Disability and Access to Sexual and Reproductive Health Services in Cameroon: A Mediation Analysis of the Role of Socioeconomic Factors
Abstract
1. Introduction
2. Materials and Methods
2.1. Study Design and Participants
2.2. Procedures
2.3. Outcomes
2.4. Statistical Analysis
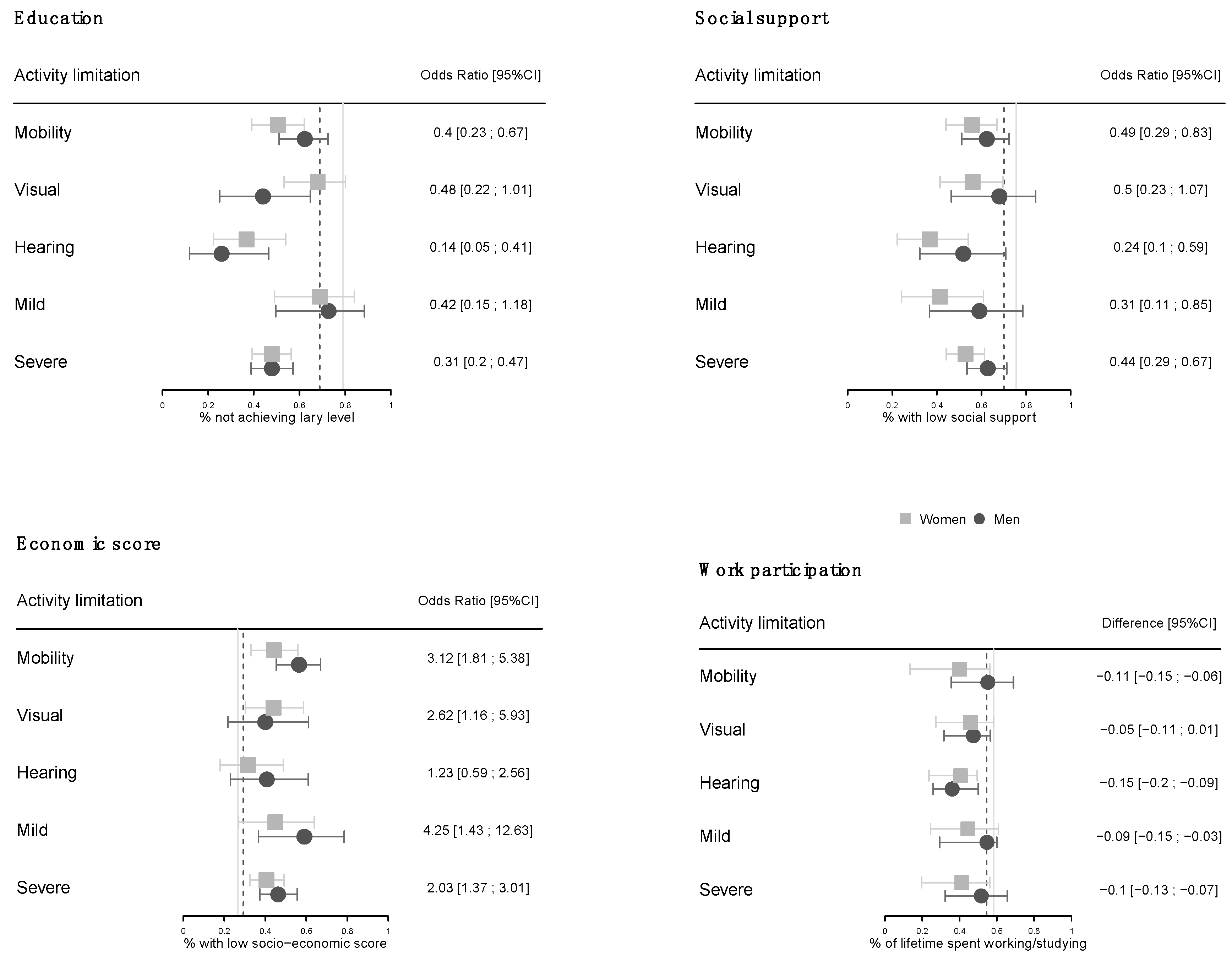
3. Results
3.1. Use and Access to SRH Services
3.2. Use of Voluntary HIV Testing
3.3. Use of Modern Family Planning
4. Discussion
5. Conclusions
Author Contributions
Funding
Conflicts of Interest
Appendix A. Sampling Methods
Appendix B. Washington Group Questionnaire (Screening Instrument for Disability)
Short Set of the Washington Group Questionnaire [31]
Appendix C. Life-Grid Method
References
- World Health Organization (WHO); The World Bank. World Report on Disability. Available online: http://www.who.int/disabilities/world_report/2011/en/index.html (accessed on 28 January 2019).
- Emerson, E.; Madden, R.; Graham, H.; Llewellyn, G.; Hatton, C.; Robertson, J. The health of disabled people and the social determinants of health. Public Health 2011, 125, 145–147. [Google Scholar] [CrossRef] [PubMed]
- Stein, M.A.; Stein, P.J.; Weiss, D.; Lang, R. Health care and the UN Disability Rights Convention. Lancet 2009, 374, 1796–1798. [Google Scholar] [CrossRef]
- Emerson, E.; Vick, B.; Rechel, B.; Muñoz-Baell, I.; Sørensen, J.; Färm, I. Health Inequalities and People with Disabilities in Europe. Available online: https://www.researchgate.net/publication/277078091_Health_Inequalities_and_People_with_Disabilities_in_Europe_Background_Paper_5_for_the_Social_Exclusion_Disadvantage_Vulnerability_and_Health_Inequalities_task_group_supporting_the_Marmot_region_review (accessed on 28 January 2019).
- Emerson, E.; Vick, B.; Graham, H.; Hatton, C.; Llewellyn, G.; Madden, R.; Rechel, B.; Robertson, J. Disablement and health. In Routledge Handbook of Disability Study; Watson, N., Roulstone, A., Thomas, C., Eds.; Routledge: Oxon, UK, 2012. [Google Scholar]
- World Health Organization (WHO). World Health Survey. Available online: http://www.who.int/healthinfo/survey/en/ (accessed on 28 January 2019).
- Cullinan, J.; Gannon, B.; Lyons, S. Estimating the extra cost of living for people with disabilities. Health Econ. 2011, 20, 582–599. [Google Scholar] [CrossRef] [PubMed]
- Zaidi, A.; Burchardt, T. Comparing incomes when needs differ: Equivalization for the extra costs of disability in the UK. Rev. Income Wealth 2005, 51, 89–114. [Google Scholar] [CrossRef]
- Groce, N.; Kett, M.; Lang, R.; Trani, J.-F. Disability and Poverty: The need for a more nuanced understanding of implications for development policy and practice. Third World Q. 2011, 32, 1493–1513. [Google Scholar] [CrossRef]
- Braithwaite, J.; Mont, D. Disability and poverty: A survey of World Bank Porverty Assessments and implications. Altereur. J. Disabil. Res. 2009, 3, 219–232. [Google Scholar] [CrossRef]
- Marmot, M.G.; Fuhrer, R.; Ettner, S.L.; Marks, N.F.; Bumpass, L.L.; Ryff, C.D. Contribution of psychosocial factors to socioeconomic differences in health. Milbank Q. 1998, 76, 305, 403–448. [Google Scholar] [CrossRef]
- Whitehead, M.; Dahlgren, G. Concepts and Principles for Tackling Social Inequities in Health. Available online: http://www.euro.who.int/__data/assets/pdf_file/0010/74737/E89383.pdf (accessed on 28 January 2019).
- World Health Organization (WHO). Closing the Gap in a Generation: Health Equity through Action on the Social Determinants of Health. Final Report of the Commission on the Social Determinants of Health. Available online: http://www.who.int/social_determinants/final_report/csdh_finalreport_2008.pdf (accessed on 28 January 2019).
- Emerson, E.; Llewellyn, G.; Honey, A.; Kariuki, M. Lower well-being of young Australian adults with self-reported disability reflects their poorer living conditions rather than health issues. Aust. N. Z. J. Public Health 2012, 36, 176–182. [Google Scholar] [CrossRef]
- Kavanagh, A.M.; Krnjacki, L.; Aitken, Z.; LaMontagne, A.D.; Beer, A.; Baker, E.; Bentley, R. Intersections between disability, type of impairment, gender and socio-economic disadvantage in a nationally representative sample of 33,101 working-aged Australians. Disabil. Health J. 2015, 8, 191–199. [Google Scholar] [CrossRef]
- Starrs, A.M.; Ezeh, A.C.; Barker, G.; Basu, A.; Bertrand, J.T.; Blum, R.; Coll-Seck, A.M.; Grover, A.; Laski, L.; Roa, M.; et al. Accelerate progress—Sexual and reproductive health and rights for all: Report of the Guttmacher–Lancet Commission. Lancet 2018, 391, 2642–2692. [Google Scholar] [CrossRef]
- Glasier, A.; Gulmezoglu, A.M.; Schmid, G.P.; Moreno, C.G.; Van Look, P.F. Sexual and reproductive health: A matter of life and death. Lancet 2006, 368, 1595–1607. [Google Scholar] [CrossRef]
- Ezzati, M.; Lopez, A.D.; Rodgers, A.; Vander Hoorn, S.; Murray, C.J. Selected major risk factors and global and regional burden of disease. Lancet 2002, 360, 1347–1360. [Google Scholar] [CrossRef]
- Kallianes, V.; Rubenfeld, P. Disabled women and reproductive rights. Disabil. Soc. 1997, 12, 203–222. [Google Scholar] [CrossRef]
- Iezzoni, L.I.; Mitra, M. Transcending the counter-normative: Sexual and reproductive health and persons with disability. Disabil. Health J. 2017, 10, 369–370. [Google Scholar] [CrossRef] [PubMed]
- Trani, J.F.; Browne, J.; Kett, M.; Bah, O.; Morlai, T.; Bailey, N.; Groce, N. Access to health care, reproductive health and disability: A large scale survey in Sierra Leone. Soc. Sci. Med. 2011, 73, 1477–1489. [Google Scholar] [CrossRef] [PubMed]
- Morrison, J.; Basnet, M.; Budhathoki, B.; Adhikari, D.; Tumbahangphe, K.; Manandhar, D.; Costello, A.; Groce, N. Disabled womens maternal and newborn health care in rural Nepal: A qualitative study. Midwifery 2014, 30, 1132–1139. [Google Scholar] [CrossRef] [PubMed]
- Smith, E.; Murray, S.F.; Yousafzai, A.K.; Kasonka, L. Barriers to accessing safe motherhood and reproductive health services: The situation of women with disabilities in Lusaka, Zambia. Disabil. Rehabil. 2004, 26, 121–127. [Google Scholar] [CrossRef] [PubMed]
- Mulindwa, N. Study on Reproductive Health and HIV/AIDS Amon Persons with Disabilities in Kampala, Katakwi and Rakai Districts; Diabled Women’s Network and Resource Organisation (DWNRO): Kampala, Uganda, 2003. [Google Scholar]
- Bremer, K.; Cockburn, L.; Ruth, A. Reproductive health experiences among women with physical disabilities in the Northwest Region of Cameroon. Int. J. Gynaecol. Obstet. 2010, 108, 211–213. [Google Scholar] [CrossRef] [PubMed]
- Eide, A.H.; Mannan, H.; Khogali, M.; van Rooy, G.; Swartz, L.; Munthali, A.; Hem, K.G.; MacLachlan, M.; Dyrstad, K. Perceived Barriers for Accessing Health Services among Individuals with Disability in Four African Countries. PLoS ONE 2015, 10, e0125915. [Google Scholar] [CrossRef] [PubMed]
- Becker, H.; Stuifbergen, A.; Tinkle, M. Reproductive health care experiences of women with physical disabilities: A qualitative study. Arch. Phys. Med. Rehabil. 1997, 78, S26–S33. [Google Scholar] [CrossRef]
- Thomas, C. The baby and the bath water: Disabled women and motherhood in social context. Soc. Health Illn. 1997, 19, 662–643. [Google Scholar]
- Mitra, M.; Long-Bellil, L.M.; Iezzoni, L.I.; Smeltzer, S.C.; Smith, L.D. Pregnancy among women with physical disabilities: Unmet needs and recommendations on navigating pregnancy. Disabil. Health J. 2016, 9, 457–463. [Google Scholar] [CrossRef] [PubMed]
- Watson, S. The evolution of a social movement. Cornell J. Law Public Policy 1994, 3, 253–264. [Google Scholar]
- Altman, B. The Washington Group: Origin and purpose. In International Views on Disability Measures: Moving Toward Comparative Measurement (Research in Social Science and Disability); Altman, B., Barnartt, S., Eds.; Emerald Group Publishing Limited: Bradford, UK, 2006; Volume 4, pp. 9–16. [Google Scholar]
- Blane, D. Collecting retrospective data: Development of a reliable method and a pilot study of its use. Soc. Sci. Med. 1996, 42, 751–757. [Google Scholar] [CrossRef]
- De Beaudrap, P.; Pasquier, E.; Tchoumkeu, A.; Touko, A.; Essomba, F.; Brus, A.; Desgrees du Lou, A.; Aderemi, T.J.; Hanass-Hancock, J.; Eide, A.H.; et al. HandiVIH—A population-based survey to understand the vulnerability of people with disabilities to HIV and other sexual and reproductive health problems in Cameroon: Protocol and methodological considerations. BMJ Open 2016, 6, e008934. [Google Scholar] [CrossRef] [PubMed]
- De Beaudrap, P.; Beninguisse, G.; Pasquier, E.; Tchoumkeu, A.; Touko, A.; Essomba, F.; Brus, A.; Aderemi, T.J.; Hanass-Hancock, J.; Eide, A.H.; et al. Prevalence of HIV infection among people with disabilities: A population-based observational study in Yaounde, Cameroon (HandiVIH). Lancet HIV 2017. [Google Scholar] [CrossRef]
- Alkire, S.; Foster, J. Counting and multidimensional poverty measurement. J. Public Econ. 2011, 95, 476–487. [Google Scholar] [CrossRef]
- Filmer, D. Disability, Poverty and Schooling in Developing Countries: Results from 14 Household Surveys. World Bank Econ. Rev. 2008, 22, 141–163. [Google Scholar] [CrossRef]
- Tchetgen, E.J.T. Inverse odds ratio-weighted estimation for causal mediation analysis. Stat. Med. 2013, 32, 4567–4580. [Google Scholar] [CrossRef]
- Steen, J.; Loeys, T.; Moerkerke, B.; Vansteelandt, S. Flexible Mediation Analysis With Multiple Mediators. Am. J. Epidemiol. 2017, 186, 184–193. [Google Scholar] [CrossRef]
- VanderWeele, T.J.; Vansteelandt, S. Mediation Analysis with Multiple Mediators. Epidemiol. Methods 2014, 2, 95–115. [Google Scholar] [CrossRef] [PubMed]
- Singh-Manoux, A.; Clarke, P.; Marmot, M. Multiple measures of socio-economic position and psychosocial health: Proximal and distal measures. Int. J. Epidemiol. 2002, 31, 1192–1199; discussion 1199–1200. [Google Scholar] [CrossRef] [PubMed]
- R Core Team. R: A Language and Environment for Statistical Computing: R Foundation for Statistical Computing; R Core Team: Vienna, Austria, 2017. [Google Scholar]
- Bright, T.; Kuper, H. A Systematic Review of Access to General Healthcare Services for People with Disabilities in Low and Middle Income Countries. Int. J. Environ. Res. Public Health 2018, 15, 1879. [Google Scholar] [CrossRef] [PubMed]
- Levesque, J.F.; Harris, M.F.; Russell, G. Patient-centred access to health care: Conceptualising access at the interface of health systems and populations. Int. J. Equity Health 2013, 12, 18. [Google Scholar] [CrossRef] [PubMed]
- Defo, B.K. Sexuality and Reproductive Health during Adolescence in Africa: With Special Reference to Cameroon; University of Ottawa Press: Ottawa, ON, Canada, 1998. [Google Scholar]
- Mitra, S.; Posarac, A.; Vick, B. Disability and Poverty in Developing Countries: A Multidimensional Study. World Dev. 2013, 41, 1–18. [Google Scholar] [CrossRef]
- Banks, L.M.; Kuper, H.; Polack, S. Poverty and disability in low- and middle-income countries: A systematic review. PLoS ONE 2017, 12, e0189996. [Google Scholar] [CrossRef] [PubMed]
- Madans, J.H.; Loeb, M.E.; Altman, B.M. Measuring disability and monitoring the UN Convention on the Rights of Persons with Disabilities: The work of the Washington Group on Disability Statistics. BMC Public Health 2011, 11 (Suppl. 4), S4. [Google Scholar] [CrossRef]
- Loeb, M.; Eide, A.; Mont, D. Approaching the measurement of disability prevalence: The case of Zambia. Altereur. J. Disabil. Res. 2008, 2, 32–43. [Google Scholar] [CrossRef]




| Characteristics | People with Disabilities | People with Disabilities | p-Value Disability by Sex Interaction # | ||
|---|---|---|---|---|---|
| Female (n = 167) | Male (n = 143) | Female (n = 167) | Male (n = 143) | ||
| Age, median (IQR) | 29 (21–35) | 30 (23–37) | 27 (22–35) | 28 (23–37) | 0.5 |
| Material wellbeing score, median (IQR) | −0.52 (−1.56 to 0.60) | −0.65 (−1.50 to 0.78) | 0.24 (−0.78 to 1.32) | −0.10 (−0.78 to 1.19) | 0.9 |
| Education level a, n (%) | 0.3 | ||||
| <Primary level | 40 (24) | 32 (22) | 12 (7) | 6 (4) | |
| Primary | 41 (25) | 37 (26) | 40 (24) | 24 (17) | |
| Secondary | 67 (40) | 46 (32) | 80 (48) | 68 (48) | |
| Higher | 19 (11) | 28 (20) | 35 (21) | 45 (31) | |
| Work situation b, n (%) | 0.4 | ||||
| Paid | 37 (22) | 52 (37) | 52 (32) | 71 (50) | |
| Informal | 37 (22) | 36 (25) | 32 (19) | 16 (11) | |
| Student | 35 (21) | 30 (21) | 48 (29) | 48 (33) | |
| No work c | 44 (26) | 17 (12) | 10 (6) | 4 (3) | |
| Other | 14 (8) | 7 (5) | 23 (14) | 4 (3) | |
| Network size, median (IQR) | 3 (1–5) | 4 (2–7) | 3 (2–6) | 4 (3–7) | 0.1 |
| Lifetime work participation, median (IQR) | 41 (20–56) | 52 (32–62) | 55 (40–62) | 58 (47–68) | 0.3 |
| Poor housing/insufficient food during childhood, n (%) | 47 (28) | 34 (24) | 31 (19) | 21 (15) | 0.3 |
| Not raised by two parents, n (%) | 13 (8) | 10 (7) | 3 (2) | 5 (3) | 0.9 |
| Mediating Factors Assessed | Difficulties to Use SRH Service | Use of Family Planning Methods | Ever Been Tested for HIV | |||
|---|---|---|---|---|---|---|
| Male | Female | Male | Female | Female | Male | |
| Availability of support | ||||||
| No of friends/relatives who could provide support | 1.06 (0.79–1.41) | 1.11 (1.03–1.21) | 1.19 (0.91–1.55) | 0.97 (0.85–1.11) | 1.00 (0.87–1.15) | 0.90 (0.75–1.07) |
| Education level | ||||||
| < Primary | Reference | Reference | Reference | Reference | Reference | Reference |
| Primary | 3.31 (0.32–33.80) | 0.86 (0.11–6.85) | 0.97 (0.18–5.29) | 4.42 (0.91–21.48) | 1.70 (0.37–7.68) | 3.70 (0.91–15.11) |
| Secondary | 1.00 (0.13–7.60) | 1.80 (0.31–10.47) | 3.25 (0.68–15.56) | 5.70 (1.11–29.14) | 2.67 (0.61–11.72) | 3.93 (0.95–16.31) |
| Higher | 1.60 (0.22–11.91) | 2.51 (0.34–18.47) | 5.66 (0.83–38.63) | 12.62 (1.79–88.81) | 11.87 (1.63–86.40) | 2.41 (0.35–16.70) |
| Household material wellbeing | ||||||
| Economic score | 0.66 (0.38–1.13) | 1.03 (0.90–1.17) | 1.17 (0.87–1.57) | 1.07 (086–1.33) | 1.44 (1.03–2.01) | 1.0 (0.79–1.28) |
| Lifetime work participation | ||||||
| Proportion of the lifetime working/studying | 1.0 (0.48–2.08) | 1.07 (0.63–1.82) | 1.84 (1.02–3.34) | 2.92 (1.49–5.70) | 1.44 (0.91–2.29) | 3.46 (1.44–8.35) |
© 2019 by the authors. Licensee MDPI, Basel, Switzerland. This article is an open access article distributed under the terms and conditions of the Creative Commons Attribution (CC BY) license (http://creativecommons.org/licenses/by/4.0/).
Share and Cite
DeBeaudrap, P.; Mouté, C.; Pasquier, E.; Mac-Seing, M.; Mukangwije, P.U.; Beninguisse, G. Disability and Access to Sexual and Reproductive Health Services in Cameroon: A Mediation Analysis of the Role of Socioeconomic Factors. Int. J. Environ. Res. Public Health 2019, 16, 417. https://doi.org/10.3390/ijerph16030417
DeBeaudrap P, Mouté C, Pasquier E, Mac-Seing M, Mukangwije PU, Beninguisse G. Disability and Access to Sexual and Reproductive Health Services in Cameroon: A Mediation Analysis of the Role of Socioeconomic Factors. International Journal of Environmental Research and Public Health. 2019; 16(3):417. https://doi.org/10.3390/ijerph16030417
Chicago/Turabian StyleDeBeaudrap, Pierre, Charles Mouté, Estelle Pasquier, Muriel Mac-Seing, Pulchérie U. Mukangwije, and Gervais Beninguisse. 2019. "Disability and Access to Sexual and Reproductive Health Services in Cameroon: A Mediation Analysis of the Role of Socioeconomic Factors" International Journal of Environmental Research and Public Health 16, no. 3: 417. https://doi.org/10.3390/ijerph16030417
APA StyleDeBeaudrap, P., Mouté, C., Pasquier, E., Mac-Seing, M., Mukangwije, P. U., & Beninguisse, G. (2019). Disability and Access to Sexual and Reproductive Health Services in Cameroon: A Mediation Analysis of the Role of Socioeconomic Factors. International Journal of Environmental Research and Public Health, 16(3), 417. https://doi.org/10.3390/ijerph16030417

