Variations in the Distribution of Chl-a and Simulation Using a Multiple Regression Model
Abstract
1. Introduction
2. Materials and Methods
2.1. Study Area and Sampling Sites
2.2. Water Sample Collection and Analysis
2.3. Multivariate Statistical Methods
2.3.1. Principal Component and Factor Analyses
2.3.2. MLR Analysis
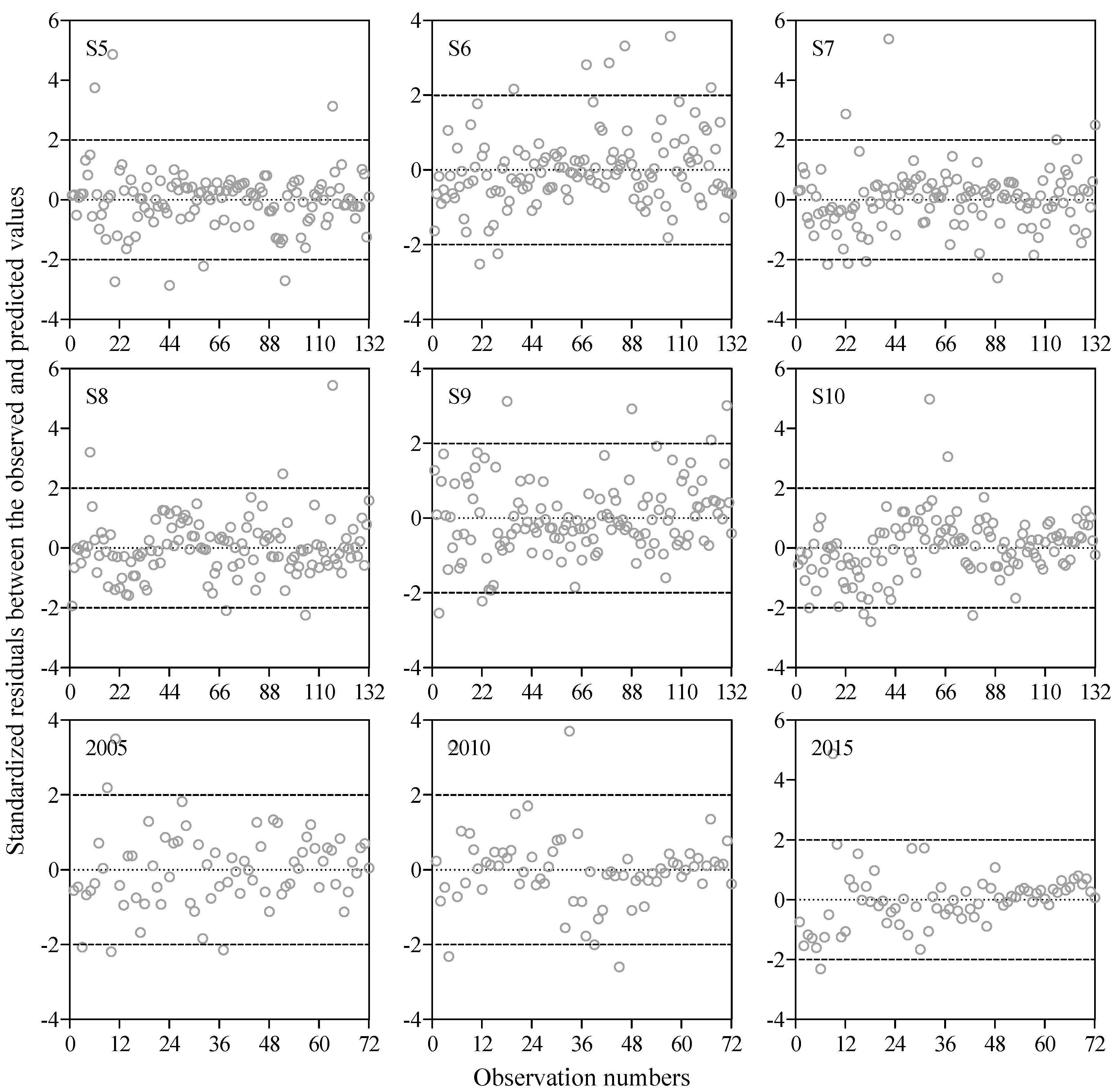
2.3.3. MLR Model Performance Evaluation
3. Results
3.1. Spatiotemporal Variation in Chl-a Concentration in Meiliang Bay
3.2. MLR Model of Chl-a Concentrations and Key Environmental Factors
4. Discussion
4.1. Factors Influencing the Distribution of Chl-a Concentration in Meiliang Bay
4.2. Performance of the MLR Model for Chl-a Concentrations in Lake Taihu
4.3. Implications for Lake Management
5. Conclusions
Supplementary Materials
Author Contributions
Funding
Conflicts of Interest
References
- Kovács, J.; Tanos, P.; Várbíró, G.; Anda, A.; Molnár, S.; Hatvani, I.G. The role of annual periodic behavior of water quality parameters in primary production—Chlorophyll-a estimation. Ecol. Indic. 2017, 78, 311–321. [Google Scholar] [CrossRef]
- Ye, R.; Shan, K.; Gao, H.; Zhang, R.; Xiong, W.; Wang, Y.; Qian, X. Spatiotemporal distribution patterns in environmental factors, Chlorophyll-a and Microcystins in a large shallow lake, Lake Taihu, China. Int. J. Environ. Res. Public Health 2014, 11, 5155–5169. [Google Scholar] [CrossRef] [PubMed]
- Sun, X.; Zhang, H.; Zhong, M.; Wang, Z.; Liang, X.; Huang, T.; Huang, H. Analyses on the temporal and spatial characteristics of water quality in a seagoing river using multivariate statistical techniques: A case study in the Duliujian River, China. Int. J. Environ. Res. Public Health 2019, 16, 1020. [Google Scholar] [CrossRef] [PubMed]
- Lu, F.; Chen, Z.; Liu, W.; Shao, H. Modeling chlorophyll-a concentrations using an artificial neural network for precisely eco-restoring lake basin. Ecol. Eng. 2016, 95, 422–429. [Google Scholar] [CrossRef]
- Bresciani, M.; Stroppiana, D.; Odermatt, D.; Morabito, G.; Giardino, C. Assessing remotely sensed chlorophyll-a for the implementation of the Water Framework Directive in European perialpine lakes. Sci. Total Environ. 2011, 409, 3083–3091. [Google Scholar] [CrossRef] [PubMed]
- Håkanson, L.; Malmaeus, J.M.; Bodemer, U.; Gerhardt, V. Coefficients of variation for chlorophyll, green algae, diatoms, cryptophytes and blue-greens in rivers as a basis for predictive modelling and aquatic management. Ecol. Model. 2003, 169, 179–196. [Google Scholar] [CrossRef]
- Zhang, Y.; Ma, R.; Duan, H.; Loiselle, S.; Zhang, M.; Xu, J. A novel MODIS algorithm to estimate chlorophyll a concentration in eutrophic turbid lakes. Ecol. Indic. 2016, 69, 138–151. [Google Scholar] [CrossRef]
- Huisman, J.; Codd, G.A.; Paerl, H.W.; Ibelings, B.W.; Verspagen, J.M.H.; Visser, P.M. Cyanobacterial blooms. Nat. Rev. Microbiol. 2018, 16, 471–483. [Google Scholar] [CrossRef]
- Deng, J.; Chen, F.; Liu, X.; Peng, J.; Hu, W. Horizontal migration of algal patches associated with cyanobacterial blooms in an eutrophic shallow lake. Ecol. Eng. 2016, 87, 185–193. [Google Scholar] [CrossRef]
- Gons, H.J.; Auer, M.T.; Effler, S.W. MERIS satellite chlorophyll mapping of oligotrophic and eutrophic waters in the Laurentian Great Lakes. Remote Sens. Environ. 2008, 112, 4098–4106. [Google Scholar] [CrossRef]
- Medrano, E.A.; Uittenbogaard, R.E.; Pires, L.M.D.; van de Wiel, B.J.H.; Clercx, H.J.H. Coupling hydrodynamics and buoyancy regulation in Microcystis aeruginosa for its vertical distribution in lakes. Ecol. Model. 2013, 248, 41–56. [Google Scholar] [CrossRef]
- Wang, L.; Wang, Y.; Cheng, H.; Cheng, J. Estimation of the nutrient and chlorophyll a reference conditions in Taihu Lake based on a new method with extreme—Markov theory. Int. J. Environ. Res. Public Health 2018, 15, 2372. [Google Scholar] [CrossRef] [PubMed]
- Muttil, N.; Lee, J.H.W. Genetic programming for analysis and real-time prediction of coastal blooms. Ecol. Model. 2005, 189, 363–376. [Google Scholar] [CrossRef]
- Chau, K.W. An unsteady three-dimensional eutrophication model in Tolo harbour, Hong Kong. Mar. Pollut. Bull. 2005, 51, 1078–1084. [Google Scholar] [CrossRef]
- Wu, N.; Huang, J.; Schmalz, B.; Fohrer, N. Modeling daily chlorophyll a dynamics in a German lowland river using artificial neural networks and multiple linear regression approaches. Limnology 2014, 15, 47–56. [Google Scholar] [CrossRef]
- Hu, W.; Jorgensen, S.E.; Zhang, F. A vertical-compressed three-dimensional ecological model in Lake Taihu, China. Ecol. Model. 2006, 190, 367–398. [Google Scholar] [CrossRef]
- Zhang, H.; Hu, W.; Gu, K.; Li, Q.; Zheng, D.; Zhai, S. An improved ecological model and software for short-term algal bloom forecasting. Environ. Model. Softw. 2013, 48, 152–162. [Google Scholar] [CrossRef]
- Hu, W. A review of the models for Lake Taihu and their application in lake environmental management. Ecol. Model. 2016, 319, 9–20. [Google Scholar] [CrossRef]
- Trimbee, A.M.; Prepas, E.E. Evaluation of total phosphorus as a predictor of the relative biomass of blue-green algae with emphasis on Alberta lakes. Can. J. Fish. Aquat. Sci. 1987, 44, 1337–1342. [Google Scholar] [CrossRef]
- Hecky, R.E.; Kilham, P. Nutrient limitation of phytoplankton in freshwater and marine environments: A review of recent evidence on the effects of enrichment. Limnol. Oceanogr. 1988, 33, 796–822. [Google Scholar] [CrossRef]
- Paerl, H.W.; Scott, J.T.; McCarthy, M.J.; Newell, S.E.; Gardner, W.S.; Havens, K.E.; Hoffman, K.; Wilhelm, S.W.; Wurtsbaugh, W.A. It takes two to tango: When and where dual nutrient (N & P) reductions are needed to protect lakes and downstream ecosystems. Environ. Sci. Technol. 2016, 50, 10805–10813. [Google Scholar] [PubMed]
- Goldman, C.R. Molybdenum as a factor limiting primary productivity in Castle Lake, California. Science 1960, 132, 1016–1017. [Google Scholar] [CrossRef] [PubMed]
- Abell, J.M.; Hamilton, D.P. Biogeochemical processes and phytoplankton nutrient limitation in the inflow transition zone of a large eutrophic lake during a summer rain event. Ecohydrology 2015, 8, 243–262. [Google Scholar] [CrossRef]
- Liu, Y.; Guo, H.; Yang, P. Exploring the influence of lake water chemistry on chlorophyll a: A multivariate statistical model analysis. Ecol. Model. 2010, 221, 681–688. [Google Scholar] [CrossRef]
- Jin, X.; Tu, Q. The Standard Methods for Observation and Analysis in Lake Eutrophication, 2nd ed.; Chinese Environmental Science Press: Beijing, China, 1990. (In Chinese) [Google Scholar]
- Pápista, É.; Ács, É.; Böddi, B. Chlorophyll-a determination with ethanol—A critical test. Hydrobiologia 2002, 485, 191–198. [Google Scholar] [CrossRef]
- Singh, K.P.; Malik, A.; Mohan, D.; Sinha, S. Multivariate statistical techniques for the evaluation of spatial and temporal variations in water quality of Gomti River (India)—A case study. Water Res. 2004, 38, 3980–3992. [Google Scholar] [CrossRef] [PubMed]
- Rajaee, T.; Boroumand, A. Forecasting of chlorophyll-a concentrations in South San FranciscoBay using five different models. Appl. Ocean Res. 2015, 53, 208–217. [Google Scholar] [CrossRef]
- Moriasi, D.; Arnold, J.; Van Liew, M.; Bingner, R.; Harmel, R.; Veith, T. Model evaluation guidelines for systematic quantification of accuracy in watershed simulations. Trans. ASABE 2007, 50, 885–900. [Google Scholar] [CrossRef]
- Levine, S.N.; Shambaugh, A.; Pomeroy, S.E.; Braner, M. Phosphorus, nitrogen, and silica as controls on phytoplankton biomass and species composition in Lake Champlain (USA-Canada). J. Great Lakes Res. 1997, 23, 131–148. [Google Scholar] [CrossRef]
- Smith, V.H. Low nitrogen to phosphorus ratios favor dominance by blue-green algae in lake phytoplankton. Science 1983, 225, 669–671. [Google Scholar] [CrossRef]
- Redfield, A.C. The biological control of chemical factors in the environment. Am. Sci. 1958, 46, 205–221. [Google Scholar]
- Klausmeier, C.A.; Litchman, E.; Daufresne, T.; Levin, S.A. Optimal nitrogen-to-phosphorus stoichiometry of phytoplankton. Nature 2004, 429, 171–174. [Google Scholar] [CrossRef] [PubMed]
- Wang, H.; Liang, X.; Jiang, P.; Wang, J.; Wu, S.; Wang, H. TN:TP ratio and planktivorous fish do not affect nutrient–chlorophyll relationships in shallow lakes. Freshw. Biol. 2008, 53, 935–944. [Google Scholar] [CrossRef]
- Chen, Y.; Qin, B.; Teubner, K.; Dokulil, M. Long-term dynamics of phytoplankton assemblages: Microcystis-domination in Lake Taihu, a large shallow lake in China. J. Plankton Res. 2003, 25, 445–453. [Google Scholar] [CrossRef]
- Xu, S.; Huang, B.; Wei, Z.; Luo, J.; Miao, A.; Yang, L. Seasonal variation of phytoplankton nutrient limitation in Lake Taihu, China: A monthly study from Year 2011 to 2012. Ecotoxicol. Environ. Saf. 2013, 94, 190–196. [Google Scholar] [CrossRef] [PubMed]
- Paerl, H.W.; Xu, H.; McCarthy, M.J.; Zhu, G.; Qin, B.; Li, Y.; Gardner, W.S. Controlling harmful cyanobacterial blooms in a hyper-eutrophic lake (Lake Taihu, China): The need for a dual nutrient (N & P) management strategy. Water Res. 2011, 45, 1973–1983. [Google Scholar]
- Xu, H.; Paerl, H.W.; Qin, B.; Zhu, G.; Hall, N.S.; Wu, Y. Determining critical nutrient thresholds needed to control harmful cyanobacterial blooms in eutrophic Lake Taihu, China. Environ. Sci. Technol. 2015, 49, 1051–1059. [Google Scholar] [CrossRef]
- Nebbioso, A.; Piccolo, A. Molecular characterization of dissolved organic matter (DOM): A critical review. Anal. Bioanal. Chem. 2013, 405, 109–124. [Google Scholar] [CrossRef]
- Feng, W.; Liu, S.; Li, C.; Li, X.; Song, F.; Wang, B.; Chen, H.; Wu, F. Algal uptake of hydrophilic and hydrophobic dissolved organic nitrogen in the eutrophic lakes. Chemosphere 2019, 214, 295–302. [Google Scholar] [CrossRef]
- Papadimitriou, S.; Kennedy, H.; Bentaleb, I.; Thomas, D.N. Dissolved organic carbon in sediments from the eastern North Atlantic. Mar. Chem. 2002, 79, 37–47. [Google Scholar] [CrossRef]
- Bittar, T.B.; Stubbins, A.; Vieira, A.A.H.; Mopper, K. Characterization and photodegradation of dissolved organic matter (DOM) from a tropical lake and its dominant primary producer, the cyanobacteria Microcystis Aeruginosa. Mar. Chem. 2015, 177, 205–217. [Google Scholar] [CrossRef]
- Sepp, M.; Kõiv, T.; Nõges, P.; Nõges, T. The role of catchment soils and land cover on dissolved organic matter (DOM) properties in temperate lakes. J. Hydrol. 2019, 570, 281–291. [Google Scholar] [CrossRef]
- Ye, L.; Wu, X.; Liu, B.; Yan, D.; Kong, F. Dynamics and sources of dissolved organic carbon during phytoplankton bloom in hypereutrophic Lake Taihu (China). Limnologica 2015, 54, 5–13. [Google Scholar] [CrossRef]
- Me, W.; Hamilton, D.P.; McBride, C.G.; Abell, J.M.; Hicks, B.J. Modelling hydrology and water quality in a mixed land use catchment and eutrophic lake: Effects of nutrient load reductions and climate change. Environ. Model. Softw. 2018, 109, 114–133. [Google Scholar] [CrossRef]
- Paerl, H.W.; Otten, T.G. Harmful cyanobacterial blooms: Causes, consequences and controls. Microb. Ecol. 2013, 65, 995–1010. [Google Scholar] [CrossRef]
- Wu, T.; Qin, B.; Brookes, J.D.; Shi, K.; Zhu, G.; Zhu, M.; Yan, W.; Wang, Z. The influence of changes in wind patterns on the areal extension of surface cyanobacterial blooms in a large shallow lake in China. Sci. Total Environ. 2015, 518–519, 24–30. [Google Scholar] [CrossRef]
- Li, F.; Zhang, H.; Zhu, Y.; Xiao, Y.; Chen, L. Effect of flow velocity on phytoplankton biomass and composition in a freshwater lake. Sci. Total Environ. 2013, 447, 64–71. [Google Scholar] [CrossRef]
- Çamdevýren, H.; Demýr, N.; Kanik, A.; Keskýn, S. Use of principal component scores in multiple linear regression models for prediction of Chlorophyll-a in reservoirs. Ecol. Model. 2005, 181, 581–589. [Google Scholar] [CrossRef]
- Zhang, P.; Liang, R.; Zhao, P.; Liu, Q.; Li, Y.; Wang, K.; Li, K.; Liu, Y.; Wang, P. The Hydraulic driving mechanisms of cyanobacteria accumulation and the effects of flow pattern on ecological restoration in Lake Dianchi Caohai. Int. J. Environ. Res. Public Health 2019, 16, 361. [Google Scholar] [CrossRef]
- Seto, M.; Takamura, N.; Iwasa, Y. Individual and combined suppressive effects of submerged and floating-leaved macrophytes on algal blooms. J. Theor. Biol. 2013, 319, 122–133. [Google Scholar] [CrossRef]
- Mulderij, G.; Van Nesc, E.H.; Van Donk, E. Macrophyte–phytoplankton interactions: The relative importance of allelopathy versus other factors. Ecol. Model. 2007, 204, 85–92. [Google Scholar] [CrossRef]
- Zhu, J.; Peng, Z.; Liu, X.; Deng, J.; Zhang, Y.; Hu, W. Response of aquatic plants and water quality to large-scale Nymphoides peltata harvest in a shallow lake. Water 2019, 11, 77. [Google Scholar] [CrossRef]
- Li, Y.; Jalil, A.; Du, W.; Gao, X.; Wang, J.; Luo, L.; Li, H.; Dai, S.; Hashim, S.; Yu, Z.; et al. Wind induced reverse flow and vertical profile characteristics in a semi-enclosed bay of large shallow Lake Taihu, China. Ecol. Eng. 2017, 102, 224–233. [Google Scholar] [CrossRef]
- Horppila, J.; Nurminen, L. Effects of submerged macrophytes on sediment resuspension and internal phosphorus loading in Lake Hiidenvesi (Southern Finland). Water Res. 2003, 37, 4468–4474. [Google Scholar] [CrossRef]
- Huang, J.; Gao, J.; Hörmann, G. Hydrodynamic-phytoplankton model for short-term forecasts of phytoplankton in Lake Taihu, China. Limnologica 2012, 42, 7–18. [Google Scholar] [CrossRef]
- Jiang, L.; Li, Y.; Zhao, X.; Tillotson, M.R.; Wang, W.; Zhang, S.; Sarpong, L.; Asma, Q.; Pan, B. Parameter uncertainty and sensitivity analysis of water quality model in Lake Taihu, China. Ecol. Model. 2018, 375, 1–12. [Google Scholar] [CrossRef]
- James, R.T.; Havens, K.; Zhu, G.; Qin, B. Comparative analysis of nutrients, chlorophyll and transparency in two large shallow lakes (Lake Taihu, P.R. China and Lake Okeechobee, USA). Hydrobiologia 2009, 627, 211–231. [Google Scholar] [CrossRef]
- Hamilton, D.P.; Salmaso, N.; Paerl, H.W. Mitigating harmful cyanobacterial blooms: Strategies for control of nitrogen and phosphorus loads. Aquat. Ecol. 2016, 50, 351–366. [Google Scholar] [CrossRef]
- Sachse, R.; Petzoldt, T.; Blumstock, M.; Moreira, S.; Pätzig, M.; Rücker, J.; Janse, J.H.; Mooij, W.M.; Hilt, S. Extending one-dimensional models for deep lakes to simulate the impact of submerged macrophytes on water quality. Environ. Model. Softw. 2014, 61, 410–423. [Google Scholar] [CrossRef]








| Variable | PC1 | PC2 | PC3 | Communality |
|---|---|---|---|---|
| WT | 0.028 | −0.332 | 0.810 | 0.768 |
| SD | −0.487 | −0.110 | 0.136 | 0.268 |
| DO | −0.139 | −0.333 | −0.894 | 0.930 |
| pH | 0.137 | −0.862 | 0.036 | 0.763 |
| NO3−-N | −0.065 | 0.477 | −0.463 | 0.445 |
| NH4+-N | 0.545 | 0.703 | 0.098 | 0.801 |
| TN | 0.609 | 0.720 | −0.083 | 0.896 |
| DOM | 0.863 | −0.221 | 0.235 | 0.849 |
| TP | 0.799 | 0.088 | 0.398 | 0.805 |
| Eigenvalue | 3.048 | 2.341 | 1.137 | |
| % Total variance | 25.904 | 25.257 | 21.336 |
| Variable | Unstandardized Coefficients | t-test | p | Collinearity Statistics | ||
|---|---|---|---|---|---|---|
| B | Standard Error | Tolerance | VIF | |||
| Constant | −129.84 | 8.19 | −15.86 | 0.00 | ||
| WT (°C) | 1.80 | 0.15 | 11.64 | 0.00 | 0.60 | 1.68 |
| TP (mg/L) | 122.34 | 24.90 | 4.91 | 0.00 | 0.35 | 2.88 |
| DOM (mg/L) | 12.15 | 0.89 | 13.69 | 0.00 | 0.41 | 2.45 |
| pH | 6.14 | 0.63 | 9.82 | 0.00 | 0.49 | 2.04 |
| Cs = aCo + b | n | Parameters Assessing Goodness of Fit | p | ||||
|---|---|---|---|---|---|---|---|
| a | b | R2 | E | RSR | |||
| S5 | 0.4244 | 30.094 | 132 | 0.7326 | 0.6026 | 0.5333 | <0.001 ** |
| S6 | 0.8965 | 1.2164 | 132 | 0.7405 | 0.7048 | 0.4774 | <0.001 ** |
| S7 | 0.5209 | 13.488 | 132 | 0.7865 | 0.6931 | 0.4846 | <0.001 ** |
| S8 | 0.6445 | 12.029 | 132 | 0.6792 | 0.6349 | 0.5172 | <0.001 ** |
| S9 | 1.1267 | −0.3766 | 132 | 0.5655 | 0.0787 | 0.6925 | <0.001 ** |
| S10 | 0.6227 | 6.7797 | 132 | 0.5179 | 0.4040 | 0.6111 | <0.001 ** |
| 2005 | 0.4729 | 14.712 | 72 | 0.8894 | 0.6911 | 0.4858 | <0.001 ** |
| 2010 | 0.7279 | 6.1363 | 72 | 0.7622 | 0.7599 | 0.4400 | <0.001 ** |
| 2015 | 0.6646 | 8.3166 | 72 | 0.7236 | 0.7199 | 0.4678 | <0.001 ** |
© 2019 by the authors. Licensee MDPI, Basel, Switzerland. This article is an open access article distributed under the terms and conditions of the Creative Commons Attribution (CC BY) license (http://creativecommons.org/licenses/by/4.0/).
Share and Cite
Deng, J.; Chen, F.; Hu, W.; Lu, X.; Xu, B.; Hamilton, D.P. Variations in the Distribution of Chl-a and Simulation Using a Multiple Regression Model. Int. J. Environ. Res. Public Health 2019, 16, 4553. https://doi.org/10.3390/ijerph16224553
Deng J, Chen F, Hu W, Lu X, Xu B, Hamilton DP. Variations in the Distribution of Chl-a and Simulation Using a Multiple Regression Model. International Journal of Environmental Research and Public Health. 2019; 16(22):4553. https://doi.org/10.3390/ijerph16224553
Chicago/Turabian StyleDeng, Jiancai, Fang Chen, Weiping Hu, Xin Lu, Bin Xu, and David P. Hamilton. 2019. "Variations in the Distribution of Chl-a and Simulation Using a Multiple Regression Model" International Journal of Environmental Research and Public Health 16, no. 22: 4553. https://doi.org/10.3390/ijerph16224553
APA StyleDeng, J., Chen, F., Hu, W., Lu, X., Xu, B., & Hamilton, D. P. (2019). Variations in the Distribution of Chl-a and Simulation Using a Multiple Regression Model. International Journal of Environmental Research and Public Health, 16(22), 4553. https://doi.org/10.3390/ijerph16224553

