Characteristics of Internal Ammonium Loading from Long-Term Polluted Sediments by Rural Domestic Wastewater
Abstract
1. Introduction
2. Materials and Methods
2.1. Sample Collection
2.2. Sample Characterization
2.3. Sediments Incubation
3. Results and Discussion
3.1. Ammonium Pollution of Sample Waters Caused by RDW
3.2. Characterizations of RDW-Polluted Sediments
3.3. Ammonium Release Characteristics of RDW-Polluted Sediments
3.3.1. Effect of the Sediment-to-Water Ratio
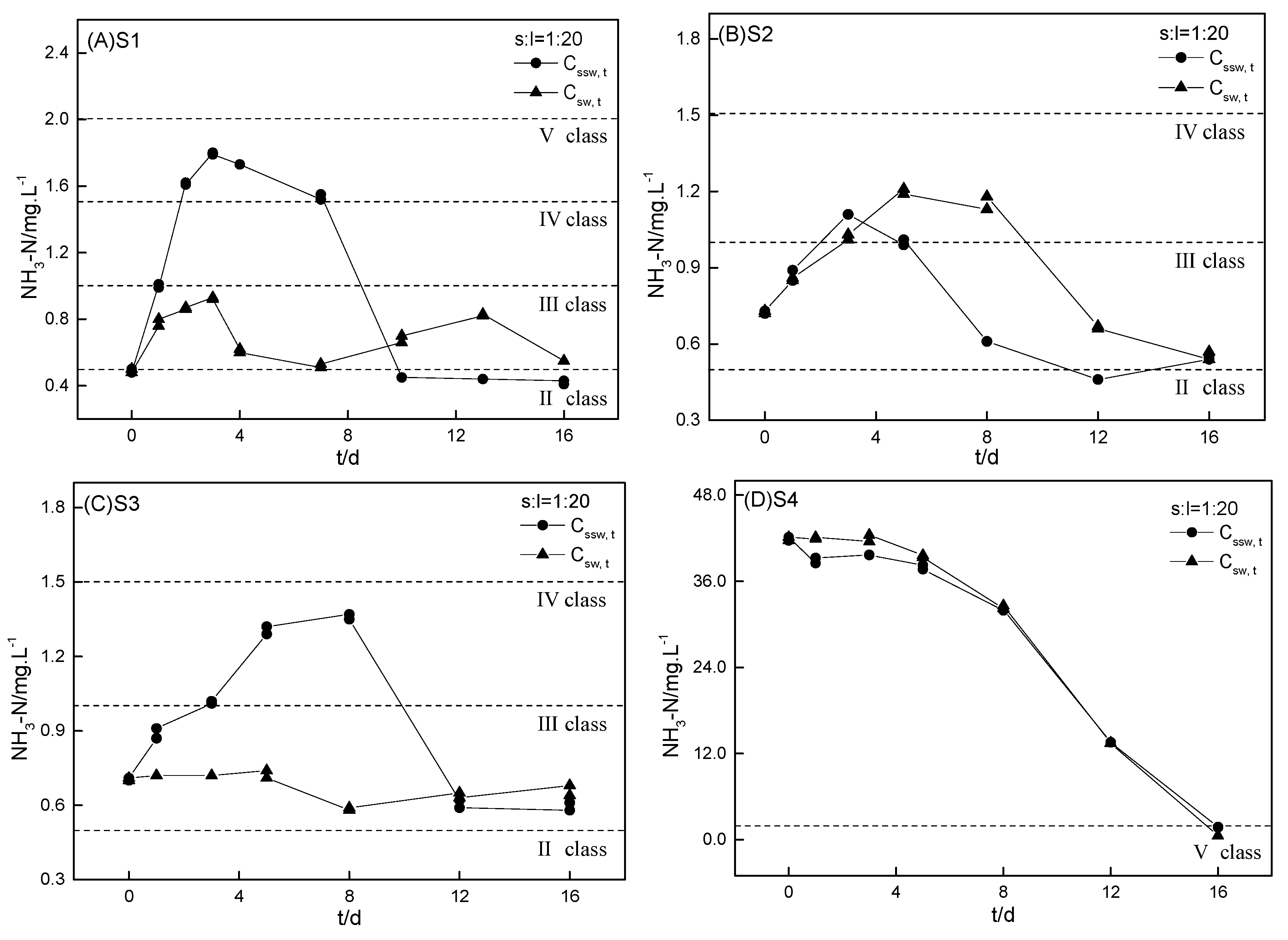
3.3.2. Variations in the Ammonium Release of Four Heavily Polluted Sediments
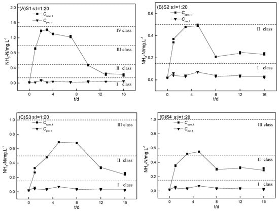
3.3.3. The Difference of Ammonium Release between Theoretical Calculation and Testing
3.4. Characteristics of the RDW-Polluted Sediments Incubated in Sample Water
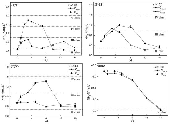
3.4.1. The Source and Sink Effect of Sediment on Ammonium Balance
3.4.2. Relative contribution of internal loading and external discharge
3.4.3. Water Quality Management Suggestions for Rural Areas
4. Conclusions
Supplementary Materials
Author Contributions
Funding
Acknowledgments
Conflicts of Interest
References
- Yu, C.Q.; Huang, X.; Chen, H.; Godfray, H.C.J.; Wright, J.S.; Hall, J.W.; Gong, P.; Ni, S.Q.; Qiao, S.C.; Huang, G.R.; et al. Managing nitrogen to restore water quality in China. Nature 2019, 567, 516–600. [Google Scholar] [CrossRef] [PubMed]
- Chen, L.; Dai, Y.; Zhi, X.S.; Xie, H.; Shen, Z.Y. Quantifying nonpoint source emissions and their water quality responses in a complex catchment: A case study of a typical urban-rural mixed catchment. J. Hydrol. 2018, 559, 110–121. [Google Scholar] [CrossRef]
- Rong, Q.Q.; Cai, Y.P.; Chen, B.; Shen, Z.Y.; Yang, Z.F.; Yue, W.C.; Lin, X. Field management of a drinking water reservoir basin based on the investigation of multiple agricultural nonpoint source pollution indicators in north China. Ecol. Indic. 2018, 92, 113–123. [Google Scholar] [CrossRef]
- Ma, Y.H.; Zhai, Y.K.; Zheng, X.Y.; He, S.B.; Zhao, M. Rural domestic wastewater treatment in constructed ditch wetlands: Effects of influent flow ratio distribution. J. Clean. Prod. 2019, 225, 350–358. [Google Scholar] [CrossRef]
- Huang, G.Y.; Liu, Y.S.; Liang, Y.Q.; Shi, W.J.; Yang, Y.Y.; Liu, S.S.; Hu, L.X.; Chen, H.X.; Xie, L.T.; Ying, G.G. Endocrine disrupting effects in western mosquitofish Gambusia affinis in two rivers impacted by untreated rural domestic wastewaters. Sci Total Environ. 2019, 683, 61–70. [Google Scholar] [CrossRef] [PubMed]
- Zhang, N.S.; Liu, Y.; Van den Brink, P.J.; Price, O.R.; Ying, G.G. Ecological risks of home and personal care products in the riverine environment of a rural region in South China without domestic wastewater treatment facilities. Ecotoxicol. Environ. Saf. 2015, 122, 417–425. [Google Scholar] [CrossRef] [PubMed]
- Wang, T.; Zhu, B.; Zhou, M.H. Ecological ditch system for nutrient removal of rural domestic sewage in the hilly area of the central Sichuan Basin, China. J Hydrol. 2019, 570, 839–849. [Google Scholar] [CrossRef]
- Wu, Y.L.; Huang, T.; Huang, C.C.; Shen, Y.Y.; Luo, Y.; Yang, H.; Yu, Y.H.; Li, R.X.; Gao, Y.; Zhang, M.L. Internal loads and bioavailability of phosphorus and nitrogen in Dianchi Lake, China. Chin. Geogr. Sci. 2018, 28, 851–862. [Google Scholar] [CrossRef]
- Liu, X.J.; Li, Z.B.; Li, P.; Zhu, B.B.; Long, F.F.; Cheng, Y.T.; Wang, T.; Lu, K.X. Changes in carbon and nitrogen with particle size in bottom sediments in the Dan River, China. Quat. Int. 2015, 380, 305–313. [Google Scholar] [CrossRef]
- Yan, R.H.; Li, L.L.; Gao, J.F. Framework for quantifying rural NPS pollution of a humid lowland catchment in Taihu Basin, Eastern China. Sci. Total Environ. 2019, 688, 983–993. [Google Scholar] [CrossRef]
- Liu, C.; Du, Y.H.; Yin, H.B.; Fan, C.X.; Chen, K.N.; Zhong, J.C.; Gu, X.Z. Exchanges of nitrogen and phosphorus across the sediment-water interface influenced by the external suspended particulate matter and the residual matter after dredging. Environ. Pollut. 2019, 246, 207–216. [Google Scholar] [CrossRef] [PubMed]
- Yin, H.B.; Wang, J.F.; Zhang, R.Y.; Tang, W.Y. Performance of physical and chemical methods in the co-reduction of internal phosphorus and nitrogen loading from the sediment of a black odorous river. Sci. Total Environ. 2019, 663, 68–77. [Google Scholar] [CrossRef] [PubMed]
- Yin, H.B.; Zhu, J.C.; Tang, W.Y. Management of nitrogen and phosphorus internal loading from polluted river sediment using Phoslock® and modified zeolite with intensive tubificid oligochaetes bioturbation. Chem. Eng. J. 2018, 353, 46–55. [Google Scholar] [CrossRef]
- Zhu, L.; Li, X.; Zhang, C.; Duan, Z.Q. Pollutants’ Release, Redistribution and Remediation of Black Smelly River Sediment Based on Re-Suspension and Deep Aeration of Sediment. Int. J. Environ. Res. Public Health 2017, 14, 374. [Google Scholar] [CrossRef]
- Xia, L.; Liu, G.; Chen, C.M.; Wen, M.Y.; Gao, Y.Y. Red soil for sediment capping to control the internal nutrient release under flow conditions. Front. Environ. Sci. Eng. 2016, 10, 2095–2201. [Google Scholar] [CrossRef]
- Wang, J.; Wang, S.R.; Jin, X.C.; Zhu, S.Q.; Wu, F.C. Ammonium release characteristics of the sediments from the shallow lakes in the middle and lower reaches of Yangtze River region, China. Environ. Geol. 2008, 55, 37–45. [Google Scholar] [CrossRef]
- Cheng, X.J.; Zeng, Y.X.; Guo, Z.R.; Zhu, L.S. Diffusion of nitrogen and phosphorus across the sediment-water interface and in seawater at aquaculture areas of Daya Bay, China. Int. J. Environ. Res. Public Health 2014, 11, 1557–1572. [Google Scholar] [CrossRef]
- Xia, X.H.; Liu, T.; Yang, Z.F.; Michalski, G.; Liu, S.D.; Jia, Z.M.; Zhang, S.B. Enhanced nitrogen loss from rivers through coupled nitrification-denitrification caused by suspended sediment. Sci. Total Environ. 2017, 579, 47–59. [Google Scholar] [CrossRef]
- Wang, X.; Katopodes, N.; Shen, C.Q.; Wang, H.; Pang, Y.; Zhou, Q. Control of Pollutants in the Trans-Boundary Area of Taihu Basin, Yangtze Delta. Int. J. Environ. Res. Public Health 2016, 13, 1253–1265. [Google Scholar] [CrossRef]
- Zhang, X.; Zheng, Q.; Zhou, L.; Wei, J.W. Nonpoint pollution source-sink landscape pattern change analysis in a coastal river basin in southeast China. J. Environ. Res. Public Health 2018, 15, 2115. [Google Scholar] [CrossRef]
- Yang, L.B.; Lei, K.; Meng, W.; Fu, G.; Yan, W.J. Temporal and spatial changes in nutrients and chlorophyll-α in a shallow lake, Lake Chaohu, China: An 11-year investigation. J. Environ. Sci. 2013, 25, 1117–1123. [Google Scholar] [CrossRef]
- Zhao, H.C.; Zhang, L.; Wang, S.R.; Jiao, L.X. Features and influencing factors of nitrogen and phosphorus diffusive fluxes at the sediment-water interface of Erhai Lake. Environ. Sci. Pollut. Res. 2018, 25, 1933–1942. [Google Scholar] [CrossRef] [PubMed]
- Faust, D.R.; Kröger, R.; Omer, A.R.; Hogue, J.; Czarnecki, J.P.; Baker, B.; Moore, M.T.; Rush, S.A. Nitrogen and organic carbon contents of agricultural drainage ditches of the Lower Mississippi Alluvial Valley. J. Soil Water Conserv. 2018, 73, 179–188. [Google Scholar] [CrossRef]
- Xie, M.Z.; Chen, Q.; Dang, C.Y.; Pan, B.Y.; An, R.; Wu, Z.; Zhou, M. Study on nitrogen release from reservoir sediments and nitrogen removal by aerobic microorganism. Acta Sci. Nat. 2019, 55, 168–177. [Google Scholar] [CrossRef]
- Beutel, M.W. Inhibition of ammonia release from anoxic profundal sediments in lakes using hypolimnetic oxygenation. Ecol. Eng. 2006, 28, 271–279. [Google Scholar] [CrossRef]
- Ding, R.N.; Li, Y.G.; Yu, X.; Peng, Y.M.; Zhang, Z.G.; Wei, L. Characteristics of rural agritainment sewage in Sichuan, China. Water Sci. Technol. 2019, 79, 1695–1704. [Google Scholar] [CrossRef] [PubMed]
- Wang, S.R.; Jin, X.C.; Niu, D.L.; Wu, F.C. Potentially mineralizable nitrogen in sediments of the shallow lakes in the middle and lower reaches of the Yangtze River area in China. Appl. Geochem. 2009, 24, 1788–1792. [Google Scholar] [CrossRef]
- De Lange, G.J. Distribution of exchangeable, fixed, organic and total nitrogen in interbedded turbiditic/pelagic sediments of the Madeira Abyssal Plain, eastern North Atlantic. Mar. Geol. 1992, 109, 95–114. [Google Scholar] [CrossRef]
- Masoud, M.S.; Abdel-Halim, A.M.; El Ashmawy, A.A. Seasonal variation of nutrient salts and heavy metals in mangrove (Avicennia marina) environment, Red Sea, Egypt. Environ. Monit. Assess. 2019, 191, 425. [Google Scholar] [CrossRef]
- Zhou, X.P.; Chen, N.W.; Yan, Z.H.; Duan, S.W. Warming increases nutrient mobilization and gaseous nitrogen removal from sediments across cascade reservoirs. Environ. Pollut. 2016, 219, 490–500. [Google Scholar] [CrossRef]
- Ikeda, S.; Osawa, K.; Akamatsu, Y. Sediment and nutrients transport in watershed and their impact on coastal environment. Proc. Jpn. Acad. Ser. B Phys. 2009, 85, 374–390. [Google Scholar] [CrossRef] [PubMed]
- Ren, Y.F.; Xu, Z.W.; Zhang, X.Y.; Wang, X.K.; Sun, X.M.; Ballantine, D.J.; Wang, S.Z. Nitrogen pollution and source identification of urban ecosystem surface water in Beijing. Front. Environ. Sci. Eng. 2014, 8, 106–116. [Google Scholar] [CrossRef]
- Yu, J.H.; Ding, S.M.; Zhong, J.C.; Fan, C.X.; Chen, Q.W.; Yin, H.B.; Zhang, L.; Zhang, Y.L. Evaluation of simulated dredging to control internal phosphorus release from sediments: Focused on phosphorus transfer and resupply across the sediment-water interface. Sci. Total Environ. 2017, 592, 662–673. [Google Scholar] [CrossRef] [PubMed]
- Yu, J.H.; Fan, C.X.; Zhong, J.C.; Zhang, L.; Zhang, L.; Wang, C.H.; Yao, X.L. Effects of sediment dredging on nitrogen cycling in Lake Taihu, China: Insight from mass balance based on a 2-year field study. Environ. Sci. Pollut. Res. 2016, 23, 3871–3883. [Google Scholar] [CrossRef]
- Yu, J.H.; Fan, C.X.; Zhong, J.C.; Zhang, Y.L.; Wang, C.H.; Zhang, L. Evaluation of in situ simulated dredging to reduce internal nitrogen flux across the sediment-water interface in Lake Taihu, China. Environ. Pollut. 2016, 214, 866–877. [Google Scholar] [CrossRef] [PubMed]
- Fang, X.H.; Peng, B.; Wang, X.; Song, Z.L.; Zhou, D.X.; Wang, Q.; Qin, Z.L.; Tan, C.Y. Distribution, contamination and source identification of heavy metals in bed sediments from the lower reaches of the Xiangjiang River in Hunan province, China. Sci. Total Environ. 2019, 689, 557–570. [Google Scholar] [CrossRef]
- Lin, J.W.; Wang, Y.; Zhan, Y.H.; Zhang, Z.B. Magnetite-modified activated carbon based capping and mixing technology for sedimentary phosphorus release control. J. Environ. Manag. 2019, 248, 109287. [Google Scholar] [CrossRef]
- Zhang, H.X.; Huo, S.L.; Yeager, K.M.; Li, C.C.; Xi, B.D.; Zhang, J.T.; He, Z.S.; Ma, C.Z. Apparent relationships between anthropogenic factors and climate change indicators and POPs deposition in a lacustrine system. J. Environ. Sci. 2019, 83, 174–182. [Google Scholar] [CrossRef]
- Hong, Y.Y.; Huang, G.H.; An, C.J.; Song, P.; Xin, X.Y.; Chen, X.J.; Zhang, P.; Zhao, Y.Y.; Zheng, R.B. Enhanced nitrogen removal in the treatment of rural domestic sewage using vertical-flow multi-soil-layering systems: Experimental and modeling insights. J. Environ. Manag. 2019, 240, 273–284. [Google Scholar] [CrossRef]







| Small Basin | Type | Geographic Location 1 | Sediment Samples | Water Sample | Water Area 2 /(m2) | RDW Discharge | ||||
|---|---|---|---|---|---|---|---|---|---|---|
| Scale | Type | Treated | History | Collection System | ||||||
| B1 | Pond | N 31°54’56.42”, E 104°69’88.56” | S1 | SW1 | 446 | 4-households | Gray water | No | 30 years | No |
| B2 | Pond | N 31°53’64.94”, E 104°70’01.99” | S2 | SW2 | 781 | >10-households | Both black water and gray water | Yes | 20 years | Yes |
| B3 | Tributary | N 31°57’79.18”, E 104°70’08.96” | S3 | SW3 | 490 | 12-households | Gray water | No | 20 years | No |
| B4 | Tributary | N 31°57’86.28”, E 104°66’76.84” | S4 | SW4 | 223 | 8-households | Both black water and gray water | No | 10 years | Yes |
| Research Objective | Sediment 1 | Water 2 | Sediment-to-Water Ratio | Ammonium Concentration 4 | |
|---|---|---|---|---|---|
| Ammonium release characteristics of RDW-polluted sediments | Effect of the sediment-to-water ratio | S1 | PW | 1:20 | |
| S1 | PW | 1:10 | |||
| S1 | PW | 1:05 | |||
| S1 | PW | 1:01 | |||
| - 3 | PW | - | |||
| Diversity of the four heavily polluted sediments | S1 | PW | 1:20 | ||
| S2 | PW | 1:20 | |||
| S3 | PW | 1:20 | |||
| S4 | PW | 1:20 | |||
| - 3 | PW | - | |||
| The role of internal loading and external discharge on ammonium balance | Effect of the sediment-to-water ratio | S1 | SW1 | 1:20 | |
| S1 | SW1 | 1:10 | |||
| S1 | SW1 | 1:05 | |||
| S1 | SW1 | 1:01 | |||
| - 3 | SW1 | - | |||
| Diversity of the four heavily polluted sediments | S1 | SW1 | 1:20 | ||
| S2 | SW2 | 1:20 | |||
| S3 | SW3 | 1:20 | |||
| S4 | SW4 | 1:20 | |||
| - 3 | SW1 | - | |||
| - 3 | SW2 | - | |||
| - 3 | SW3 | - | |||
| - 3 | SW4 | - | |||
| Sediment | pH | Water Content 1 /% | TOC 2 /(g·kg−1) | DOC 3 /(mg·kg−1) | TN 4 /(mg·kg−1) | TNexc 5 /(mg·kg-1) | NH3-Nexc 6 /(mg·kg−1) |
|---|---|---|---|---|---|---|---|
| S1 | 9.07 | 66.6 | 24.9 | 8.3 | 5350 | 189 | 169 |
| S2 | 8.23 | 85.1 | 55.6 | 7.9 | 8080 | 243 | 158 |
| S3 | 8.37 | 38.3 | 14.5 | 7.5 | 2730 | 130 | 71.8 |
| S4 | 7.60 | 37.3 | 14.1 | 7.3 | 2000 | 90.1 | 43.6 |
© 2019 by the authors. Licensee MDPI, Basel, Switzerland. This article is an open access article distributed under the terms and conditions of the Creative Commons Attribution (CC BY) license (http://creativecommons.org/licenses/by/4.0/).
Share and Cite
Luo, X.; Li, Y.; Wu, Q.; Wei, Z.; Li, Q.; Wei, L.; Shen, Y.; Wang, R. Characteristics of Internal Ammonium Loading from Long-Term Polluted Sediments by Rural Domestic Wastewater. Int. J. Environ. Res. Public Health 2019, 16, 4657. https://doi.org/10.3390/ijerph16234657
Luo X, Li Y, Wu Q, Wei Z, Li Q, Wei L, Shen Y, Wang R. Characteristics of Internal Ammonium Loading from Long-Term Polluted Sediments by Rural Domestic Wastewater. International Journal of Environmental Research and Public Health. 2019; 16(23):4657. https://doi.org/10.3390/ijerph16234657
Chicago/Turabian StyleLuo, Xiang, Yungui Li, Qingsong Wu, Zifei Wei, Qingqing Li, Liang Wei, Yi Shen, and Rong Wang. 2019. "Characteristics of Internal Ammonium Loading from Long-Term Polluted Sediments by Rural Domestic Wastewater" International Journal of Environmental Research and Public Health 16, no. 23: 4657. https://doi.org/10.3390/ijerph16234657
APA StyleLuo, X., Li, Y., Wu, Q., Wei, Z., Li, Q., Wei, L., Shen, Y., & Wang, R. (2019). Characteristics of Internal Ammonium Loading from Long-Term Polluted Sediments by Rural Domestic Wastewater. International Journal of Environmental Research and Public Health, 16(23), 4657. https://doi.org/10.3390/ijerph16234657

