | 5.54(Sig = 0.06) | 4.79(Sig = 0.03) | 5.53(Sig = 0.05) | ||||||
| Cox & Snell R2 | 0.10 | 0.09 | 0.06 | 0.17 | 0.06 | 0.17 | ||||||
| Nagelkerke R2 | 0.14 | 0.14 | 0.09 | 0.24 | 0.09 | 0.24 | ||||||
| Sample size | 43 | 147 | 146 | 44 | 161 | 29 | ||||||
| Variable | Group without Non-Agricultural Workers | Group with Non-Agricultural Workers | Low Income Group | High Income Group | ||||
|---|---|---|---|---|---|---|---|---|
| B | Sig. | B | Sig. | B | Sig. | B | Sig. | |
| X23 | 1.70 | 0.01 | 1.12 | 0.1 | 1.6 | 0.02 | 0.87 | 0.1 |
| X24 | −0.62 | 0.26 | −1.21 | 0.06 | −0.90 | 0.08 | −1.16 | 0.07 |
| X28 | −0.58 | 0.54 | −2.43 | 0.03 | −1.18 | 0.10 | −1.64 | 0.09 |
| Constant | −3.53 | 0.00 | −0.68 | 0.02 | −3.01 | 0.00 | −1.01 | 0.04 |
| Chi-square | 6.888(Sig. = 0.009) | 7.820(Sig. = 0.045) | 5.723(Sig. = 0.017) | 7.820(Sig. = 0.451) | ||||
| Cox & Snell R2 | 0.16 | 0.12 | 0.11 | 0.09 | ||||
| Nagelkerke R2 | 0.25 | 0.17 | 0.16 | 0.12 | ||||
| Sample size | 73 | 117 | 104 | 86 | ||||
© 2019 by the authors. Licensee MDPI, Basel, Switzerland. This article is an open access article distributed under the terms and conditions of the Creative Commons Attribution (CC BY) license (http://creativecommons.org/licenses/by/4.0/).
Share and Cite
Ma, L.; Chen, M.; Che, X.; Fang, F. Farmers’ Rural-To-Urban Migration, Influencing Factors and Development Framework: A Case Study of Sihe Village of Gansu, China. Int. J. Environ. Res. Public Health 2019, 16, 877. https://doi.org/10.3390/ijerph16050877
Ma L, Chen M, Che X, Fang F. Farmers’ Rural-To-Urban Migration, Influencing Factors and Development Framework: A Case Study of Sihe Village of Gansu, China. International Journal of Environmental Research and Public Health. 2019; 16(5):877. https://doi.org/10.3390/ijerph16050877
Chicago/Turabian StyleMa, Libang, Meimei Chen, Xinglong Che, and Fang Fang. 2019. "Farmers’ Rural-To-Urban Migration, Influencing Factors and Development Framework: A Case Study of Sihe Village of Gansu, China" International Journal of Environmental Research and Public Health 16, no. 5: 877. https://doi.org/10.3390/ijerph16050877
APA StyleMa, L., Chen, M., Che, X., & Fang, F. (2019). Farmers’ Rural-To-Urban Migration, Influencing Factors and Development Framework: A Case Study of Sihe Village of Gansu, China. International Journal of Environmental Research and Public Health, 16(5), 877. https://doi.org/10.3390/ijerph16050877
