Socioeconomic Factors and Caries in People between 19 and 60 Years of Age: An Update of a Systematic Review and Meta-Analysis of Observational Studies
Abstract
1. Introduction
2. Materials and Methods
2.1. Search Strategy
2.2. Selection of Studies and Data Extraction
2.3. Data Extraction
2.4. Quality Assessment
2.5. Data Synthesis and Analysis
3. Results
3.1. Search Outcomes
3.2. Study Characteristics
3.3. Eligible Factors for Meta-Analysis and Meta-Regression
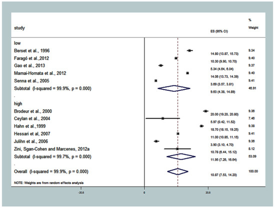
3.4. Measured Outcomes Meta-Analysis and Meta-Regression
4. Discussion
- Performing investigations with the age bracket suggested by WHO for adults;
- Using standardized measures to evaluate the effect of socioeconomic indicators on caries;
- Conducting cohort and case-control studies;
- Building an SES evaluation standard that fits different country situations, since it can be evaluated by income and education, however on the other hand, it can also be evaluated by other physical, financial, and organizational productive resources [5];
- Incorporating multivariate analyzes to verify confounding elements; and
- Carrying out studies with population representativeness and a description of the disease for the entire study population.
5. Conclusions
Supplementary Materials
Author Contributions
Funding
Conflicts of Interest
References
- Petersen, P.E. Sociobehavioural risk factors in dental caries—International perspectives. Community Dent. Oral Epidemiol. 2005, 33, 274–279. [Google Scholar] [CrossRef] [PubMed]
- Glick, M.; Silva, O.M.; Seeberger, F.K.; Xu, T.; Pucca, G.; Williams, D.M.; Kess, S.; Eiselé, J.; Séverin, T. FDI Vision 2020: Shaping the future of oral health. Int. Dent. J. 2012, 62, 278–291. [Google Scholar] [CrossRef] [PubMed]
- Kassebaum, N.J.; Smith, A.G.C.; Bernabe, E.; Fleming, T.D.; Reynolds, A.E.; Vos, T.; Murray, C.J.L.; Marcenes, W.; GBD 2015 Oral Health Collaborators. Global, regional, and national prevalence, incidence, and disability-adjusted life years for oral conditions for 195 countries, 1990–2015: A systematic analysis for the global burden of diseases, injuries, and risk factors. J. Dent. Res. 2017, 96, 380–387. [Google Scholar] [CrossRef] [PubMed]
- Holst, D.; Schuller, A.A.; Aleksejuniené, J.; Eriksen, H.M. Caries in population—A theoretical, causal approach. Eur. J. Oral Sci. 2001, 109, 143–148. [Google Scholar] [CrossRef] [PubMed]
- World Health Organization-WHO. A Conceptual Framework for Action on the Social Determinants of Health; Social Determinants of Health Discussion Paper 2 (Policy and Practice); WHO: Geneva, Switzerland, 2010; (accessed 9 September 2012); Available online: http://www.who.int/sdhconference/resources/ConceptualframeworkforactiononSDH_eng.pdf (accessed on 18 March 2018).
- Glick, M.; Williams, D.M.; Kleinman, D.V.; Vujicic, M.; Watt, R.G.; Weyant, R.J. A new definition for oral health developed by the FDI World Dental Federation opens the door to a universal definition of oral health. JADA 2016, 147, 915–917. [Google Scholar] [CrossRef] [PubMed]
- U.S. Departament of Health and Human Services. Healthy People 2020. 2010. Available online: https://www.healthypeople.gov/2020/topics-objectives/topic/oral-health (accessed on 23 March 2018).
- Costa, S.M.; Martins, C.C.; Bonfim, M.L.C.; Zina, L.G.; Paiva, S.M.; Pordeus, I.A.; Abreu, M.H.N.G. A systematic review socioeconomic indicators and dental caries in adults. Int. J. Environ. Res. Public Health 2012, 9, 3540–3574. [Google Scholar] [CrossRef] [PubMed]
- Schwendicke, F.; Dorfer, C.E.; Schlattmann, P.S.; Foster Page, L.; Thomson, W.M.; Paris, S. Socioeconomic inequality and caries: A systematic review and meta-analysis. J. Dent. Res. 2015, 94, 10–18. [Google Scholar] [CrossRef] [PubMed]
- World Health Organization-WHO. Oral Health Surveys—Basic Methods, 5th ed.; WHO: Geneva, Switzerland, 2013; Available online: http://apps.who.int/iris/bitstream/10665/97035/1/9789241548649_eng.pdf?ua=1 (accessed on 23 March 2018).
- Seerig, L.M.; Nascimento, G.G.; Peres, M.A.; Horta, B.L.; Demarco, F.F. Tooth loss in adults and income: Systematic review and meta-analysis. J. Dent. 2015, 43, 1051–1059. [Google Scholar] [CrossRef] [PubMed]
- Claxton, K.; Cohen, J.T.; Neumann, P.J. When is evidence sufficient? Health Aff. (Millwood) 2005, 24, 93–101. [Google Scholar] [CrossRef] [PubMed]
- Garner, P.; Hopewell, S.; Chandler, J.; MacLehose, H.; Akl, E.A.; Beyene, J. When and how to update systematic reviews: Consensus and checklist. BMJ 2016, 354, i3507. [Google Scholar] [CrossRef] [PubMed]
- Shamseer, L.; Moher, D.; Clarke, M.; Ghersi, D.; Liberati, A.; Petticrew, M.; Shekelle, P.; Sewart, L.; PRISMA-P Group. Preferred reporting items for systematic reviews and meta-analysis protocols (PRISMA-P) 2015: Elaboration and explanation. BMJ 2015, 350, g7647. [Google Scholar] [CrossRef] [PubMed]
- Engstrom, S.; Holmlund, A. Self-estimated oral and general health are related and associated with clinically investigated dental health. Swed. Dent. J. 2011, 35, 169–175. [Google Scholar] [PubMed]
- Wells, G.A.; Shea, B.; O’Connell, D.; Peterson, J.; Welch, V.; Losos, M.; Tugwell, P. The Newcastle-Ottawa Scale (NOS) for Assessing the Quality of Nonrandomized Studies in Meta-Analyses. 2012. Available online: http://www.ohri.ca/programs/clinical_epidemiology/oxford.asp (accessed on 20 March 2018).
- Higgins, J.P.; Thompson, S.G. Quantifying heterogeneity in a meta-analysis. Stat. Med. 2002, 21, 1539–1558. [Google Scholar] [CrossRef] [PubMed]
- Egger, M.; Davey Smith, G.; Schneider, M.; Minder, C. Bias in metaanalysis detected by a simple, graphical test. BMJ 1997, 315, 629–634. [Google Scholar] [CrossRef] [PubMed]
- Egger, M.; Davey, S.G.; Altman, D.G. Systematic Reviews in Health Care: Meta-Analysis in Context, 2nd ed.; BMJ Books: London, UK, 2001; 487p, ISBN 978-0-727-91488-0. [Google Scholar]
- Harbor, R.M.; Higgins, J.P.T. Meta-regression in Stata. Stata J. 2008, 8, 493–519. Available online: https://www.researchgate.net/publication/23780244_Meta-regression_in_Stata (accessed on 21 July 2018).
- Brennan, D.S.; Spencer, A.J.; Roberts-Thomson, K.F. Caries experience among 45–54 year olds in Adelaide, South Australia. Aust. Dent. J. 2007, 52, 122–127. [Google Scholar] [CrossRef] [PubMed]
- Brennan, D.; Spencer, J.; Roberts-Thomson, K. Dental knowledge and oral health among middle-aged adults. Aust. N. Z. J. Public Health 2010, 34, 472–475. [Google Scholar] [CrossRef] [PubMed]
- Brennan, D.S.; Spencer, A.J.; Roberts-Thomson, K.F. Dental self-care and visiting behaviour in relation to social inequality in caries experience. Community Dent. Health 2011, 28, 216–221. [Google Scholar] [CrossRef] [PubMed]
- Celeste, R.K.; Nadanovsky, P.; Leon, P.L.; Fritzell, J. The individual and contextual pathways between oral health and income inequality in Brazilian adolescents and adults. Soc. Sci. Med. 2009, 69, 1468–1475. [Google Scholar] [CrossRef] [PubMed]
- Celeste, R.K.; Fritzell, J.; Nadanovsky, P. The relationship between levels of income inequality and dental caries and periodontal diseases. Cad. Saude Publica 2011, 27, 1111–1120. [Google Scholar] [CrossRef] [PubMed]
- Costa, S.M.; Vasconcelos, M.; Haddad, J.P.; Abreu, M.H.N. The severity of dental caries in adults aged 35 to 44 years residing in the metropolitan area of a large city in Brazil: A cross-sectional study. BMC Oral Health 2012, 12, 1–11. [Google Scholar] [CrossRef] [PubMed]
- Costa, S.M.; Vasconcelos, M.; Abreu, M.H.N. High dental caries among adults aged 35 to 44 years: Case-control study of distal and proximal factors. Int. J. Environ. Res. Public Health 2013, 10, 2401–2411. [Google Scholar] [CrossRef] [PubMed]
- Zini, A.; Sgan-Cohen, H.D.; Marcenes, W. The social and behavioural pathway of dental caries experience among Jewish adults in Jerusalem. Caries Res. 2012, 46, 47–54. [Google Scholar] [CrossRef] [PubMed]
- Zini, A.; Sgan-Cohen, H.D.; Marcenes, W. Religiosity, spirituality, social support, health behaviour and dental caries among 35- to 44-year-old Jerusalem adults: A proposed conceptual model. Caries Res. 2012, 46, 368–375. [Google Scholar] [CrossRef] [PubMed]
- Holst, D.; Schuller, A.A. Equality in adults’ oral health in Norway. Cohort and cross-sectional results over 33 years. Community Dent. Oral Epidemiol. 2011, 39, 488–497. [Google Scholar] [CrossRef] [PubMed]
- Holst, D.; Schuller, A.A. Oral health in a life-course: Birth-cohorts from 1929 to 2006 in Norway. Community Dent. Health 2012, 29, 134–143. [Google Scholar] [CrossRef] [PubMed]
- Aleksejuniene, J.; Eriksen, H.M.; Holst, D. Variation in caries and treatment experience in 35–44-year-old Lithuanians. Community Dent. Oral Epidemiol. 2000, 28, 356–364. [Google Scholar] [CrossRef] [PubMed]
- Badel, T.; Restek-Despotusic, S.; Kern, J.; Keros, J.; Segovic, S. Caries in croatian army recruits in 2000. Acta Med. Croat. 2006, 60, 315–318. [Google Scholar]
- Bernabe, E.; Sheiham, A.; Sabbah, W. Income, income inequality, dental caries and dental care levels: An ecological study in rich countries. Caries Res. 2009, 43, 294–301. [Google Scholar] [CrossRef] [PubMed]
- Berset, G.P.; Eriksen, H.M.; Bjertness, E.; Hansen, B.F. Caries experience of 35-year-old Oslo residents and changes over a 20-year period. Community Dent. Health 1996, 13, 238–244. [Google Scholar] [PubMed]
- Bille, J. Dental caries in a group of 20-year-olds after previous participation in public child dental health services in Copenhagen, Denmark. Community Dent. Oral Epidemiol. 1980, 8, 27–32. [Google Scholar] [CrossRef] [PubMed]
- Bjertness, E.; Eriksen, H.M.; Hansen, B.F. Factors of importance for changes in dental caries among adults. A follow-up study of Oslo citizens from the age of 35 to 50 years. Acta Odontol. Scand. 1992, 50, 193–200. [Google Scholar] [CrossRef] [PubMed]
- Brennan, D.S.; Spencer, A.J. Childhood oral health and SES predictors of caries in 30-year-olds. Caries Res. 2014, 48, 237–243. [Google Scholar] [CrossRef] [PubMed]
- Brennan, D.S.; Spencer, A.J. Income-based life-course models of caries in 30-year-old Australian adults. Community Dent. Oral Epidemiol. 2015, 43, 262–271. [Google Scholar] [CrossRef] [PubMed]
- Broadbent, J.M.; Zeng, J.; Page, L.A.F.; Baker, S.R.; Ramrakha, S.; Thomson, W.M. Oral Health-related Beliefs, Behaviors, and Outcomes through the Life Course. J. Dent. Res. 2016, 95, 808–813. [Google Scholar] [CrossRef] [PubMed]
- Brodeur, J.M.; Payette, M.; Benigeri, M.; Gagnon, P.F.; Olivier, M.; Chabot, D. Dental caries in Quebec adults aged 35 to 44 years. J. Can. Dent. Assoc. 2000, 66, 374–379. [Google Scholar] [PubMed]
- Ceylan, S.; Acikel, C.H.; Okcu, K.M.; Kilic, S.; Tekbas, O.F.; Ortakoglu, K. Evaluation of the dental health of the young adult male population in Turkey. Mil. Med. 2004, 169, 885–889. [Google Scholar] [CrossRef] [PubMed]
- Chandra Shekar, B.R.; Reddy, C. Oral health status in relation to socioeconomic factors among the municipal employees of Mysore city. Indian J. Dent. Res. 2011, 22, 410–418. [Google Scholar] [CrossRef] [PubMed]
- Divaris, K.; Fisher, E.L.; Shugars, D.A.; White, R.P., Jr. Risk factors for third molar occlusal caries: A longitudinal clinical investigation. J. Oral Maxillofac. Surg. 2012, 70, 1771–1780. [Google Scholar] [CrossRef] [PubMed]
- Do, L. Oral health status and perception of oral health of young Australian adults. Aust. Dent. J. 2012, 57, 515–517. [Google Scholar] [CrossRef] [PubMed]
- Doughan, B.; Kassak, K.; Bourgeois, D.M. Oral health status and treatment needs of 35–44-year old adults in Lebanon. Int. Dent. J. 2000, 50, 395–399. [Google Scholar] [CrossRef] [PubMed]
- Edman, K.; Ohrn, K.; Nordstrom, B.; Holmlund, A. Prevalence of dental caries and influencing factors, time trends over a 30-year period in an adult population. Epidemiological studies between 1983 and 2013 in the county of Dalarna, Sweden. Acta Odontol. Scand. 2016, 74, 385–392. [Google Scholar] [CrossRef] [PubMed]
- Eriksen, H.M.; Marques, M.D.; Bjertness, E.; Moe, B. Dental caries determinants in an adult Portuguese population and a comparison with Norwegian adults. Acta Odontol. Scand. 1996, 54, 49–54. [Google Scholar] [CrossRef] [PubMed]
- Faragó, I.; Nagy, G.; Márton, S.; Túry, F.; Szabó, E.; Hopcraft, M.; Madléna, M. Dental caries experience in a Hungarian police student population. Caries Res. 2012, 46, 95–101. [Google Scholar] [CrossRef] [PubMed]
- Gao, X.; Chan, C.W.; Mak, S.L.; Ng, Z.; Kwong, W.H.; Kot, C.C. Oral health of foreign domestic workers: Exploring the social determinants. J. Immigr. Minor. Health 2014, 16, 926–933. [Google Scholar] [CrossRef] [PubMed]
- Geyer, S.; Schneller, T.; Micheelis, W. Social gradients and cumulative effects of income and education on dental health in the fourth German oral health study. Community Dent. Oral Epidemiol. 2010, 38, 120–128. [Google Scholar] [CrossRef] [PubMed]
- Gilbert, G.H.; Duncan, R.P.; Dolan, T.A.; Foerster, U. Twenty-four month incidence of root caries among a diverse group of adults. Caries Res. 2001, 35, 366–375. [Google Scholar] [CrossRef] [PubMed]
- Guiotoku, S.K.; Moyses, S.T.; Moyses, S.J.; Franca, B.H.; Bisinelli, J.C. Racial inequity in oral health in Brazil. Rev. Panam. Salud Publica 2012, 31, 135–141. [Google Scholar] [CrossRef] [PubMed]
- Hahn, P.; Reinhardt, D.; Schaller, H.G.; Hellwig, E. Root lesions in a group of 50–60 year-old Germans related to clinical and social factors. Clin. Oral Investig. 1999, 3, 168–174. [Google Scholar] [CrossRef] [PubMed]
- Hansen, B.F. Caries experience in a Norwegian urban population. Community Dent. Oral Epidemiol. 1977, 5, 132–135. [Google Scholar] [CrossRef] [PubMed]
- Hescot, P.; Bourgeois, D.; Doury, J. Oral health in 35–44 year old adults in France. Int. Dent. J. 1997, 47, 94–99. [Google Scholar] [CrossRef] [PubMed]
- Hessari, H.; Vehkalahti, M.M.; Eghbal, M.J.; Murtomaa, H.T. Oral health among 35- to 44-year-old Iranians. Med. Princ. Pract. 2007, 16, 280–285. [Google Scholar] [CrossRef] [PubMed]
- Julihn, A.; Barr, A.M.; Grindefjord, M.; Modeer, T. Risk factors and risk indicators associated with high caries experience in Swedish 19-year-olds. Acta Odontol. Scand. 2006, 64, 267–273. [Google Scholar] [CrossRef] [PubMed]
- Lee, H.Y.; Choi, Y.H.; Park, H.W.; Lee, S.G. Changing patterns in the association between regional socio-economic context and dental caries experience according to gender and age: A multilevel study in Korean adults. Int. J. Health Geogr. 2012, 11, 1–10. [Google Scholar] [CrossRef] [PubMed]
- Lin, H.C.; Wong, M.C.; Zhang, H.G.; Lo, E.C.; Schwarz, E. Coronal and root caries in Southern Chinese adults. J. Dent. Res. 2001, 80, 1475–1479. [Google Scholar] [CrossRef] [PubMed]
- Mamai-Homata, E.; Topitsoglou, V.; Oulis, C.; Margaritis, V.; Polychronopoulou, A. Risk indicators of coronal and root caries in Greek middle aged adults and senior citizens. BMC Public Health 2012, 12, 1–9. [Google Scholar] [CrossRef] [PubMed]
- Marcenes, W.S.; Sheiham, A. The relationship between work stress and oral health status. Soc. Sci. Med. 1992, 35, 1511–1520. [Google Scholar] [CrossRef]
- Meyer, K.; Freitas, E.; Davis, R.K.; Freitas, J.; Kristoffersen, T. Dental health among young adult Portuguese in relation to socio-economic differences. Rev. Port. Estomatol. Cir. Maxilofac. 1983, 24, 461–478. [Google Scholar] [PubMed]
- Nikias, M.K.; Fink, R.; Shapiro, S. Comparisons of poverty and nonpoverty groups on dental status, needs, and practices. J. Public Health Dent. 1975, 35, 237–259. [Google Scholar] [CrossRef] [PubMed]
- Paulander, J.; Axelsson, P.; Lindhe, J. Association between level of education and oral health status in 35-, 50-, 65- and 75-year-olds. J. Clin. Periodontol. 2003, 30, 697–704. [Google Scholar] [CrossRef] [PubMed]
- Peres, K.G.; Peres, M.A.; Demarco, F.F.; Tarquinio, S.B.; Horta, B.L.; Gigante, D.P. Oral health studies in the 1982 Pelotas (Brazil) birth cohort: Methodology and principal results at 15 and 24 years of age. Cad. Saude Publica 2011, 27, 1569–1580. [Google Scholar] [CrossRef] [PubMed]
- Quinteros, M.E.; Caceres, D.D.; Soto, A.; Marino, R.J.; Giacaman, R.A. Caries experience and use of dental services in rural and urban adults and older adults from central Chile. Int. Dent. J. 2014, 64, 260–268. [Google Scholar] [CrossRef] [PubMed]
- Roberts-Thomson, K.; Stewart, J.F. Risk indicators of caries experience among young adults. Aust. Dent. J. 2008, 53, 122–127. [Google Scholar] [CrossRef] [PubMed]
- Schuller, A.A. Better oral health, more inequality—Empirical analysis among young adults. Community Dent. Health 1999, 16, 154–159. [Google Scholar] [PubMed]
- Senna, A.; Campus, G.; Gagliani, M.; Strohmenger, L. Socio-economic influence on caries experience and CPITN values among a group of Italian call-up soldiers and cadets. Oral Health Prev. Dent. 2005, 3, 39–46. [Google Scholar] [PubMed]
- Sgan-Cohen, H.D.; Horev, T.; Zusman, S.P.; Katz, J.; Eldad, A. The prevalence and treatment of dental caries among Israeli permanent force military personnel. Mil. Med. 1999, 164, 562–565. [Google Scholar] [CrossRef] [PubMed]
- Sgan-Cohen, H.D.; Katz, J.; Horev, T.; Dinte, A.; Eldad, A. Trends in caries and associated variables among young Israeli adults over 5 decades. Community Dent. Oral Epidemiol. 2000, 28, 234–240. [Google Scholar] [CrossRef] [PubMed]
- Shearer, D.M.; Thomson, W.M.; Caspi, A.; Moffitt, T.E.; Broadbent, J.M.; Poulton, R. Family history and oral health: Findings from the Dunedin Study. Community Dent.Oral Epidemiol. 2012, 40, 105–115. [Google Scholar] [CrossRef] [PubMed]
- Skudutyte, R.; Aleksejuniene, J.; Eriksen, H.M. Dental caries in adult Lithuanians. Acta Odontol. Scand. 2000, 58, 143–147. [Google Scholar] [CrossRef] [PubMed]
- Skudutyte-Rysstad, R.; Sandvik, L.; Aleksejuniene, J.; Eriksen, H.M. Dental health and disease determinants among 35-year-olds in Oslo, Norway. Acta Odontol. Scand. 2009, 67, 50–56. [Google Scholar] [CrossRef] [PubMed]
- Tervonen, T.; Knuuttila, M.; Nieminen, P. Risk factors associated with abundant dental caries and periodontal pocketing. Community Dent. Oral Epidemiol. 1991, 19, 82–87. [Google Scholar] [CrossRef] [PubMed]
- Thomson, W.M.; Poulton, R.; Milne, B.J.; Caspi, A.; Broughton, J.R.; Ayers, K.M. Socio-economic inequalities in oral health in childhood and adulthood in a birth cohort. Community Dent. Oral Epidemiol. 2004, 32, 345–353. [Google Scholar] [CrossRef] [PubMed]
- Unell, L.; Soderfeldt, B.; Halling, A.; Birkhed, D. Explanatory models for clinically determined and symptom-reported caries indicators in an adult population. Acta Odontol. Scand. 1999, 57, 132–138. [Google Scholar] [CrossRef] [PubMed]
- Vano, M.; Gennai, S.; Karapetsa, D.; Miceli, M.; Giuca, M.R.; Gabriele, M.; Graziani, F. The influence of educational level and oral hygiene behaviours on DMFT index and CPITN index in an adult Italian population: An epidemiological study. Int. J. Dent. Hyg. 2015, 13, 151–157. [Google Scholar] [CrossRef] [PubMed]
- Varenne, B.; Petersen, P.E.; Ouattara, S. Oral health behaviour of children and adults in urban and rural areas of Burkina Faso, Africa. Int. Dent. J. 2006, 56, 61–70. [Google Scholar] [CrossRef] [PubMed]
- Zini, A.; Sgan-Cohen, H.D.; Vered, Y. Media exposure and oral health outcomes among adults. Quintessence Int. 2013, 44, e147–e156. [Google Scholar] [PubMed]
- Higgins, J.P.T.; Altman, D.G. Chapter 8: Assessing Risk of Bias in Included Studies. In Cochrane Handbook for Systematic Reviews of Interventions; John Wiley & Sons Ltd.: London, UK, 2008; Available online: http://handbook-5-1.cochrane.org/chapter_8/8_assessing_risk_of_bias_in_included_studies.htm (accessed on 11 October 2017).
- Petersen, P.E.; Bourgeois, D.; Ogawa, H.; Day-Estupinan, S.; Ndiaye, C. The global burden of diseases and risk to oral health. Bull. World Health Organ. 2005, 83, 66–69. [Google Scholar]
- Brusselaers, N. How to teach the fundamentals of meta-analyses. Ann. Epidemiol. 2015, 25, 948–954. [Google Scholar] [CrossRef] [PubMed]
- Reisine, S.T.; Psoter, W. Socieconomic status and selected behavioral determinants as risk factors for dental caries. J. Dent. Educ. 2001, 65, 1009–1016. [Google Scholar] [PubMed]
- Celeste, R.K.; Fritzel, J. Do socioeconomic inequalities in pain, psychological distress and oral health increase or decrease over the life course? Evidence from Sweden over 43 years of follow-up. J. Epidemiol. Community Health 2018, 72, 160–167. [Google Scholar] [CrossRef] [PubMed]
- Lee, J.Y.; Divaris, K. The Ethical Imperative of Addressing Oral Health Disparities: A Unifying Framework. J. Dent. Res. 2014, 93, 224–230. [Google Scholar] [CrossRef] [PubMed]
- O’Neil, M.; Berkman, N.; Hartling, L.; Chang, S.; Anderson, J.; Motu’apuaka; Guise, J.-M.; McDonagh, M.S. Observational evidence and strength of evidence domains: Case examples. Syst. Rev. 2014, 3, 1–8. [Google Scholar] [CrossRef]
- Listl, S.; Jürges, H.; Watt, R.G. Causal inference from observational data. Community Dent. Oral Epidemiol. 2016, 44, 409–415. [Google Scholar] [CrossRef] [PubMed]







| Models | R2 | Tau2 | Coefficient | Standard Error | p-Value † |
|---|---|---|---|---|---|
| Unadjusted models | |||||
| Human Development Index—HDI (quantitative) | 2.85% | 36.39 | 20.17878 | 15.26451 | 0.180 |
| University (<33.78% of the population with a university) | −6.22% | 30.11 | −0.3066788 | 2.615528 | 0.919 |
| Education (>33.60% of the population with low education) | −5.55% | 34.34 | −2.301079 | 3.596737 | 0.546 |
| Socioeconomic Status—SES (>22.4% of the population with low SES) | 76.25% | 9.302 | 10.49365 | 2.340803 | 0.031 |
| Age (older population—mean age of the population >33.4 years) | 6.41% | 33.25 | 4.324884 | 3.121433 | 0.197 |
| Adjusted models | |||||
| Model 1 * | |||||
| HDI (quantitative) | 100.0% | 0.0 | −42.94101 | 142.3087 | 0.956 |
| University degree (<33.78%) | −4.132903 | 17.93963 | 0.974 | ||
| Education (>33.60% with low education) | 7.205453 | 7.012035 | 0.687 | ||
| Age (older population—mean age of the population >33.4 years) | 5.248158 | 1.843047 | 0.282 | ||
| Model 2 ** | |||||
| HDI (quantitative) | 73.04% | 10.56 | 6.901906 | 11.08584 | 0.832 |
| SES (>22.4% of the population had low SES) | 10.35391 | 2.503207 | 0.050 | ||
© 2018 by the authors. Licensee MDPI, Basel, Switzerland. This article is an open access article distributed under the terms and conditions of the Creative Commons Attribution (CC BY) license (http://creativecommons.org/licenses/by/4.0/).
Share and Cite
Costa, S.M.; Martins, C.C.; Pinto, M.Q.C.; Vasconcelos, M.; Abreu, M.H.N.G. Socioeconomic Factors and Caries in People between 19 and 60 Years of Age: An Update of a Systematic Review and Meta-Analysis of Observational Studies. Int. J. Environ. Res. Public Health 2018, 15, 1775. https://doi.org/10.3390/ijerph15081775
Costa SM, Martins CC, Pinto MQC, Vasconcelos M, Abreu MHNG. Socioeconomic Factors and Caries in People between 19 and 60 Years of Age: An Update of a Systematic Review and Meta-Analysis of Observational Studies. International Journal of Environmental Research and Public Health. 2018; 15(8):1775. https://doi.org/10.3390/ijerph15081775
Chicago/Turabian StyleCosta, Simone M., Carolina C. Martins, Mânia Q. C. Pinto, Mara Vasconcelos, and Mauro H. N. G. Abreu. 2018. "Socioeconomic Factors and Caries in People between 19 and 60 Years of Age: An Update of a Systematic Review and Meta-Analysis of Observational Studies" International Journal of Environmental Research and Public Health 15, no. 8: 1775. https://doi.org/10.3390/ijerph15081775
APA StyleCosta, S. M., Martins, C. C., Pinto, M. Q. C., Vasconcelos, M., & Abreu, M. H. N. G. (2018). Socioeconomic Factors and Caries in People between 19 and 60 Years of Age: An Update of a Systematic Review and Meta-Analysis of Observational Studies. International Journal of Environmental Research and Public Health, 15(8), 1775. https://doi.org/10.3390/ijerph15081775

