Quantifying the Impact of Grain for Green Program on Ecosystem Service Management: A Case Study of Exibei Region, China
Abstract
1. Introduction
2. Materials and Methods
2.1. Study Area
2.2. Data
2.3. Methods
2.3.1. Geo-Information Tupu Change Analysis Based on GIS
2.3.2. Measuring Ecosystem Services Value
2.3.3. Measuring Ecosystem Services Scarcity Value
2.3.4. Sensitivity Analysis and the Coefficient of Variation Analysis
2.3.5. Field Survey and Semi-Structured Interviews
3. Results
3.1. Land Use Change Based on Geo-Information Tupu
3.2. Spatio-Temporal Change of Ecosystem Services Value (ESV)
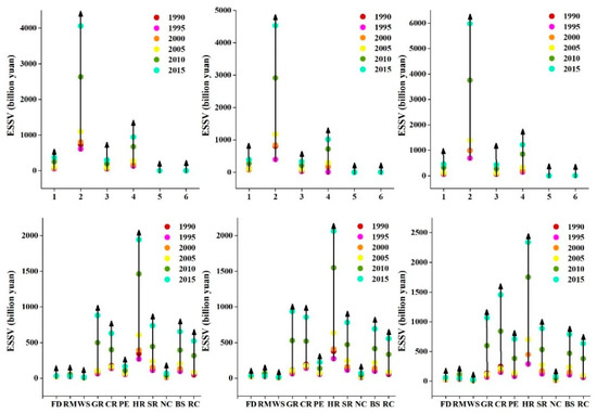
3.3. The Effects of Supply and Demand Dynamics on the Ecosystem Services Scarcity Value (ESSV)
3.4. Sensitivity Analysis for Ecosystem Service Value
3.5. Analysis of Inhabitant Perceptions of Ecosystem Services
4. Discussion
4.1. Impact of GGP on Ecosystem Services
4.2. Impact of Supply and Demand Dynamics on the Ecosystem Services Scarcity Value
4.3. Impact of GGP on Local Communities Perception of Ecosystem Services
4.4. Sustainability of Ecosystem Services Management and Recommendations
5. Conclusions
Author Contributions
Funding
Acknowledgments
Conflicts of Interest
References
- Li, Y.; Feng, Y.; Guo, X.; Peng, F. Changes in coastal city ecosystem service values based on land use—A case study of Yingkou, China. Land Use Policy 2017, 65, 287–293. [Google Scholar] [CrossRef]
- Peng, J.; Tian, L.; Liu, Y.; Zhao, M.; Hu, Y.N.; Wu, J. Ecosystem services response to urbanization in metropolitan areas: Thresholds identification. Sci. Total Environ. 2017, 607, 706–714. [Google Scholar] [CrossRef] [PubMed]
- Daily, G.; Postel, S.; Bawa, K.; Kaufman, L. Nature’s Services: Societal Dependence On Natural Ecosystems; Island Press: Washington, DC, USA, 1997. [Google Scholar]
- Costanza, R.; d’Arge, R.; de Groot, R.; Farber, S.; Grasso, M.; Hannon, B.; Limburg, K.; Naeem, S.; O’Neill, R.V.; Paruelo, J.; et al. The value of the world’s ecosystem services and natural capital. Nature 1997, 387, 253–260. [Google Scholar] [CrossRef]
- Wu, X.; Wang, S.; Fu, B.; Liu, Y.; Zhu, Y. Land use optimization based on ecosystem service assessment: A case study in the Yanhe watershed. Land Use Policy 2018, 72, 303–312. [Google Scholar] [CrossRef]
- Hao, R.; Yu, D.; Liu, Y.; Liu, Y.; Qiao, J.; Wang, X.; Du, J. Impacts of changes in climate and landscape pattern on ecosystem services. Sci. Total Environ. 2017, 579, 718–728. [Google Scholar] [CrossRef] [PubMed]
- Manea, E.; Di Carlo, D.; Depellegrin, D.; Agardy, T.; Gissi, E. Multidimensional assessment of supporting ecosystem services for marine spatial planning of the Adriatic Sea. Ecol. Indic. 2019, 101, 821–837. [Google Scholar] [CrossRef]
- MEA (Millennium Ecosystem Assessment). Ecosystems and Human Well-Being: Current State and Trends; Island Press: Washington, DC, USA, 2005. [Google Scholar]
- Harrison, P.A.; Dunford, R.; Barton, D.N.; Kelemen, E.; Martín-López, B.; Norton, L.; Termansen, M.; Saarikoski, H.; Hendriks, K.; Gómez-Baggethun, E.; et al. Selecting methods for ecosystem service assessment: A decision tree approach. Ecosyst. Serv. 2018, 29, 481–498. [Google Scholar] [CrossRef]
- Luck, G.W.; Harrington, R.; Harrison, P.A.; Kremen, C.; Berry, P.M.; Bugter, R.; Dawson, T.R.; Bello, F.D.; Díaz, S.; Feld, C.K. Quantifying the Contribution of Organisms to the Provision of Ecosystem Services. Bioscience 2009, 59, 223–235. [Google Scholar] [CrossRef]
- Wang, Y.; Dai, E.; Yin, L.; Ma, L. Land use/land cover change and the effects on ecosystem services in the Hengduan Mountain region, China. Ecosyst. Serv. 2018, 34, 55–67. [Google Scholar] [CrossRef]
- Mancini, M.S.; Galli, A.; Coscieme, L.; Niccolucci, V.; Lin, D.; Pulselli, F.M.; Bastianoni, S.; Marchettini, N. Exploring ecosystem services assessment through Ecological Footprint accounting. Ecosyst. Serv. 2018, 30, 228–235. [Google Scholar] [CrossRef]
- Carpenter, S.R.; Mooney, H.A.; John, A.; Doris, C.; Defries, R.S.; Sandra, D.; Thomas, D.; Duraiappah, A.K.; Alfred, O.Y.; Henrique Miguel, P. Science for managing ecosystem services: Beyond the Millennium Ecosystem Assessment. Proc. Natl. Acad. Sci. USA 2009, 106, 1305–1312. [Google Scholar] [CrossRef] [PubMed]
- Chen, J.; Jiang, B.; Bai, Y.; Xu, X.; Alatalo, J.M. Quantifying ecosystem services supply and demand shortfalls and mismatches for management optimisation. Sci. Total Environ. 2019, 650, 1426–1439. [Google Scholar] [CrossRef] [PubMed]
- de Groot, R.S.; Alkemade, R.; Braat, L.; Hein, L.; Willemen, L. Challenges in integrating the concept of ecosystem services and values in landscape planning, management and decision making. Ecol. Complex. 2010, 7, 260–272. [Google Scholar] [CrossRef]
- SFAPRC (State Forestry Administration of the People’s Republic of China). China National Report on Monitoring Ecological Benefits for the Conversion of Cropland to Forest Project in 2013; China Forestry Publishing House: Beijing, China, 2014; pp. 70–92.
- Deng, L.; Liu, G.B.; Shangguan, Z.P. Land-use conversion and changing soil carbon stocks in China’s ‘Grain-for-Green’ Program: A synthesis. Glob. Chang. Biol. 2015, 20, 3544–3556. [Google Scholar] [CrossRef] [PubMed]
- Wang, B.; Gao, P.; Niu, X.; Sun, J. Policy-driven China’s Grain to Green Program: Implications for ecosystem services. Ecosyst. Serv. 2017, 27, 38–47. [Google Scholar] [CrossRef]
- Li, G.; Sun, S.; Han, J.; Yan, J.; Liu, W.; Wei, Y.; Lu, N.; Sun, Y. Impacts of Chinese Grain for Green program and climate change on vegetation in the Loess Plateau during 1982–2015. Sci. Total Environ. 2019, 660, 177–187. [Google Scholar] [CrossRef] [PubMed]
- Wang, J.; Peng, J.; Zhao, M.; Liu, Y.; Chen, Y. Significant trade-off for the impact of Grain-for-Green Programme on ecosystem services in North-western Yunnan, China. Sci. Total Environ. 2017, 574, 57–64. [Google Scholar] [CrossRef]
- Guo, H.; Li, B.; Hou, Y.; Lu, S.; Nan, B. Rural households’ willingness to participate in the Grain for Green program again: A case study of Zhungeer, China. For. Policy Econ. 2014, 44, 42–49. [Google Scholar] [CrossRef]
- Zhou, H.; Van Rompaey, A.; Wang, J.A. Detecting the impact of the “Grain for Green” program on the mean annual vegetation cover in the Shaanxi province, China using SPOT-VGT NDVI data. Land Use Policy 2009, 26, 954–960. [Google Scholar] [CrossRef]
- Zhang, Z.; Paudel, K.P. Policy improvements and farmers’ willingness to participate: Insights from the new round of China’s Sloping Land Conversion Program. Ecol. Econ. 2019, 162, 121–132. [Google Scholar] [CrossRef]
- Jin, L.; Ina, P.; Alvin, L.; Paris, K. Sloping Lands Conversion Programme, People’s Republic of China; IIED: London, UK, 2017. [Google Scholar]
- Hoek, J.V.D.; Ozdogan, M.; Burnicki, A.; Zhu, A.X. Evaluating forest policy implementation effectiveness with a cross-scale remote sensing analysis in a priority conservation area of Southwest China. Appl. Geogr. 2014, 47, 177–189. [Google Scholar] [CrossRef]
- Lu, X.; Shi, Y.; Chen, C.; Yu, M. Monitoring cropland transition and its impact on ecosystem services value in developed regions of China: A case study of Jiangsu Province. Land Use Policy 2017, 69, 25–40. [Google Scholar] [CrossRef]
- Dong, S.; Zhao, Y.; Li, X. Spatiotemporal patterns of land use change in Plateau Region based on the terrain gradient—A case study in Panxian County, Guizhou Province. Res. Soil Water Conserv. 2017, 24, 213–222. [Google Scholar]
- Nelson, G.C.; Pinto, A.D. Modelling Deforestation and Land-Use Change: Sparse Data Environments. J. Agric. Econ. 2007, 58, 502–516. [Google Scholar]
- Peng, J.; Liu, Y.; Wu, J.; Lv, H.; Hu, X. Linking ecosystem services and landscape patterns to assess urban ecosystem health: A case study in Shenzhen City, China. Landsc. Urban Plan. 2015, 143, 56–68. [Google Scholar] [CrossRef]
- Xie, G.D.; Zhang, C.X.; Zhang, L.M.; Chen, W.H.; Li, S.M. Improvement of the Evaluation Method for Ecosystem Service Value Based on Per Unit Area. J. Nat. Res. 2015, 30, 1243–1254. [Google Scholar]
- Kang, Y.; Cheng, C.; Liu, X.; Zhang, F.; Li, Z.; Lu, S. An ecosystem services value assessment of land-use change in Chengdu: Based on a modification of scarcity factor. Phys. Chem. Earth Parts A/B/C 2019. [Google Scholar] [CrossRef]
- RESDC (The Chinese Academy of Sciences Resource Environmental Data Center). Available online: http://www.resdc.cn (accessed on 27 June 2019).
- Liu, J.Y.; Kuang, W.H.; Zhang, Z.X.; Xu, X.L.; Qin, Y.W.; Ning Jia Zhang, S.W.; Li, R.D.; Yan, C.Z.; Wu, S.X.; Shi, X.Z.; et al. Spatiotemporal characteristics, patterns, and causes of land-use changes in China since the late 1980s. J. Geogr. Sci. 2014, 24, 195–210. [Google Scholar] [CrossRef]
- Ning, J.; Liu, J.; Kuang, W.; Xu, X.; Zhang, S.; Yan, C.; Li, R.; Wu, S.; Hu, Y.; Du, G.; et al. Spatio-temporal patterns and characteristics of land-use change in China during 2010–2015. Acta. Geogr. Sin. 2018, 5, 547–562. [Google Scholar]
- National Bureau of Statistics. Chinese Statistical Yearbook 2016; China Statistics Press: Beijing, China, 2016.
- National Bureau of Statistics, Ministry of Environmental Protection. China Statistical Yearbook on Environment 2016; China Statistics Press: Beijing, China, 2016.
- Statistical Bureau of Hubei. Hubei Statistical Yearbook 2016; China Statistics Press: Beijing, China, 2016.
- Zhang, J.; Ren, Z. Spatiotemporal pattern and terrain gradient effect of land use change in Qinling-Bashan mountains. Trans. CSAE 2016, 32, 250–257. [Google Scholar]
- Liao, K. The Discussion and Prospect for Geo-Informatic Tupu. Geo-Inf. Sci. 2002, 4, 14–20. [Google Scholar]
- Xiao, L.; Shi, Y.Y.; Huang, X.J.; Sun, X.F.; Miao, Z.W. Geo-spectrum characteristics of land use change in Jiangsu Province, China. Chin. J. Appl. Ecol. 2016, 27, 1077–1084. [Google Scholar]
- Fei, L.; Shuwen, Z.; Jiuchun, Y.; Liping, C.; Haijuan, Y.; Kun, B. Effects of land use change on ecosystem services value in West Jilin since the reform and opening of China. Ecosyst. Serv. 2018, 31, 12–20. [Google Scholar] [CrossRef]
- Batabyal, A.A.; Kahn, J.R.; O’Neill, R.V. On the scarcity value of ecosystem services. J. Environ. Econ. Manag. 2003, 46, 334–352. [Google Scholar] [CrossRef]
- Geijzendorffer, I.R.; Roche, P.K. The relevant scales of ecosystem services demand. Ecosyst. Serv. 2014, 10, 49–51. [Google Scholar] [CrossRef]
- Bryan, B.A.; Crossman, N.D.; Nolan, M.; Li, J.; Navarro, J.; Connor, J.D. Land use efficiency: Anticipating future demand for land-sector greenhouse gas emissions abatement and managing trade-offs with agriculture, water, and biodiversity. Glob.Chang. Biol. 2015, 21, 4098–4114. [Google Scholar] [CrossRef] [PubMed]
- Bryan, B.A.; Ye, Y.; Zhang, J.E.; Connor, J.D. Land-use change impacts on ecosystem services value: Incorporating the scarcity effects of supply and demand dynamics. Ecosyst. Serv. 2018, 32, 144–157. [Google Scholar] [CrossRef]
- Yang, J.; Guan, Y.; Xia, J.; Jin, C.; Li, X. Spatiotemporal variation characteristics of green space ecosystem service value at urban fringes: A case study on Ganjingzi District in Dalian, China. Sci. Total Environ. 2018, 639, 1453–1461. [Google Scholar] [CrossRef] [PubMed]
- Reed, G.F.; Lynn, F.; Meade, B.D. Use of coefficient of variation in assessing variability of quantitative assays. Clin. Diagn. Lab. Immun. 2002, 9, 1235–1239. [Google Scholar] [CrossRef]
- Rey-Valette, H.; Mathé, S.; Salles, J.M. An assessment method of ecosystem services based on stakeholders perceptions: The Rapid Ecosystem Services Participatory Appraisal (RESPA). Ecosyst. Serv. 2017, 28, 311–319. [Google Scholar] [CrossRef]
- Bartlett, D.; Gomez-Martin, E.; Milliken, S.; Parmer, D. Introducing landscape character assessment and the ecosystem service approach to India: A case study. Landsc. Urban Plan. 2017, 167, 257–266. [Google Scholar] [CrossRef]
- Juntti, M.; Lundy, L. A mixed methods approach to urban ecosystem services: Experienced environmental quality and its role in ecosystem assessment within an inner-city estate. Landsc. Urban Plan. 2017, 161, 10–21. [Google Scholar] [CrossRef]
- He, S.; Gallagher, L.; Su, Y.; Wang, L.; Cheng, H. Identification and assessment of ecosystem services for protected area planning: A case in rural communities of Wuyishan national park pilot. Ecosyst. Serv. 2018, 31, 169–180. [Google Scholar] [CrossRef]
- Xu, Z.; Wei, H.; Fan, W.; Wang, X.; Huang, B.; Lu, N.; Ren, J.; Dong, X. Energy modeling simulation of changes in ecosystem services before and after the implementation of a Grain-for-Green program on the Loess Plateau—A case study of the Zhifanggou valley in Ansai County, Shaanxi Province, China. Ecosyst. Serv. 2018, 31, 32–43. [Google Scholar] [CrossRef]
- Wei, H.; Fan, W.; Wang, X.; Lu, N.; Dong, X.; Zhao, Y.; Ya, X.; Zhao, Y. Integrating supply and social demand in ecosystem services assessment: A review. Ecosyst. Serv. 2017, 25, 15–27. [Google Scholar] [CrossRef]
- Wolff, S.; Schulp, C.J.E.; Verburg, P.H. Mapping ecosystem services demand: A review of current research and future perspectives. Ecol. Indic. 2015, 55, 159–171. [Google Scholar] [CrossRef]
- Tao, Y.; Wang, H.; Ou, W.; Guo, J. A land-cover-based approach to assessing ecosystem services supply and demand dynamics in the rapidly urbanizing Yangtze River Delta region. Land Use Policy 2018, 72, 250–258. [Google Scholar] [CrossRef]
- Sutton, P.C.; Anderson, S.J. Holistic valuation of urban ecosystem services in New York City’s Central Park. Ecosyst. Serv. 2016, 19, 87–91. [Google Scholar] [CrossRef]
- Zank, B.; Bagstad, K.J.; Voigt, B.; Villa, F. Modeling the effects of urban expansion on natural capital stocks and ecosystem service flows: A case study in the Puget Sound, Washington, USA. Landsc. Urban Plan. 2016, 149, 31–42. [Google Scholar] [CrossRef]
- Hartter, J. Resource Use and Ecosystem Services in a Forest Park Landscape. Soc. Natur. Resour. 2010, 23, 207–223. [Google Scholar] [CrossRef]
- Berta, M.L.; Irene, I.A.; Marina, G.L.; Ignacio, P.; Izaskun, C.A.; Amo, D.G.D.; Erik, G.B.; Elisa, O.R.; Igone, P.A.; Bárbara, W. Uncovering ecosystem service bundles through social preferences. PLoS ONE 2012, 7, e38970. [Google Scholar]





| Scenarios | Elasticities | Price | ||||
|---|---|---|---|---|---|---|
| Private-Good | Private-Good | Public-Good | Public-Good | Private-Good | Public-Good | |
| Supply | Demand | Supply | Demand | |||
| Lowest | H:5.0 | L:0.8 | L:0.7 | H:2.1 | ||
| Medium | M:3.5 | M:0.5 | M:0.4 | M:1.6 | ||
| Highest | L:2.0 | H:0.2 | H:0.1 | L:1.1 | ||
| Ecosystem Service Type | 1990 | 1995 | 2000 | 2005 | 2010 | 2015 | |
|---|---|---|---|---|---|---|---|
| First Level | Second Level | ||||||
| Provisioning service | Food production | 15.12 | 15.11 | 15.10 | 15.09 | 15.06 | 14.91 |
| Raw material | 15.11 | 15.11 | 15.12 | 15.10 | 15.10 | 15.02 | |
| Water supply | 2.74 | 2.96 | 2.44 | 3.01 | 3.15 | 3.42 | |
| Regulating service | Gas regulation | 49.34 | 49.31 | 49.35 | 49.28 | 49.27 | 48.99 |
| Climate regulation | 129.04 | 129.03 | 128.98 | 128.96 | 128.98 | 128.53 | |
| Purify environment | 41.71 | 41.81 | 41.56 | 41.82 | 41.90 | 41.89 | |
| Hydrological regulation | 162.40 | 164.52 | 158.38 | 164.87 | 166.10 | 167.80 | |
| Supporting service | Soil retention | 56.81 | 56.80 | 56.82 | 56.77 | 56.78 | 56.55 |
| Nutrient cycling | 5.14 | 5.14 | 5.15 | 5.14 | 5.13 | 5.10 | |
| Biodiversity services | 50.01 | 50.01 | 50.14 | 50.04 | 50.13 | 50.10 | |
| Cultural service | Recreation and culture | 22.59 | 22.61 | 22.66 | 22.63 | 22.69 | 22.71 |
| Land Use Types | 1990 | 1995 | 2000 | 2005 | 2010 | 2015 |
|---|---|---|---|---|---|---|
| Farmland | 0.0606 | 0.0602 | 0.0611 | 0.0600 | 0.0596 | 0.0585 |
| Forestland | 0.7427 | 0.7394 | 0.7481 | 0.7385 | 0.7362 | 0.7327 |
| Grassland | 0.0539 | 0.0536 | 0.0543 | 0.0535 | 0.0534 | 0.0527 |
| Water body | 0.1429 | 0.1470 | 0.1366 | 0.1483 | 0.1512 | 0.1566 |
| Unused land | 0.0002 | 0.0002 | 0.0001 | 0.0001 | 0.0001 | 0.0001 |
| Construction land | 0.0003 | 0.0003 | 0.0004 | 0.0004 | 0.0004 | 0.0006 |
| Variation coefficient | 1.7223 | 1.7141 | 1.7357 | 1.7122 | 1.7066 | 1.6990 |
| Ecosystem Service Types | Shi Hua | Zi Jin | Wen Fen | Majia Du |
|---|---|---|---|---|
| Food production | ↓ | - | - | ↑ |
| Raw material | - | ↑ | ↑ | - |
| Water supply | ↑ | ↑ | ↑ | - |
| Gas regulation | ↑ | ↑ | ↑ | ↓ |
| Climate regulation | ↑ | ↑ | ↑ | ↓ |
| Purify environment | ↓ | - | ↓ | ↓ |
| Hydrological regulation | - | ↓ | ↓ | - |
| Soil retention | ↑ | - | ↑ | ↑ |
| Nutrient cycling | - | - | - | ↑ |
| Biodiversity services | - | ↑ | - | - |
| Recreation and culture | - | ↑ | - | ↑ |
© 2019 by the authors. Licensee MDPI, Basel, Switzerland. This article is an open access article distributed under the terms and conditions of the Creative Commons Attribution (CC BY) license (http://creativecommons.org/licenses/by/4.0/).
Share and Cite
Yu, Q.; Feng, C.-C.; Xu, N.; Guo, L.; Wang, D. Quantifying the Impact of Grain for Green Program on Ecosystem Service Management: A Case Study of Exibei Region, China. Int. J. Environ. Res. Public Health 2019, 16, 2311. https://doi.org/10.3390/ijerph16132311
Yu Q, Feng C-C, Xu N, Guo L, Wang D. Quantifying the Impact of Grain for Green Program on Ecosystem Service Management: A Case Study of Exibei Region, China. International Journal of Environmental Research and Public Health. 2019; 16(13):2311. https://doi.org/10.3390/ijerph16132311
Chicago/Turabian StyleYu, Qianru, Chen-Chieh Feng, NuanYin Xu, Luo Guo, and Dan Wang. 2019. "Quantifying the Impact of Grain for Green Program on Ecosystem Service Management: A Case Study of Exibei Region, China" International Journal of Environmental Research and Public Health 16, no. 13: 2311. https://doi.org/10.3390/ijerph16132311
APA StyleYu, Q., Feng, C.-C., Xu, N., Guo, L., & Wang, D. (2019). Quantifying the Impact of Grain for Green Program on Ecosystem Service Management: A Case Study of Exibei Region, China. International Journal of Environmental Research and Public Health, 16(13), 2311. https://doi.org/10.3390/ijerph16132311

