A Cross-Sectional Description of Parental Perceptions and Practices Related to Risky Play and Independent Mobility in Children: The New Zealand State of Play Survey
Abstract
1. Introduction
2. Materials and Methods
2.1. Participants and Setting
2.2. Eligibility and Inclusion Criteria
2.3. Procedures
2.4. State of Play Survey
2.4.1. Tolerance for Risk in Play Scale
2.4.2. Risk Engagement and Protection Survey
2.4.3. Perception of Positive Potentiality of Outdoor Autonomy for Children Scale
2.4.4. Extraneous Barriers to Risky Play
2.4.5. Participation in Risky Play Activities
2.4.6. Active Transportation and Independent Mobility
2.5. Statistical Analysis
3. Results
3.1. Participants
3.2. Survey Questionnaires
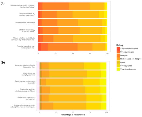
3.2.1. Tolerance for Risk in Play
3.2.2. Risk Engagement and Protection
3.2.3. Perception of Positive Potentiality of Outdoor Autonomy for Children (PPOAC)
3.2.4. Extraneous Barriers to Risky Play
3.2.5. Participation in Risky Play Categories
3.2.6. Active Transportation and Independent Mobility
4. Discussion
5. Conclusions
Supplementary Materials
Author Contributions
Funding
Acknowledgments
Conflicts of Interest
References
- Biddle, S.J.H.; Asare, M. Physical activity and mental health in children and adolescents: A review of reviews. Br. J. Sports Med. 2011, 45, 886–895. [Google Scholar] [CrossRef] [PubMed]
- Poitras, V.J.; Gray, C.E.; Borghese, M.M.; Carson, V.; Chaput, J.-P.; Janssen, I.; Katzmarzyk, P.T.; Pate, R.R.; Gorber, S.C.; Kho, M.E.; et al. Systematic review of the relationships between objectively measured physical activity and health indicators in school-aged children and youth. Appl. Physiol. Nutr. Metab. 2016, 41, S197–S239. [Google Scholar] [CrossRef] [PubMed]
- Farmer, V.L.; Williams, S.M.; Mann, J.I.; Schofield, G.; McPhee, J.C.; Taylor, R.W. The effect of increasing risk and challenge in the school playground on physical activity and weight in children: A cluster randomised controlled trial (PLAY). Int. J. Obes. 2017, 41, 793–800. [Google Scholar] [CrossRef] [PubMed]
- Hinckson, E.; Cerin, E.; Mavoa, S.; Smith, M.; Badland, H.; Stewart, T.; Duncan, S.; Schofield, G. Associations of the perceived and objective neighborhood environment with physical activity and sedentary time in New Zealand adolescents. Int. J. Behav. Nutr. Phys. Act. 2017, 14, 145. [Google Scholar] [CrossRef] [PubMed]
- Worl Health Organisation. WHO | Global Recommendations on Physical Activity for Health; World Health Organisation: Geneva, Switzerland, 2010. [Google Scholar]
- Hofferth, S.L. Changes in American children’s time—1997 to 2003. Electron. Int. J. Time Use Res. 2009, 6, 26–47. [Google Scholar] [CrossRef] [PubMed]
- Maddison, R.; Marsh, S.; Hinckson, E.; Duncan, S.; Mandic, S.; Taylor, R.; Smith, M. Results from New Zealand’s 2016 Report Card on Physical Activity for Children and Youth. J. Phys. Act. Health 2016, 13, S225–S230. [Google Scholar] [CrossRef]
- Telama, R. Tracking of Physical Activity from Childhood to Adulthood: A Review. Obes. Facts 2009, 2, 187–195. [Google Scholar] [CrossRef]
- Itoh, H.; Kitamura, F.; Hagi, N.; Mashiko, T.; Matsukawa, T.; Yokoyama, K. Leisure-time physical activity in youth as a predictor of adult leisure physical activity among Japanese workers: A cross-sectional study. Environ. Health Prev. Med. 2017, 22, 37. [Google Scholar] [CrossRef]
- Jambor, T. Risk-taking needs in children: An accommodating play environment. Child. Environ. Q. 1986, 3, 22–25. [Google Scholar]
- Henniger, M.L. Planning for Outdoor Play. Young Child. 1994, 49, 10–15. [Google Scholar]
- Whitebread, D. The Importance of Play; Toy Industries of Europe: Cambridge, UK, 2012. [Google Scholar]
- Gray, P. The decline of play and the rise of psychopathology in children and adolescents. Am. J. Play. 2011, 3, 443–463. [Google Scholar]
- United Nations Convention on the Rights of the Child; United Nations: Rome, Italy, 1990.
- Sandseter, E.B.H.; Kennair, L.E.O. Children’s Risky Play from an Evolutionary Perspective: The Anti-Phobic Effects of Thrilling Experiences. Evol. Psychol. 2011, 9, 147470491100900220. [Google Scholar] [CrossRef]
- Brussoni, M.; Gibbons, R.; Gray, C.; Ishikawa, T.; Sandseter, E.B.H.; Bienenstock, A.; Chabot, G.; Fuselli, P.; Herrington, S.; Janssen, I.; et al. What is the Relationship between Risky Outdoor Play and Health in Children? A Systematic Review. Int. J. Environ. Res. Public Health 2015, 12, 6423–6454. [Google Scholar] [CrossRef] [PubMed]
- Gray, C.; Gibbons, R.; Larouche, R.; Sandseter, E.B.H.; Bienenstock, A.; Brussoni, M.; Chabot, G.; Herrington, S.; Janssen, I.; Pickett, W.; et al. What Is the Relationship between Outdoor Time and Physical Activity, Sedentary Behaviour, and Physical Fitness in Children? A Systematic Review. Int. J. Environ. Res. Public Health 2015, 12, 6455–6474. [Google Scholar] [CrossRef] [PubMed]
- Whitebread, D. Free play and children’s mental health. Lancet Child Adolesc. Health 2017, 1, 167–169. [Google Scholar] [CrossRef]
- Sandseter, E.B.H. Categorising risky play-how can we identify risk-taking in children’s play? Eur. Early Child. Educ. Res. J. 2007, 15, 237–252. [Google Scholar] [CrossRef]
- Stine, S. Landscapes for Learning: Creating Outdoor Environments for Children and Youth; John Wiley & Sons: Hoboken, NJ, USA, 1997; ISBN 978-0-471-16222-3. [Google Scholar]
- Christensen, P.; Mikkelsen, M.R. Jumping off and being careful: Children’s strategies of risk management in everyday life. Sociol. Health Illn. 2008, 30, 112–130. [Google Scholar] [CrossRef] [PubMed]
- Niehues, A.N.; Bundy, A.; Broom, A.; Tranter, P. Reframing healthy risk taking: Parents’ dilemmas and strategies to promote children’s well-being. J. Occup. Sci. 2016, 23, 449–463. [Google Scholar] [CrossRef]
- Little, H. Mothers’ beliefs about risk and risk-taking in children’s outdoor play. J. Adventure Educ. Outdoor Learn. 2015, 15, 24–39. [Google Scholar] [CrossRef]
- Wilkes, S.; Cordier, R.; Bundy, A.; Docking, K.; Munro, N. A play-based intervention for children with ADHD: A pilot study. Aust. Occup. Ther. J. 2011, 58, 231–240. [Google Scholar] [CrossRef]
- Barnes, G.; Wilkes-Gillan, S.; Bundy, A.; Cordier, R. The social play, social skills and parent-child relationships of children with ADHD 12months following a RCT of a play-based intervention. Aust. Occup. Ther. J. 2017, 64, 457–465. [Google Scholar] [CrossRef] [PubMed]
- Bassett, D.R.; John, D.; Conger, S.A.; Fitzhugh, E.C.; Coe, D.P. Trends in Physical Activity and Sedentary Behaviors of United States Youth. J. Phys. Act. Health 2015, 12, 1102–1111. [Google Scholar] [CrossRef] [PubMed]
- Schoeppe, S.; Tranter, P.; Duncan, M.J.; Curtis, C.; Carver, A.; Malone, K. Australian children’s independent mobility levels: Secondary analyses of cross-sectional data between 1991 and 2012. Child. Geogr. 2016, 14, 408–421. [Google Scholar] [CrossRef]
- Witten, K.; Kearns, R.; Carroll, P.; Asiasiga, L.; Tava’e, N. New Zealand parents’ understandings of the intergenerational decline in children’s independent outdoor play and active travel. Child. Geogr. 2013, 11, 215–229. [Google Scholar] [CrossRef]
- Clements, R. An Investigation of the Status of Outdoor Play. Contemp. Issues Early Child. 2004, 5, 68–80. [Google Scholar] [CrossRef]
- Watchman, T.; Spencer-Cavaliere, N. Times have changed: Parent perspectives on children’s free play and sport. Psychol. Sport Exerc. 2017, 32, 102–112. [Google Scholar] [CrossRef]
- Bhosale, J.; Duncan, S.; Schofield, G. Intergenerational change in children’s independent mobility and active transport in New Zealand children and parents. J. Transp. Health 2017, 7, 247–255. [Google Scholar] [CrossRef]
- Kalish, M.; Banco, L.; Burke, G.; Lapidus, G. Outdoor play: A survey of parent’s perceptions of their child’s safety. J. Trauma 2010, 69, S218–S222. [Google Scholar] [CrossRef]
- Wyver, S.; Tranter, P.; Naughton, G.; Little, H.; Sandseter, E.; Bundy, A. Ten ways to restrict children’s freedom to play: The problem of surplus safety. Contemp. Issues Early Child. 2010, 11, 263–277. [Google Scholar] [CrossRef]
- Lee, H.; Tamminen, K.A.; Clark, A.M.; Slater, L.; Spence, J.C.; Holt, N.L. A meta-study of qualitative research examining determinants of children’s independent active free play. Int. J. Behav. Nutr. Phys. Act. 2015, 12, 5. [Google Scholar] [CrossRef]
- Esteban-Cornejo, I.; Carlson, J.A.; Conway, T.L.; Cain, K.L.; Saelens, B.E.; Frank, L.D.; Glanz, K.; Roman, C.G.; Sallis, J.F. Parental and Adolescent Perceptions of Neighborhood Safety Related to Adolescents’ Physical Activity in Their Neighborhood. Res. Q. Exerc. Sport 2016, 87, 191–199. [Google Scholar] [CrossRef] [PubMed]
- Oliver, M.; Parker, K.; Witten, K.; Mavoa, S.; Badland, H.M.; Donovan, P.; Chaudhury, M.; Kearns, R. Children’s Out-of-School Independently Mobile Trips, Active Travel, and Physical Activity: A Cross-Sectional Examination from the Kids in the City Study. J. Phys. Act. Health 2016, 13, 318–324. [Google Scholar] [CrossRef]
- Rissotto, A.; Tonucci, F. Freedom of movement and environmental knowledge in elementary school children. J. Environ. Psychol. 2002, 22, 65–77. [Google Scholar] [CrossRef]
- Larouche, R.; Mammen, G.; Rowe, D.A.; Faulkner, G. Effectiveness of active school transport interventions: A systematic review and update. BMC Public Health 2018, 18, 206. [Google Scholar] [CrossRef] [PubMed]
- Sedlak, A.J.; Mettenburg, J.; Basena, M.; Petta, I.; McPherson, K.; Greene, A.; Li, S. Fourth National Incidence Study of Child Abuse and Neglect (NIS–4): Report to Congress; Department of Health and Human Services, Administration for Children and Families: Washington, DC, USA, 2010.
- Tomison, A.M. Update on Child Sexual Abuse; Australian Institute of Family Studies: Southbank, Victoria, Australia, 1995.
- Ronken, C.; Johnston, H. Child Sexual Assault: Facts and Stats; Bravehearts: Gold Coast, Queensland, Australia, 2015. [Google Scholar]
- OECD Family Database Child homicide in New Zealand: How Do the Numbers Compare Internationally? Available online: http://www.stuff.co.nz/national/crime/74207543/child-homicide-in-new-zealand-how-do-the-numbers-compare-internationally (accessed on 12 June 2018).
- New Zealand Police Child Protection Guidelines. Available online: http://www.police.govt.nz/advice/personal-and-community-advice/school-portal/information-and-guidelines/child-protection (accessed on 23 August 2018).
- Ministry of Transport Annual Number of Road Deaths Historical Information. Available online: https://www.transport.govt.nz/resources/road-safety-resources/road-deaths/annual-number-of-road-deaths-historical-information/ (accessed on 12 June 2018).
- Bundy, A.C.; Luckett, T.; Tranter, P.J.; Naughton, G.A.; Wyver, S.R.; Ragen, J.; Spies, G. The Risk is that there is “no risk”: A simple innovative intervention to increase children’s activity levels. Int. J. Early Years Educ. 2009, 17, 33–45. [Google Scholar] [CrossRef]
- Ball, D.J.; Great Britain; Health and Safety Executive; Middlesex University. Playgrounds—Risks, Benefits and Choices; HSE Books: Sudbury, ON, Canada, 2002; ISBN 978-0-7176-2340-2.
- Emberson, H.I. An Exploration of the Nature of Physically Active Play in New Zealand Early Childhood Education. Ph.D. Thesis, University of Otago, Dunedin, New Zealand, 2016. [Google Scholar]
- Veitch, J.; Bagley, S.; Ball, K.; Salmon, J. Where do children usually play? A qualitative study of parents’ perceptions of influences on children’s active free-play. Health Place 2006, 12, 383–393. [Google Scholar] [CrossRef]
- United Nations. Political Declaration of the High-Level Meeting of the General Assembly on the Prevention and Control of Non-Communicable Diseases; United Nations: New York, NY, USA, 2011. [Google Scholar]
- Little, H.; Wyver, S.; Gibson, F. The influence of play context and adult attitudes on young children’s physical risk-taking during outdoor play. Eur. Early Child. Educ. Res. J. 2011, 19, 113–131. [Google Scholar] [CrossRef]
- Carver, A.; Watson, B.; Shaw, B.; Hillman, M. A comparison study of children’s independent mobility in England and Australia. Child. Geogr. 2013, 11, 461–475. [Google Scholar] [CrossRef]
- Shaw, B.; Watson, B.; Frauendienst, B.; Redecker, A.; Jones, T.; Hillman, M. Children’s Independent Mobility: A Comparative Study in England and Germany (1971–2010); Policy Studies Institute: London, UK, 2013. [Google Scholar]
- Health & Safety Executive. Managing Risk in Play Provision: A Position Statement; Play Safety Forum; Play England: London, UK, 2008; p. 4.
- Mitra, R.; Faulkner, G.E.; Buliung, R.N.; Stone, M.R. Do parental perceptions of the neighbourhood environment influence children’s independent mobility? Evidence from Toronto, Canada, Do parental perceptions of the neighbourhood environment influence children’s independent mobility? Evidence from Toronto, Canada. Urban Stud. 2014, 51, 3401–3419. [Google Scholar]
- Stephenson, A. Physical Risk-taking: Dangerous or endangered? Early Years 2003, 23, 35–43. [Google Scholar] [CrossRef]
- STROBE Statement: Home. Available online: https://www.strobe-statement.org/index.php?id=strobe-home (accessed on 7 January 2019).
- Bates, B.; Stone, M.R. Measures of outdoor play and independent mobility in children and youth: A methodological review. J. Sci. Med. Sport 2015, 18, 545–552. [Google Scholar] [CrossRef]
- Hill, A.; Bundy, A.C. Reliability and validity of a new instrument to measure tolerance of everyday risk for children. Child Care Health Dev. 2014, 40, 68–76. [Google Scholar] [CrossRef] [PubMed]
- Olsen, L.L.; Ishikawa, T.; Mâsse, L.C.; Chan, G.; Brussoni, M. Risk Engagement and Protection Survey (REPS): Developing and validating a survey tool on fathers’ attitudes towards child injury protection and risk engagement. Inj. Prev. 2018, 24, 106–112. [Google Scholar] [CrossRef] [PubMed]
- Prezza, M.; Alparone, F.R.; Cristallo, C.; Luigi, S. Parental perception of social risk and of positive potentiality of outdoor autonomy for children: The development of two instruments. J. Environ. Psychol. 2005, 25, 437–453. [Google Scholar] [CrossRef]
- Jenkins, N.E. ‘You can’t wrap them up in cotton wool!’ Constructing risk in young people’s access to outdoor play. Health Risk Soc. 2006, 8, 379–393. [Google Scholar] [CrossRef]
- Larouche, R.; Eryuzlu, S.; Livock, H.; Leduc, G.; Faulkner, G.; Trudeau, F.; Tremblay, M.S. Test-retest reliability and convergent validity of measures of children’s travel behaviours and independent mobility. J. Transp. Health 2017, 6, 105–118. [Google Scholar] [CrossRef]
- Wickham, H. GGPlot 2; Springer: New York, NY, USA, 2009. [Google Scholar]
- 2013 Census QuickStats about Culture and Identity; Statistics New Zealand: Wellington, New Zealand, 2014; Available online: https://www.nbr.co.nz/sites/default/files/2013%20Census%20QuickStats%20about%20culture%20and%20identity.pdf (accessed on 17 July 2018).
- McFarland, L.; Laird, S.G. Parents’ and Early Childhood Educators’ Attitudes and Practices in Relation to Children’s Outdoor Risky Play. Early Child. Educ. J. 2018, 46, 159–168. [Google Scholar] [CrossRef]
- Brussoni, M.; Olsen, L.L.; Pike, I.; Sleet, D.A. Risky Play and Children’s Safety: Balancing Priorities for Optimal Child Development. Int. J. Environ. Res Public Health 2012, 9, 3134–3148. [Google Scholar] [CrossRef]
- Carroll, P.; Witten, K.; Kearns, R.; Donovan, P. Kids in the City: Children’s Use and Experiences of Urban Neighbourhoods in Auckland, New Zealand. J. Urban Des. 2015, 20, 417–436. [Google Scholar] [CrossRef]
- Walters, S.R.; Duncan, S.; McPhee, J.; Atkins, D.; Millar, S.-K. ‘Real Play Families’: A New Zealand case study. Int. J. Play. 2018, 7, 97–114. [Google Scholar] [CrossRef]
- Foster, S.; Villanueva, K.; Wood, L.; Christian, H.; Giles-Corti, B. The impact of parents’ fear of strangers and perceptions of informal social control on children’s independent mobility. Health Place 2014, 26, 60–68. [Google Scholar] [CrossRef] [PubMed]
- Sandseter, E.B.H.; Sando, O.J. “We Don’t Allow Children to Climb Trees” How a Focus on Safety Affects Norwegian Children’s Play in Early-Childhood Education and Care Settings. Am. J. Play 2016, 8, 178–200. [Google Scholar]
- Riazi, N.A.; Faulkner, G. Examining Independent Mobility: A Socioecological Approach. In Children’s Active Transportation; Elsevier: Amsterdam, The Netherlands, 2018; pp. 77–87. [Google Scholar]
- Creighton, G.; Brussoni, M.; Oliffe, J.; Olsen, L. “It’s Good for the Kids”: Fathers Consider Risk and Protection in Their Own and Their Children’s Lives. J. Fam. Issues 2017, 38, 1043–1065. [Google Scholar] [CrossRef]
- Skar, M.; Wold, L.C.; Gundersen, V.; O’Brien, L. Why do children not play in nearby nature? Results from a Norwegian survey. J. Adventure Educ. Outdoor Learn. 2016, 16, 239–255. [Google Scholar] [CrossRef]
- Cevher-Kalburan, N.; Ivrendi, A. Risky Play and Parenting Styles. J Child Fam Stud 2016, 25, 355–366. [Google Scholar] [CrossRef]
- Little, H.; Sandseter, E.B.H.; Wyver, S. Early Childhood Teachers’ Beliefs about Children’s Risky Play in Australia and Norway. Contemp. Issues Early Child. 2012, 13, 300–316. [Google Scholar] [CrossRef]
- Ministry of Health. N. Z. Health Survey; Ministry of Health: Auckland, New Zealand, 2017.
- Mental Health Commission. Child and Youth Mental Health and Addiction; Te Kaitataki Oranga: Wellington, New Zealand, 2011; p. 34.








| Category | Risk | Examples |
|---|---|---|
| Great heights | Danger of injury from falling | Climbing, jumping, balancing, hanging, swinging |
| High speed | Uncontrolled speed and pace that may lead to collision | Swinging, sliding/sledging, or non-motorised vehicles |
| Adult tools | Potential for injury or wounds | Knives, saws, axes, drills, ropes |
| Dangerous elements | Risk of injury from falling into or from something | Trees, cliffs, water, fire |
| Rough and tumble | Children may harm each other | Play-fighting, wrestling, fencing with sticks |
| Disappear or get lost | Children are unsupervised, alone or lost | Roaming neighbourhood with friends or alone, exploring |
| Loose parts † | Danger of injury from sharp or heavy objects. Use of dirty objects | Tyres, sticks, timber, tarpaulins |
| Messy play † | Illness from unsanitary environments | Painting, play in mud, dirt, sand, water |
| Characteristic | N (%) |
|---|---|
| Gender | |
| Male | 629 (31.4) |
| Female | 1374 (68.6) |
| Parent age (years) | |
| Under 30 | 192 (9.6) |
| 30–39 | 631 (31.5) |
| 40–49 | 799 (39.9) |
| Over 49 | 381 (19.0) |
| Number of children | |
| One | 675 (33.7) |
| Two | 823 (41.1) |
| Three | 349 (17.4) |
| Four or more | 157 (7.7) |
| Eldest child’s age | |
| 0–4 | 53 (2.6) |
| 5–8 | 299 (14.9) |
| 9–12 | 512 (25.6) |
| 13–16 | 540 (27.0) |
| 16+ | 599 (29.9) |
| Ethnicity | |
| New Zealand European | 1412 (70.5) |
| New Zealand Maori | 234 (11.7) |
| Pacific Island | 114 (5.7) |
| Asian | 146 (7.3) |
| Annual household income | |
| Less than $40.000 | 373 (18.6) |
| $40.000–$100.000 | 855 (42.7) |
| More than $100.000 | 431 (21.5) |
| Location | |
| Large city | 939 (46.9) |
| Small city | 457 (22.8) |
| Town | 377 (18.8) |
| Small town | 102 (5.1) |
| Rural | 122 (6.1) |
| Questionnaire (Score Range) | Median (LQ–UQ) |
|---|---|
| Tolerance of risk in play scale (0–184) | 95 (61–122) |
| Risk averse (0–61) | 41 (24–51) |
| Somewhat risk averse (62–95) | 79 (71–88) |
| Somewhat risk tolerant (96–122) | 111 (103–118) |
| Risk tolerant (123–184) | 138 (130–153) |
| Risk engagement and perception survey | |
| Injury Prevention (6–42) | 24 (21–27) |
| Risk engagement (6–42) | 30 (29–34) |
| Perception of positive potentiality of outdoor autonomy (9–36) † | 25 (23–26) |
| N (%) | |
|---|---|
| Mode: | |
| Active (e.g., walk, bike, skateboard) | 725 (53.1) |
| Passive (e.g., car, bus) | 641 (46.9) |
| Accompaniment †: | |
| Alone | 361 (26.4) |
| Friends | 387 (28.3) |
| Siblings | 509 (37.3) |
| Adult | 1002 (73.4) |
| Roaming the neighbourhood: | |
| Destinations within walking distance | 587 (43.0) |
| Crossing main roads | 605 (44.3) |
| Out alone after dark | 55 (4.0) |
| Cycling on main roads | 259 (19.0) |
| Using buses (not for school) | 181 (13.3) |
© 2019 by the authors. Licensee MDPI, Basel, Switzerland. This article is an open access article distributed under the terms and conditions of the Creative Commons Attribution (CC BY) license (http://creativecommons.org/licenses/by/4.0/).
Share and Cite
Jelleyman, C.; McPhee, J.; Brussoni, M.; Bundy, A.; Duncan, S. A Cross-Sectional Description of Parental Perceptions and Practices Related to Risky Play and Independent Mobility in Children: The New Zealand State of Play Survey. Int. J. Environ. Res. Public Health 2019, 16, 262. https://doi.org/10.3390/ijerph16020262
Jelleyman C, McPhee J, Brussoni M, Bundy A, Duncan S. A Cross-Sectional Description of Parental Perceptions and Practices Related to Risky Play and Independent Mobility in Children: The New Zealand State of Play Survey. International Journal of Environmental Research and Public Health. 2019; 16(2):262. https://doi.org/10.3390/ijerph16020262
Chicago/Turabian StyleJelleyman, Charlotte, Julia McPhee, Mariana Brussoni, Anita Bundy, and Scott Duncan. 2019. "A Cross-Sectional Description of Parental Perceptions and Practices Related to Risky Play and Independent Mobility in Children: The New Zealand State of Play Survey" International Journal of Environmental Research and Public Health 16, no. 2: 262. https://doi.org/10.3390/ijerph16020262
APA StyleJelleyman, C., McPhee, J., Brussoni, M., Bundy, A., & Duncan, S. (2019). A Cross-Sectional Description of Parental Perceptions and Practices Related to Risky Play and Independent Mobility in Children: The New Zealand State of Play Survey. International Journal of Environmental Research and Public Health, 16(2), 262. https://doi.org/10.3390/ijerph16020262

