Psycho-Physiological Effects of a Peony-Viewing Program on Middle-Aged and Elderly Individuals at Different Phenological Stages
Abstract
1. Introduction
2. Materials and Methods
2.1. Participants
2.2. Experimental Setting
2.3. Research Design
2.4. Physiological Indices
2.5. Psychological Indices
2.6. Data Analysis
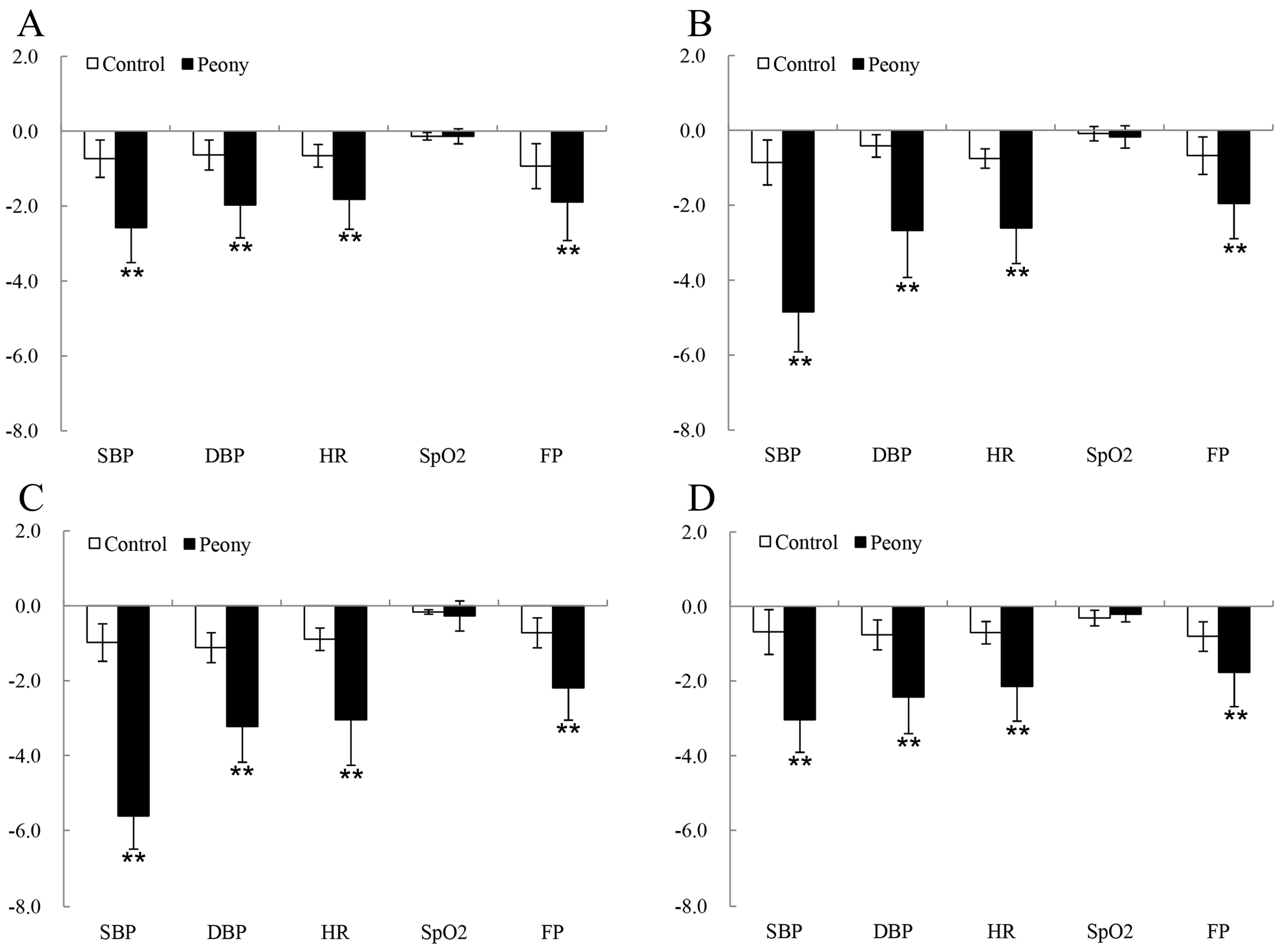
3. Results
4. Discussion
5. Conclusions
Author Contributions
Acknowledgements
Conflicts of Interest
References
- Thompson, C.W. Linking landscape and health: The recurring theme. Landsc. Urban Plan. 2011, 99, 187–195. [Google Scholar] [CrossRef]
- Verlarde, M.D.; Fry, G.; Tveit, M. Health effects of viewing landscapes: Landscape types in environmental psychology. Urben For. Urben Green. 2007, 6, 199–212. [Google Scholar] [CrossRef]
- Hartig, T.M.; Evans, G.W.; Jamner, L.D.; Davis, D.S.; Gärling, T. Traching restoration in natural and urban field settings. J. Environ. Psychol. 2003, 23, 109–123. [Google Scholar] [CrossRef]
- Korpela, K.; Ylén, M. Perceived health is associated with visiting natural favorite places in the vicinity. Health Place 2007, 13, 138–151. [Google Scholar] [CrossRef] [PubMed]
- Ottosson, J.; Grahn, P. Measures of restoration in geriatric care residences: The influence of nature on elderly people’s power of concentration, blood pressure and pulse rate. J. Hous. Elderly 2006, 19, 227–256. [Google Scholar] [CrossRef]
- Raanaas, R.K.; Patil, G.G.; Hartig, T. Effects of an indoor foliage plant intervention on patient well-being during a residential rehabilitation program. HortScience 2010, 45, 387–392. [Google Scholar] [CrossRef]
- Heuberger, E.; Hongratanaworakit, T.; Böhm, C.; Weber, R.; Buchbauer, G. Effects of chiral fragrances on human autonomic nervous system parameters and self-evaluation. Chem. Senses 2001, 26, 281–292. [Google Scholar] [CrossRef] [PubMed]
- Xiu, M.L.; Li, S.H. A preliminary study of the influence of horticultural operation activities on the physical and mental health of the elderly. Chin. Landsc. Archit. 2006, 06, 46–49. [Google Scholar]
- Lee, J.; Park, B.J.; Tsunetsugu, Y.; Ohira, T.; Kagawa, T.; Miyazaki, Y. Effect of forest bathing on physiological and psychological responses in young Japanese male subjects. Public Health 2011, 125, 93–100. [Google Scholar] [CrossRef] [PubMed]
- Lee, J.; Tsunetsugu, Y.; Takayama, N.; Park, B.J.; Li, Q.; Song, C.; Komatsu, M.; Ikei, H.; Tyrväinen, L.; Kagawa, T. Influence of forest therapy on cardiovascular relaxation in young adults. Evid. Based Complement. Altern. Med. 2014, 2, 834360. [Google Scholar] [CrossRef]
- Lee, J.; Park, B.J.; Tsunetsugu, Y.; Kagawa, T.; Miyazaki, Y. Restorative effects of viewing real forest landscapes, based on a comparison with urban landscapes. Scand. J. For. Res. 2009, 24, 227–234. [Google Scholar] [CrossRef]
- Li, Q.; Otsuka, T.; Kobayashi, M.; Wakayama, Y.; Inagaki, H.; Katsumata, M.; Hirata, Y.; Li, Y.; Hirata, K.; Shimizu, T. Acute effects of walking in forest environments on cardiovascular and metabolic parameters. Eur. J. Appl. Physiol. 2011, 111, 2845–2853. [Google Scholar] [CrossRef] [PubMed]
- Park, B.J.; Tsunetsugu, Y.; Kasetani, T.; Morikawa, T.; Kagawa, T.; Miyazaki, Y. Physiological effects of forest recreation in a young conifer forest in Hinokage town, Japan. Silva Fennica 2009, 43, 291–301. [Google Scholar] [CrossRef]
- Park, B.J.; Tsunetsugu, Y.; Kasetani, T.; Kagawa, T.; Miyazaki, Y. The physiological effects of shinrin-yoku (taking in the forest atmosphere or forest bathing): Evidence from field experiments in 24 forests across Japan. Environ. Health Prev. Med. 2010, 15, 18–26. [Google Scholar] [CrossRef] [PubMed]
- Mao, G.X.; Cao, Y.B.; Lan, X.G.; He, Z.H.; Chen, Z.M.; Wang, Y.Z.; Hu, X.L.; Lv, Y.D.; Wang, G.F.; Yan, J. Therapeutic effect of forest bathing on human hypertension in the elderly. J. Cardiol. 2012, 60, 495–502. [Google Scholar] [CrossRef] [PubMed]
- Tsunetsugu, Y.; Lee, J.; Park, B.J.; Tyrväinen, L.; Kagawa, T.; Miyazaki, Y. Physiological and psychological effects of viewing urban forest landscapes assessed by multiple measurements. Landsc. Urban Plan. 2013, 113, 90–93. [Google Scholar] [CrossRef]
- Song, C.; Ikei, H.; Miyazaki, Y. Elucidation of a physiological adjustment effect in a forest environment: A pilot study. Int. J. Environ. Res. Public Health 2015, 12, 4247–4255. [Google Scholar] [CrossRef]
- Yu, C.P.; Lin, C.M.; Tsai, M.J.; Tsai, Y.C.; Chen, C.Y. Effects of short forest bathing program on autonomic nervous system activity and mood states in middle-aged and elderly individuals. Int. J. Environ. Res. Public Health 2017, 14, 897. [Google Scholar] [CrossRef] [PubMed]
- Park, S.H.; Mattson, R.H. Effects of flowering and foliage plants in hospital rooms on patients recovering from abdominal surgery. HortTechnology 2008, 18, 563–568. [Google Scholar] [CrossRef]
- Park, S.H.; Mattson, R.H. Therapeutic influences of plants in hospital rooms on surgical recovery. HortScience 2009, 44, 1–4. [Google Scholar] [CrossRef]
- Lohr, V.I.; Pearson-Mims, C.H. Physical discomfort may be reduced in the presence of interior plants. HortTechnology 2000, 10, 53–58. [Google Scholar] [CrossRef]
- Park, B.J.; Furuya, K.; Kasetani, T.; Takayama, N.; Kagawa, T.; Miyazaki, Y. Relationship between psychological responses and physical environments in forest settings. Landsc. Urban Plan. 2011, 102, 24–32. [Google Scholar] [CrossRef]
- Tsunetsugu, Y.; Park, B.; Lee, J.; Kagawa, T.; Miyazaki, Y. Psychological relaxation effect of forest therapy: Results of field experiments in 19 forests in Japan involving 228 participants. Jpn. J. Hyg. 2011, 66, 670–676. [Google Scholar] [CrossRef]
- Horiuchi, M.; Endo, J.; Akatsuka, S.; Uno, T.; Hasegawa, T.; Seko, Y. Influence of forest walking on blood pressure, profile of mood states, and stress markers from the viewpoint of aging. J. Aging Gerontol. 2013, 1, 9–17. [Google Scholar] [CrossRef]
- Song, C.; Ikei, H.; Igarashi, M.; Miwa, M.; Takagaki, M.; Miyazaki, Y. Physiological and psychological responses of young males during spring-time walks in urban parks. J. Physiol. Anthropol. 2014, 33, 8. [Google Scholar] [CrossRef] [PubMed]
- Ochiai, H.; Ikei, H.; Song, C.; Kobayashi, M.; Miura, T.; Kagawa, T.; Li, Q.; Kumeda, S.; Imai, M.; Miyazaki, Y. Physiological and psychological effects of a forest therapy program on middle-aged females. Int. J. Environ. Res. Public Health 2015, 12, 15222–15232. [Google Scholar] [CrossRef] [PubMed]
- Grahn, P.; Stigsdotter, U.A. Landscape planning and stress. Urban For. Urban Green. 2003, 2, 1–18. [Google Scholar] [CrossRef]
- Chang, C.Y.; Chen, P.K. Human response to window views and indoor plants in the workplace. HortScience 2005, 40, 1354–1359. [Google Scholar] [CrossRef]
- Dravigne, A.; Waliczek, T.M.; Lineberger, R.D.; Zajicek, J.M. The effect of live plants and window views of green spaces on employee perceptions of job satisfaction. HortScience 2008, 43, 183–187. [Google Scholar] [CrossRef]
- Sadek, M.E.; Sayaka, S.; Fujii, E.; Koriesh, E.; Moghazy, E.; El Fatah, Y. Human emotional and psycho-physiological responses to plant color stimuli. J. Food Agric. Environ. 2013, 11, 1584–1591. [Google Scholar]
- Sadek, M.E.; Fujii, E. People’s psycho-physiological responses to plantscape colors stimuli: A pilot study. Int. J. Psychol. Behav. Sci. 2014, 4, 70–78. [Google Scholar]
- Li, X.; Lu, Y.M.; Zhang, Z.; Wang, J.; Pan, H.T.; Zhang, Q.X. The visual effects of flower colors on university students’ psycho-physiological responses. J. Food Agric. Environ. 2012, 10, 1294–1300. [Google Scholar]
- Kim, E.; Mattson, R.H. Stress recovery effects of viewing red-flowering geraniums. J. Ther. Hortic. 2002, 13, 4–12. [Google Scholar]
- Li, F.; Li, S.; Liu, G.; Kang, N.; Hu, L. Effects of visual activities of viewing flowers and leaves of apple trees on human electroencephalograms. J. Northwest For. Univ. 2008, 23, 62–68. [Google Scholar]
- Ilmberger, J.; Heuberger, E.; Mahrhofer, C.; Dessovic, H.; Kowarik, D.; Buchbauer, G. The influece of essential oils on human attention. I: Alertness. Chem. Senses 2001, 26, 239–245. [Google Scholar] [CrossRef] [PubMed]
- Chen, M.-C.; Fang, S.-H.; Fang, L. The effects of aromatherapy in relieving symptoms related to job stress among nurses. Int. J. Nurs. Pract. 2013, 21, 87–93. [Google Scholar] [CrossRef] [PubMed]
- Igarashi, M.; Song, C.; Ikei, H.; Ohira, T.; Miyazaki, Y. Effect of Olfactory Stimulation by Fresh Rose Flowers on Autonomic Nervous Activity. J. Altern. Complem. Med. 2014, 20, 727–731. [Google Scholar] [CrossRef]
- Wooller, J.-J.; Barton, J.; Gladwell, V.F.; Micklewright, D. Occlusion of sight, sound and smell during Green Exercise influences mood, perceived exertion and heart rate. Int. J. Environ. Health Res. 2015, 26, 267–280. [Google Scholar] [CrossRef]
- Brooks, A.M.; Ottley, K.M.; Arbuthnott, K.D.; Sevigny, P. Nature-related mood effects: Season and type of nature contact. J. Environ. Psychol. 2017, 54, 91–102. [Google Scholar] [CrossRef]
- Bielinis, E.; Takayama, N.; Boiko, S.; Omelan, A.; Bielinis, L. The effect of winter forest bathing on psychological relaxation of young Polish adults. Urban For. Urban Green. 2018, 29, 276–283. [Google Scholar] [CrossRef]
- Wei, W. Study on the Culture of Peony in China; Henan University: Kaifeng, China, 2009. [Google Scholar]
- Li, M. Effects of Tree Peony Viewing Activities on human Physiology and Psychology; Northwest Agriculture and Forestry University: Yangling, China, 2015. [Google Scholar]
- Sayorwan, W.; Siripornpanich, V.; Piriyapunyaporn, T.; Hongratanaworakit, T.; Kotchabhakdi, N.; Ruangrungsi, N. The effects of lavender oil inhalation on emotional states, autonomic nervous system, and brain electrical activity. J. Med. Assoc. Thai 2012, 95, 598. [Google Scholar] [PubMed]
- Ren, L. A Primary Study on Selection in Field for Breeding New Oil-Used Paeonia ostii ‘FengDan’ Varieties; Northwest Agriculture and Forestry University: Yangling, China, 2016. [Google Scholar]
- Shao, D.; Liu, C.; Tsow, F.; Yang, Y.; Du, Z.; Iriya, R.; Yu, H.; Tao, N. Noncontact Monitoring of Blood Oxygen Saturation Using Camera and Dual-Wavelength Imaging System. IEEE Trans. Biomed. Eng. 2016, 63, 1091–1098. [Google Scholar] [CrossRef] [PubMed]
- Morfeld, M.; Petersen, C.; Krügerbödeker, A.; Von Mackensen, S.; Bullinger, M. The assessment of mood at workplace—Psychometric analyses of the revised Profile of Mood States (POMS) questionnaire. Psycho-Soc. Med. 2007, 4, Doc06. [Google Scholar]
- DeWolfe, J.; Waliczek, T.M.; Zajicek, J.M. The relationship between levels of greenery and landscaping at track and field sites, anxiety, and sports performance of collegiate track and field athletes. HortTechnology 2011, 21, 329–335. [Google Scholar] [CrossRef]
- Tavakoli, M.; Turicchia, L.; Sarpeshkar, R. An ultra-low-power pulse oximeter implemented with an energy-efficient transimpedance amplifier. IEEE Trans. Biomed. Circuits Syst. 2010, 4, 27. [Google Scholar] [CrossRef] [PubMed]
- Tuan, Y. Topophilia: A Study of Environmental Perception, Attitudes, and Values; Columbia University Press: New York, NY, USA, 1974. [Google Scholar]
- Jo, H.; Fujii, E.; Cho, T. An Experimental Study of Physiological and Psychological Effects of Pine Scent. J. Korean Inst. Landsc. Archit. 2010, 38, 1–10. [Google Scholar]








| Variable | Group | Number of Participants | Percentage |
|---|---|---|---|
| Gender | Male | 37 | 50.00% |
| Female | 37 | 50.00% | |
| Ages | 40–60 years old | 40 | 54.05% |
| 60–80 years old | 34 | 45.95% |
| Physiological Indices | Stage | Control Group | Experimental Group | ||||||
|---|---|---|---|---|---|---|---|---|---|
| Pretest | Posttest | p | Effect Size | Pretest | Posttest | p | Effect Size | ||
| SBP | ELS | 125.9 ± 10.2 | 125.2 ± 9.4 | 0.190 | 0.07 | 127.6 ± 11.4 | 125.2 ± 11.3 | 0.000 ** | 0.21 |
| IBS | 123.8 ± 11.3 | 122.9 ± 10.2 | 0.110 | 0.08 | 126.7 ± 10.4 | 121.9 ± 10.4 | 0.000 ** | 0.45 | |
| FBS | 125.1 ± 11.1 | 124.1 ± 9.9 | 0.130 | 0.10 | 128.1 ± 12.2 | 122.5 ± 12.3 | 0.000 ** | 0.45 | |
| TBS | 124.3 ± 9.9 | 123.5 ± 9.5 | 0.127 | 0.08 | 126.8 ± 10.6 | 123.8 ± 10.5 | 0.000 ** | 0.28 | |
| DBP | ELS | 72.1 ± 7.8 | 71.5 ± 7.6 | 0.097 | 0.07 | 78.6 ± 8.1 | 76.6 ± 8.0 | 0.000 ** | 0.24 |
| IBS | 76.6 ± 9.2 | 76.1 ± 9.1 | 0.529 | 0.05 | 77.2 ± 6.6 | 74.5 ± 6.5 | 0.000 ** | 0.41 | |
| FBS | 72.6 ± 10.6 | 71.5 ± 10.0 | 0.094 | 0.11 | 76.8 ± 6.4 | 73.6 ± 6.3 | 0.000 ** | 0.51 | |
| TBS | 74.7 ± 7.3 | 73.9 ± 7.2 | 0.053 | 0.12 | 77.5 ± 7.5 | 75.0 ± 7.4 | 0.000 ** | 0.34 | |
| HR | ELS | 79.4 ± 9.9 | 78.7 ± 9.9 | 0.084 | 0.07 | 78.4 ± 9.1 | 76.6 ± 9.1 | 0.000 ** | 0.20 |
| IBS | 78.9 ± 8.9 | 78.1 ± 9.5 | 0.088 | 0.08 | 78.9 ± 8.7 | 76.3 ± 8.6 | 0.000 ** | 0.30 | |
| FBS | 72.4 ± 5.6 | 71.5 ± 6.7 | 0.152 | 0.14 | 78.1 ± 7.9 | 75.1 ± 7.9 | 0.000 ** | 0.37 | |
| TBS | 80.2 ± 11.1 | 79.5 ± 11.3 | 0.176 | 0.06 | 77.3 ± 10.0 | 75.2 ± 9.9 | 0.000 ** | 0.21 | |
| SpO2 | ELS | 97.9 ± 1.1 | 97.8 ± 1.1 | 0.595 | 0.09 | 97.9 ± 1.2 | 97.7 ± 1.4 | 0.465 | 0.15 |
| IBS | 97.9 ± 1.1 | 97.7 ± 1.2 | 0.344 | 0.17 | 97.1 ± 1.4 | 96.9 ± 1.3 | 0.280 | 0.14 | |
| FBS | 97.5 ± 1.3 | 97.3 ± 1.3 | 0.096 | 0.15 | 97.9 ± 1.0 | 97.6 ± 1.1 | 0.068 | 0.28 | |
| TBS | 98.1 ± 1.3 | 97.9 ± 1.2 | 0.176 | 0.16 | 97.8 ± 1.3 | 97.7 ± 1.3 | 0.364 | 0.08 | |
| FP | ELS | 72.0 ± 6.2 | 71.2 ± 7.3 | 0.172 | 0.12 | 78.2 ± 10.9 | 76.2 ± 10.8 | 0.000 ** | 0.18 |
| IBS | 77.4 ± 8.9 | 76.7 ± 8.4 | 0.105 | 0.08 | 79.9 ± 10.1 | 77.9 ± 9.9 | 0.000 ** | 0.20 | |
| FBS | 79.1 ± 9.6 | 78.4 ± 9.6 | 0.123 | 0.07 | 78.3 ± 7.7 | 76.1 ± 7.9 | 0.000 ** | 0.28 | |
| TBS | 77.1 ± 11.2 | 76.4 ± 11.8 | 0.064 | 0.06 | 77.7 ± 9.2 | 75.9 ± 9.1 | 0.000 ** | 0.19 | |
| Psychological Indices | Stage | Control Group | Experimental Group | ||||||
|---|---|---|---|---|---|---|---|---|---|
| Pretest | Posttest | p | Effect Size | Pretest | Posttest | p | Effect Size | ||
| A–H | ELS | 8.4 ± 2.4 | 8.0 ± 2.3 | 0.059 | 0.17 | 8.6 ± 1.8 | 7.1 ± 1.5 | 0.000 ** | 0.91 |
| IBS | 7.9 ± 2.2 | 8.1 ± 2.5 | 0.438 | 0.08 | 8.6 ± 1.5 | 6.9 ± 1.3 | 0.000 ** | 1.19 | |
| FBS | 8.4 ± 2.6 | 8.1 ± 2.1 | 0.185 | 0.13 | 8.9 ± 2.0 | 6.9 ± 1.7 | 0.000 ** | 1.07 | |
| TBS | 8.4 ± 2.6 | 8.0 ± 2.3 | 0.084 | 0.16 | 8.6 ± 2.3 | 7.1 ± 1.9 | 0.000 ** | 0.67 | |
| F–I | ELS | 8.3 ± 2.7 | 8.4 ± 2.7 | 0.838 | 0.04 | 8.8 ± 2.4 | 6.6 ± 2.0 | 0.000 ** | 1.00 |
| IBS | 8.2 ± 2.5 | 7.7 ± 2.5 | 0.087 | 0.20 | 9.6 ± 2.0 | 6.4 ± 1.6 | 0.000 ** | 1.77 | |
| FBS | 8.6 ± 2.7 | 8.1 ± 2.5 | 0.051 | 0.19 | 10.1 ± 2.8 | 6.6 ± 2.3 | 0.000 ** | 1.37 | |
| TBS | 8.4 ± 2.7 | 7.9 ± 2.6 | 0.063 | 0.19 | 8.8 ± 2.7 | 6.8 ± 2.3 | 0.000 ** | 0.81 | |
| D–D | ELS | 9.1 ± 3.0 | 8.7 ± 3.2 | 0.084 | 0.13 | 8.6 ± 2.0 | 6.7 ± 1.5 | 0.000 ** | 1.07 |
| IBS | 8.9 ± 3.1 | 8.5 ± 2.8 | 0.075 | 0.14 | 9.6 ± 3.0 | 7.4 ± 2.4 | 0.000 ** | 0.81 | |
| FBS | 8.7 ± 3.3 | 8.3 ± 3.0 | 0.091 | 0.13 | 9.6 ± 2.6 | 7.0 ± 2.0 | 0.000 ** | 1.24 | |
| TBS | 8.6 ± 2.9 | 8.3 ± 3.0 | 0.059 | 0.10 | 9.5 ± 3.1 | 7.6 ± 2.7 | 0.000 ** | 0.64 | |
| T–A | ELS | 7.9 ± 2.1 | 7.6 ± 1.9 | 0.082 | 0.15 | 8.6 ± 1.7 | 7.1 ± 1.4 | 0.000 ** | 0.96 |
| IBS | 8.0 ± 2.5 | 7.6 ± 2.0 | 0.060 | 0.18 | 8.9 ± 2.0 | 6.9 ± 1.6 | 0.000 ** | 1.10 | |
| FBS | 8.1 ± 2.6 | 7.7 ± 2.5 | 0.063 | 0.16 | 9.3 ± 2.4 | 6.9 ± 1.8 | 0.000 ** | 1.13 | |
| TBS | 8.6 ± 2.7 | 8.0 ± 2.6 | 0.065 | 0.23 | 8.7 ± 2.0 | 7.0 ± 1.9 | 0.000 ** | 0.87 | |
| C–B | ELS | 8.1 ± 2.8 | 7.6 ± 2.6 | 0.078 | 0.19 | 8.9 ± 1.9 | 7.1 ± 1.8 | 0.000 ** | 0.97 |
| IBS | 8.3 ± 2.8 | 8.0 ± 2.3 | 0.070 | 0.12 | 9.6 ± 3.1 | 7.5 ± 2.6 | 0.000 ** | 0.73 | |
| FBS | 8.6 ± 3.1 | 8.4 ± 3.1 | 0.260 | 0.06 | 9.4 ± 2.7 | 6.8 ± 2.1 | 0.000 ** | 1.07 | |
| TBS | 8.4 ± 2.7 | 8.0 ± 2.4 | 0.155 | 0.16 | 9.2 ± 2.5 | 7.3 ± 2.2 | 0.000 ** | 0.81 | |
| V–A | ELS | 19.1 ± 5.2 | 19.7 ± 4.4 | 0.099 | 0.12 | 18.0 ± 4.9 | 20.6 ± 4.8 | 0.000 ** | 0.52 |
| IBS | 19.7 ± 5.1 | 20.4 ± 4.5 | 0.091 | 0.15 | 18.3 ± 4.2 | 22.6 ± 4.7 | 0.000 ** | 0.96 | |
| FBS | 18.1 ± 4.4 | 18.9 ± 4.4 | 0.054 | 0.18 | 17.6 ± 3.0 | 23.4 ± 3.4 | 0.000 ** | 1.80 | |
| TBS | 19.2 ± 5.3 | 19.8 ± 4.6 | 0.072 | 0.12 | 17.5 ± 4.3 | 21.6 ± 4.5 | 0.000 ** | 0.93 | |
| Anxiety (STAI-S) | ELS | 36.5 ± 6.2 | 35.9 ± 6.5 | 0.061 | 0.09 | 37.9 ± 8.3 | 34.8 ± 8.4 | 0.000 ** | 0.38 |
| IBS | 35.9 ± 8.4 | 35.2 ± 7.7 | 0.064 | 0.10 | 38.1 ± 7.1 | 32.6 ± 6.7 | 0.000 ** | 0.83 | |
| FBS | 37.1 ± 6.2 | 36.4 ± 6.4 | 0.066 | 0.11 | 37.0 ± 4.7 | 31.4 ± 4.6 | 0.000 ** | 1.22 | |
| TBS | 35.6 ± 6.3 | 35.0 ± 6.7 | 0.052 | 0.09 | 38.2 ± 6.5 | 34.6 ± 6.5 | 0.000 ** | 0.55 | |
© 2019 by the authors. Licensee MDPI, Basel, Switzerland. This article is an open access article distributed under the terms and conditions of the Creative Commons Attribution (CC BY) license (http://creativecommons.org/licenses/by/4.0/).
Share and Cite
Zhao, R.-L.; Zhang, G.; Wang, X.; Zhang, B.-T.; Guo, L.-N.; Niu, L.-X.; Zhang, Y.-L. Psycho-Physiological Effects of a Peony-Viewing Program on Middle-Aged and Elderly Individuals at Different Phenological Stages. Int. J. Environ. Res. Public Health 2019, 16, 439. https://doi.org/10.3390/ijerph16030439
Zhao R-L, Zhang G, Wang X, Zhang B-T, Guo L-N, Niu L-X, Zhang Y-L. Psycho-Physiological Effects of a Peony-Viewing Program on Middle-Aged and Elderly Individuals at Different Phenological Stages. International Journal of Environmental Research and Public Health. 2019; 16(3):439. https://doi.org/10.3390/ijerph16030439
Chicago/Turabian StyleZhao, Ren-Lin, Gang Zhang, Xi Wang, Bo-Tong Zhang, Li-Na Guo, Li-Xin Niu, and Yan-Long Zhang. 2019. "Psycho-Physiological Effects of a Peony-Viewing Program on Middle-Aged and Elderly Individuals at Different Phenological Stages" International Journal of Environmental Research and Public Health 16, no. 3: 439. https://doi.org/10.3390/ijerph16030439
APA StyleZhao, R.-L., Zhang, G., Wang, X., Zhang, B.-T., Guo, L.-N., Niu, L.-X., & Zhang, Y.-L. (2019). Psycho-Physiological Effects of a Peony-Viewing Program on Middle-Aged and Elderly Individuals at Different Phenological Stages. International Journal of Environmental Research and Public Health, 16(3), 439. https://doi.org/10.3390/ijerph16030439
