Methods of Measuring and Processing Signals during Tests of the Exposure of a Motorcycle Driver to Vibration and Noise
Abstract
1. Introduction
2. Method of Measuring the Impact of Vibration and Noise on a Motorcyclist
3. Application of the Developed Measurement Method
4. Signal Processing Method
5. Results and Discussion
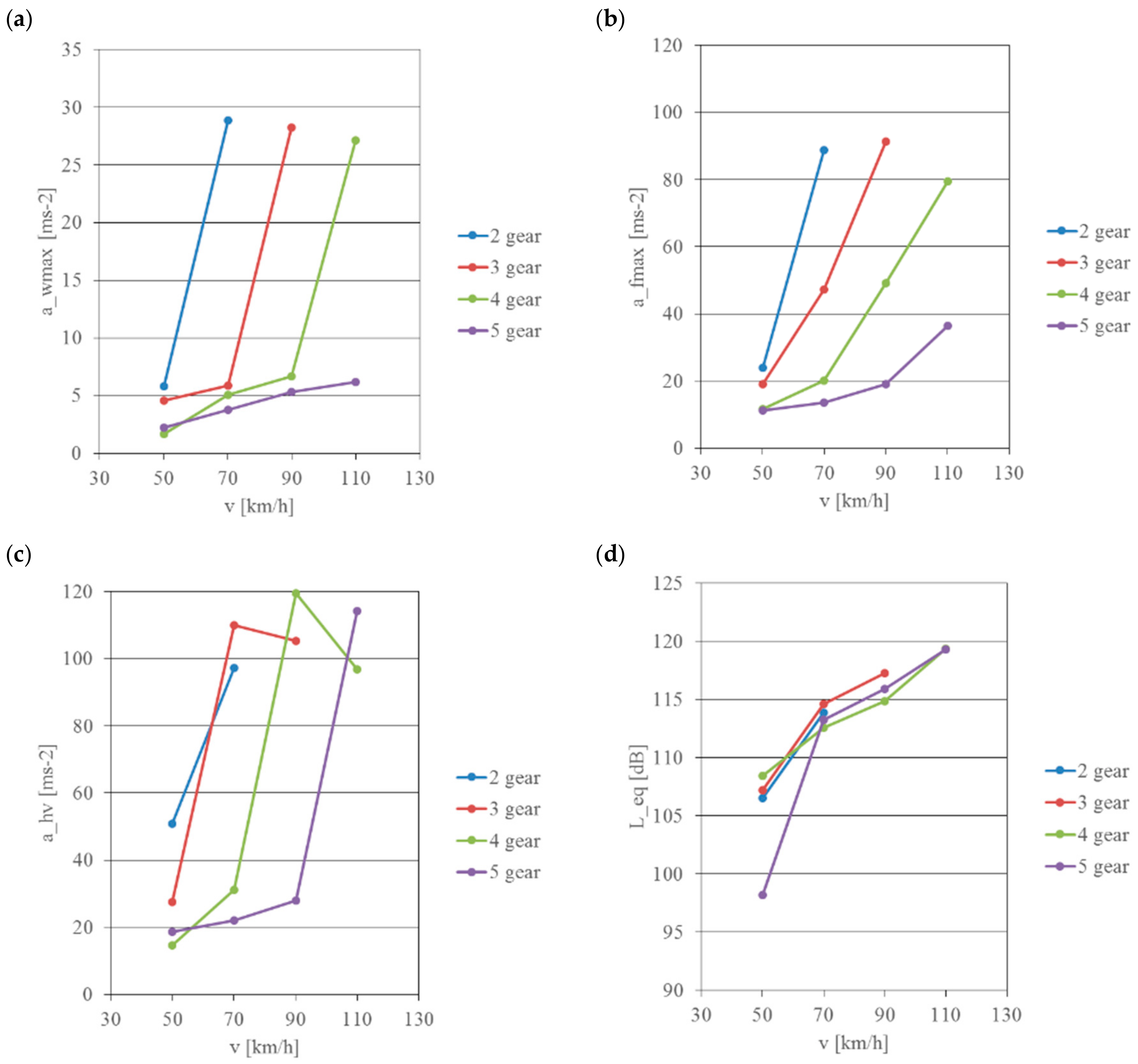
5.1. Research in the Time Domain
5.2. Research in the Frequency Domain
6. Conclusions
Author Contributions
Funding
Conflicts of Interest
References
- Griffin, M.J. Discomfort from feeling vehicle vibration. Veh. Syst. Dyn. 2007, 45, 679–698. [Google Scholar] [CrossRef]
- Griffin, M.J. Handbook of Human Vibration; Academic Press Ltd.: London, UK, 1990. [Google Scholar]
- Palmer, K.T.; Coggon, D.N.; Bendall, H.E.; Pannett, B.; Griffin, M.J.; Haward, B. Whole-body Vibration: Occupational Exposures and Their Health Effects in Great Britain. In Health and Safety Executive Contract Research Report; HSE Books: London, UK, 1999. [Google Scholar]
- Faberi, M.; Martuzzi, M.; Pirrami, F. Assessing the Health Impact and Social Costs of Mopeds: Feasibility Study in Rome; World Health Organization: Geneva, Switzerland, 2004. [Google Scholar]
- Makarewicz, R.; Kokowski, P. Prediction of noise changes due to traffic speed control. J. Acoust. Soc. Am. 2007, 122, 2074–2081. [Google Scholar] [CrossRef] [PubMed]
- Sandberg, U. Noise Emission from Powered Two-Wheeled Vehicles—Position Paper; National Road and Transport Research Institute (VTI): Lingköping, Sweden, 2002. [Google Scholar]
- Vogiatzis, K.E. Strategic Environmental Noise Mapping & Action Plans in Athens Ring Road (ATIIKI ODOS)—GREECE. WSEAS Transtactions Environ. Dev. 2011, 10, 315–324. [Google Scholar]
- Figlus, T.; Gnap, J.; Skrúcaný, T.; Szafraniec, P. Analysis of the influence of different means of transport on the level of traffic noise. Sci. J. Sil. Univ. Technol. Ser. Transp. 2017, 97, 27–38. [Google Scholar] [CrossRef]
- Drozdziel, P.; Rybicka, I.; Madlenak, R.; Andrusiuk, A.; Siluch, D. The engine set damage assessment in the public transport vehicles. Adv. Sci. Technol.-Res. J. 2017, 11, 117–127. [Google Scholar] [CrossRef][Green Version]
- Figlus, T. The application of a continuous wavelet transform for diagnosing damage to the timing chain tensioner in a motorcycle engine. J. Vibroeng. 2015, 18, 1286–1294. [Google Scholar]
- Sága, M.; Vaško, M.; Handrik, M.; Kopas, P. Contribution to random vibration numerical simulation and optimisation of nonlinear mechanical systems. Sci. J. Sil. Univ. Technol. Ser. Transp. 2019, 103, 143–154. [Google Scholar] [CrossRef]
- Gaska, D.; Margielewicz, J.; Haniszewski, T.; Matyja, T.; Konieczny, L.; Chróst, P. Numerical identification of the overhead travelling crane’s dynamic factor caused by lifting the load off the ground. J. Meas. Eng. 2015, 3, 1–8. [Google Scholar]
- Kowalski, P.; Zając, J. Risk of mechanical vibrations of users of two-wheeled vehicles—Own research results. Bezpieczeństwo Pr. 2013, 4, 8–11. [Google Scholar]
- Paddan, G.S.; Griffin, M.J. Evaluation of whole-body vibration in vehicles. J. Sound Vib. 2002, 253, 195–213. [Google Scholar] [CrossRef]
- Zhao, X.; Schindler, C. Evaluation of whole-body vibration exposure experienced by operators of a compact wheel loader according to ISO 2631-1:1997 and ISO 2631-5:2004. Int. J. Ind. Ergon. 2014, 44, 840–850. [Google Scholar] [CrossRef]
- Wolfgang, R.; Burgess-Limerick, R. Whole-body vibration exposure of haul truck drivers at a surface coal mine. Appl. Ergon. 2014, 45, 1700–1704. [Google Scholar] [CrossRef] [PubMed]
- Muzet, A. Environmental noise, sleep and health. Sleep Med. Rev. 2007, 11, 135–142. [Google Scholar] [CrossRef] [PubMed]
- Zacarías, F.F.; Molina, R.H.; Ancela, J.L.C.; López, S.L.; Ojembarrena, A.A. Noise exposure in preterm infants treated with respiratory support using neonatal helmets. Acta Acust. United Acust. 2013, 99, 590–597. [Google Scholar] [CrossRef]
- Chetoni, M.; Ascari, E.; Bianco, F.; Fredianelli, L.; Licitra, G.; Cori, L. Global noise score indicator for classroom evaluation of acoustic performances in LIFE GIOCONDA project. Noise Mapp. 2016, 3, 52–71. [Google Scholar] [CrossRef]
- Minichilli, F.; Gorini, F.; Ascari, E.; Bianchi, F.; Coi, A.; Fredianelli, L.; Licitra, G.; Manzoli, F.; Mezzasalma, L.; Cori, L. Annoyance judgment and measurements of environmental noise: A focus on Italian secondary schools. Int. J. Environ. Res. Public Health 2018, 15, 208. [Google Scholar] [CrossRef] [PubMed]
- Dratva, J.; Phuleria, H.C.; Foraster, M.; Gaspoz, J.M.; Keidel, D.; Künzli, N.; Liu, L.J.; Pons, M.; Zemp, E.; Gerbase, M.W.; et al. Transportation noise and blood pressure in a population-based sample of adults. Environ. Health Perspect. 2012, 120, 50–55. [Google Scholar] [CrossRef] [PubMed]
- Babisch, W.; Beule, B.; Schust, M.; Kersten, N.; Ising, H. Traffic noise and risk of myocardial infarction. Epidemiology 2005, 16, 33–40. [Google Scholar] [CrossRef]
- Miedema, H.M.E.; Oudshoorn, C.G.M. Annoyance from transportation noise: Relationships with exposure metrics DNL and DENL and their confidence intervals. Env. Health Perspect 2001, 109, 409–416. [Google Scholar] [CrossRef]
- Michta, A.; Haniszewski, T. Traffic noise experienced on buses, trams and cars in the urban agglomeration of the city of Katowice. Sci. J. Sil. Univ. Technol. Ser. Transp. 2018, 98, 101–109. [Google Scholar] [CrossRef]
- Skrucany, T.; Kendra, M.; Skorupa, M.; Grencik, J.; Figlus, T. Comparison of chosen environmental aspects in individual road transport and railway passenger transport. Procedia Eng. 2017, 192, 806–811. [Google Scholar] [CrossRef]
- Engel, Z. Environmental Protection Against Vibration and Noise; wyd. 2; Wydawnictwo Naukowe PWN: Warsaw, Poland, 2001. [Google Scholar]
- WHO. Prevention of Noise-Induced Hearing Loss; WHO-PDH Informal Consultation Report; WHO: Geneva, Switzerland, 1997. [Google Scholar]
- Noise Legislation. Available online: http://www.epa.vic.gov.au/about-us/legislation/noise-legislation#noiseregs (accessed on 4 January 2017).
- Ross, B.M. Noise from traffic as a worldwide policy problem. Noise Control Eng. J. 2001, 49, 159–161. [Google Scholar] [CrossRef]
- Sendek-Matysiak, E. Multi-criteria analysis and expert assessment of vehicles with different drive types regarding their functionality and environmental impact. Sci. J. Sil. Univ. Technol. Ser. Transp. 2019, 102, 185–195. [Google Scholar] [CrossRef]
- Skrucany, T.; Sarkan, B.; Figlus, T.; Synak, F.; Vrabel, J. Measuring of noise emitted by moving vehicles. MATEC Web Conf. 2017, 107, 00072. [Google Scholar] [CrossRef]
- WHO. Guidelines for Community Noise; Berglund, B., Lindvall, T., Schwela, D., Eds.; World Health Organization: Geneva, Switzerland, 1999. [Google Scholar]
- Licitra, G.; Ascari, F.; Fredianelli, L. Prioritizing Process in Action Plans: A Review of Approaches. Curr. Pollut. Rep. 2017, 3, 151–161. [Google Scholar] [CrossRef]
- Rybicka, I.; Drozdziel, P.; Stopka, O.; L’uptak, V. Methodology to propose a regional transport organization within specific integrated transport system: A case study. Transp. Probl. 2018, 13, 115–125. [Google Scholar]
- Poliak, M.; Poliakova, A.; Mrnikova, M.; Simurkova, P.; Jaskiewicz, M.; Jurecki, R. The Competitiveness of Public Transport. J. Compet. 2017, 9, 81–97. [Google Scholar] [CrossRef]
- Cueto, J.L.; Petrovici, A.M.; Hernández, R.; Fernández, F. Analysis of the Impact of Bus Signal Priority on Urban Noise. Acta Acust. United Acust. 2017, 103, 561–573. [Google Scholar] [CrossRef]
- Morley, D.W.; de Hoogh, K.; Fecht, D.; Fabbri, F.; Bell, M.; Goodman, P.S.; Elliott, P.; Hodgson, S.; Hansell, A.L.; Gulliver, J. International scale implementation of the CNOSSOS-EU road traffic noise prediction model for epidemiological studies. Environ. Pollut. 2015, 206, 332–341. [Google Scholar] [CrossRef]
- Ruiz-Padillo, A.; Ruiz, D.P.; Torija, A.J.; Ramos-Ridao, A. Selection of suitable alternatives to reduce the environmental impact of road traffic noise using a fuzzy multi-criteria decision model. Environ. Impact Assess. Rev. 2018, 61, 8–18. [Google Scholar] [CrossRef]
- Yamamoto, K. Special issue on road traffic noise prediction methods. Acoust. Sci. Technol. 2010, 31, 1. [Google Scholar] [CrossRef][Green Version]
- Licitra, G.; Fredianelli, L.; Petri, D.; Vigotti, M.A. Annoyance evaluation due to overall railway noise and vibration in Pisa urban areas. Sci. Total Environ. 2016, 568, 1315–1325. [Google Scholar] [CrossRef] [PubMed]
- Bunn, F.; Henrique, P.; Zannin, T. Assessment of railway noise in an urban setting. Appl. Acoust. 2016, 104, 16–23. [Google Scholar] [CrossRef]
- Flores, R.; Asensio, C.; Gagliardi, P.; Licitra, G. Study of the correction factors for aircraft noise façade measurements. Appl. Acoust. 2019, 145, 399–407. [Google Scholar] [CrossRef]
- Iglesias-Merchan, C.; Diaz-Balteiro, L.; Soliño, M. Transportation planning and quiet natural areas preservation: Aircraft overflights noise assessment in a National Park. Transp. Res. Part D Transp. Environ. 2015, 41, 1–12. [Google Scholar] [CrossRef]
- Bernardini, M.; Fredianelli, L.; Fidecaro, F.; Gagliardi, P.; Nastasi, M.L.; Licitra, G. Noise Assessment of Small Vessels for Action Planning in Canal Cities. Environments 2019, 6, 31. [Google Scholar] [CrossRef]
- Figlus, T.; Wilk, A.; Liscak, S.; Kalafarski, M. The influence of muffler type of the exhaust system in the sports motorcycle on the level of the emitted noise. Acta Tech. Corviniensis Bull. Eng. 2013, 6, 59. [Google Scholar]
- Sejkorova, M.; Sarkan, B.; Madlenak, R.; Caban, J.; Marczuk, A.; Verner, J.; Hyrslova, J. Effect of ferrocene addition to a gas oil on smoke opacity and engine noise. Przem. Chem. 2018, 97, 1312–1315. [Google Scholar]
- Šarkan, B.; Skrúcaný, T.; Semanová, Š.; Madleňák, R.; Kuranc, A.; Sejkorová, M.; Caban, J. Vehicle coast-down method as a tool for calculating total resistance for the purposes of typeapproval fuel consumption. Sci. J. Sil. Univ. Technol. Ser. Transp. 2018, 98, 161–172. [Google Scholar]
- Makarewicz, R.; Kokowski, P.; Golebiewski, R.; Galuszka, M. Transportation noise composed of identifiable noise events. Noise Control Eng. J. 2015, 63, 331–338. [Google Scholar] [CrossRef]
- Regulation of the Minister of Transport no 51 from 22 August 2013.
- Regulation (EU) No 540/2014; dated 16 April 2014.
- Department of Transport and the Welsh Office. Calculation of Road Traffic Noise; HMSO: London, UK, 1988; ISBN 0115508473. [Google Scholar]
- FHWA Traffic Noise Model (FHWA TNM); Office of Natural & Human Environment US Department of Transportation Federal Highway Administration: Washington, DC, USA, 2003.
- Sooriyaarachchi, R.T.; Sonnadara, D.U.J. Development of a Road Traffic Noise Prediction Model. In Proceedings of the Technical Sessions Institute of Physics, Colombo, Sri Lanka, March 2006; Volume 22, pp. 17–22. [Google Scholar]
- Berglund, B.; Nilsson, M.E. Total Annoyance and Perceptually Discernible Noise Sources. Proceedings of InterNoise, Nice, France, 27–30 August 2000. [Google Scholar]
- A New Deal for Transport: Better for Everyone; Department for Transport: London, UK, 1998.
- Skanberg, A.; Ohrstrom, E. Adverse health effects in relation to urban residential soundscapes. J. Sound Vib. 2002, 250, 151–155. [Google Scholar] [CrossRef]
- Chen, H.-C.; Chen, W.-C.; Liu, Y.-P.; Chen, C.-Y.; Pan, Y.-T. Whole-body vibration exposure experienced by motorcycle riders—An evaluation according to ISO 2631-1 and ISO 2631-5 standards. Int. J. Ind. Ergon. 2009, 39, 708–718. [Google Scholar] [CrossRef]
- Kennedy, J.; Carley, M.; Walker, I.; Holt, N. On-road and wind-tunnel measurement of motorcycle helmet noise. Acoust. Soc. Am. 2013, 134, 2004–2010. [Google Scholar] [CrossRef] [PubMed]
- Lower, M.C.; Hurst, D.W.; Thomas, A. Noise levels and noise reduction under motorcycle helmets. Proc.-Inst. Acoust. 1996, 18, 979–982. [Google Scholar]
- Malerba, M.; Conti, P. Influence of the rider seating position on motorcycle aerodynamic performance. Int. J. Eng. Sci. Innov. Technol. 2017, 6, 90–97. [Google Scholar]
- Ochiai, A.; Naya, Y.; Soh, J.; Ishida, Y.; Ushijima, S.; Mizutani, Y.; Kawauchi, A.; Miki, T. Do motorcyclists have erectile dysfunction? A preliminary study. Int. J. Impot. Res. 2006, 18, 396–399. [Google Scholar] [CrossRef] [PubMed][Green Version]
- Aldman, B.; Gustaffson, H.; Nygren, A.; Wersall, J. Hearing and motorcycle helmets. J. Traffic Med. 1983, 11, 42–44. [Google Scholar]
- Henderson, R. Effect of Safety Helmets on Auditory Capability; U.S. Department of Transportation, National Highway Traffic Safety Administration, Office of Driver and Pedestrian Research: Washington, DC, USA, 1975. [Google Scholar]
- Lesage, F.-X.; Jovenin, N.; Deschamps, F.; Vincent, S. Noise-induced hearing loss in French police officers. Occup. Med. 2009, 59, 483–486. [Google Scholar] [CrossRef]
- Carlsson, I. Personal Communication with Statistician, Mrs Inge Carlsson at SCB in Örebro, Örebro. 2002.
- Structures of the Hand. Available online: https://teachmeanatomy.info/upper-limb/misc/structures-hand (accessed on 12 November 2018).
- Noh, J.M.; Rezali, K.A.M.; As’arry, A.; Jalil, N.A.A. Transmission of Vibration from Motorcycle Handlebar to the Hand. J. Soc. Automot. Eng. Malays. 2017, 1, 191–197. [Google Scholar]
- Shahar, A.; Poulter, D.; Clarke, D.; Crundall, D. Motorcyclists’ and car drivers’ responses to hazards. Transp. Res. Part F Traffic Psychol. Behav. 2010, 13, 243–254. [Google Scholar] [CrossRef]
- Micucci, A.; Mantecchini, L.; Sangermano, M. Analysis of the Relationship between Turning Signal Detection and Motorcycle Driver’s Characteristics on Urban Roads; A Case Study. Sensors 2019, 19, 1802. [Google Scholar] [CrossRef] [PubMed]
- Motorcycle Accident Cause Factors and Identification of Countermeasures. Volume 2: Appendix/Supplemental Data. Available online: https://rosap.ntl.bts.gov/view/dot/5652 (accessed on 14 April 2019).
- Jelalian, E.; Alday, S.; Spirito, A.; Rasile, D.; Nobile, C. Adolescent motor vehicle crashes: The relationship between behavioral factors and self-reported injury. J. Adolesc. Health 2000, 27, 84–93. [Google Scholar] [CrossRef]
- Hancock, P.A.; Wulf, G.; Thom, D.; Fassnacht, P. Driver workload during differing driving maneuvers. Accid. Anal. Prev. 1990, 22, 281–290. [Google Scholar] [CrossRef]
- Wertheim, A.H. Visual conspicuity: A new simple standard, its reliability, validity and applicability. Ergonomics 2010, 53, 421–442. [Google Scholar] [CrossRef] [PubMed]
- PN-EN ISO 5349-1:2004. Mechanical Vibration—Measurement and Evaluation of Human Exposure to Hand-Transmitted Vibration—Part 1: General Requirements (ISO 5349-1:2001); 2004-07-09, Warszawa.
- PN-EN ISO 5349-2:2004. Mechanical Vibration—Measurement and Evaluation of Human Exposure to Hand-Transmitted Vibration—Part 2: Practical Guidance for Measurement at the Workplace (ISO 5349-2:2001); 2004-07-20, Warszawa.
- PN-EN 14253+A1:2011. Mechanical Vibration—Measurement and Calculation of Occupational Exposure to Whole-Body Vibration with Reference to Health—Practical Guidance; 2011-01-05, Warszawa.
- ISO 2631-1:1997. Mechanical Vibration and Shock—Evaluation of Human Exposure to Whole-Body Vibration—Part 1: General Requirements; 1977-07-15, Geneve.
- PN-N-01307:1994. Noise—Permissible Values of Noise in the Workplace—Requirements Relating to Measurements; 1994-12-30, Warszawa.
- PN-EN-ISO 9612:2011. Acoustics—Determination of Occupational Noise Exposure—Engineering Method (ISO 9612:2009); 2011-08-11, Warszawa.
- Figlus, T.; Szafraniec, P.; Żuradzki, K.; Skrucany, T. Method for measuring vibrations and noise in motorcycle, involves connecting binaural microphones to data acquisition system, connecting ear mantle to external auditory duct, and connecting helmet to data acquisition system. PL419787-A1, 13 December 2016.
- The Regulation of the Minister of Labour and Social Policy. The highest acceptable concentrations and intensities of factors harmful to health in the working environment. The Journal of Laws No. 217, item 1833, 29 November 2002.
- The Regulation of the Minister of Economy and Labour. Amending the regulation on the highest acceptable concentrations and intensities of factors harmful to health in the working environment. The Journal of Laws, no. 212, item. 1769, 10 October 2005.
- The Regulation of the Minister of Economy and Labour. Occupational health and safety during works with exposure to noise or mechanical vibrations. The Journal of Laws of, No. 157, item 118, 5 August 2005.















© 2019 by the authors. Licensee MDPI, Basel, Switzerland. This article is an open access article distributed under the terms and conditions of the Creative Commons Attribution (CC BY) license (http://creativecommons.org/licenses/by/4.0/).
Share and Cite
Figlus, T.; Szafraniec, P.; Skrúcaný, T. Methods of Measuring and Processing Signals during Tests of the Exposure of a Motorcycle Driver to Vibration and Noise. Int. J. Environ. Res. Public Health 2019, 16, 3145. https://doi.org/10.3390/ijerph16173145
Figlus T, Szafraniec P, Skrúcaný T. Methods of Measuring and Processing Signals during Tests of the Exposure of a Motorcycle Driver to Vibration and Noise. International Journal of Environmental Research and Public Health. 2019; 16(17):3145. https://doi.org/10.3390/ijerph16173145
Chicago/Turabian StyleFiglus, Tomasz, Piotr Szafraniec, and Tomáš Skrúcaný. 2019. "Methods of Measuring and Processing Signals during Tests of the Exposure of a Motorcycle Driver to Vibration and Noise" International Journal of Environmental Research and Public Health 16, no. 17: 3145. https://doi.org/10.3390/ijerph16173145
APA StyleFiglus, T., Szafraniec, P., & Skrúcaný, T. (2019). Methods of Measuring and Processing Signals during Tests of the Exposure of a Motorcycle Driver to Vibration and Noise. International Journal of Environmental Research and Public Health, 16(17), 3145. https://doi.org/10.3390/ijerph16173145
 
        


