Variation Trends of Fine Particulate Matter Concentration in Wuhan City from 2013 to 2017
Abstract
:1. Introduction
2. Sample Collection, Analysis and Calculation
3. Results and Discussion
3.1. Annual Variation Trend of PM2.5 Concentrations
3.2. Monthly Variation Pattern of PM2.5 Concentrations
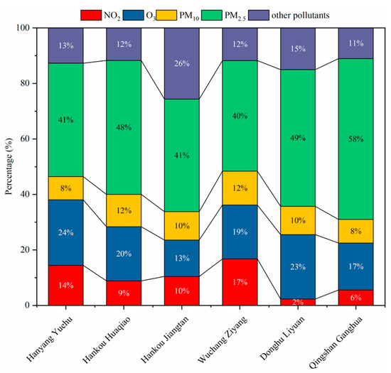
3.3. Analysis of Contribution of PM2.5 to Air Pollution
4. Conclusions
Author Contributions
Funding
Acknowledgments
Conflicts of Interest
References
- Lin, Y.; Zou, J.; Yang, W.; Li, C.Q. A Review of Recent Advances in Research on PM2.5 in China. Int. J. Environ. Res. Public Health 2018, 15, 438. [Google Scholar] [CrossRef] [PubMed]
- Xue, W.; Fu, F.; Wang, J.; He, K.; Yang, J.; Wang, S. Modeling study on atmospheric environmental capacity of major pollutants constrained by PM2.5 compliance of Chinese cities. China Environ. Sci. 2014, 10, 2490–2496. [Google Scholar]
- Fang, G.; Chang, C. Atmospheric Particulates and Ionic Pollutants Study at Wu-Chi, Central Taiwan. Environ. Forensics 2009, 10, 93–100. [Google Scholar] [CrossRef]
- Han, J.; Dai, Z.; Li, W. Analysis of PM2.5 concentration and meteorological conditions in haze weather of Xi’an city. Environ. Pollut. Control 2014, 2, 52–56. [Google Scholar]
- Liu, J.; Zhang, X.; Xu, X.; Xu, H. Comparison Analysis of Variation Characteristics of SO2, NOX, O3 and PM2.5 Between Rural and Urban Areas, Beijing. Environ. Sci. 2008, 4, 1059–1065. [Google Scholar]
- Wang, Z.; Li, Y.; An, Y.; Li, Q.; Sun, N.; Wang, B.; Pan, J. Variation of O3 Concentration in Different Regions of Beijing from 2006–2015. Environ. Sci. 2018, 1, 1–8. [Google Scholar]
- Zeng, J.; Liao, X.; Ren, Y.; Zhang, J.; Wang, X.; Ouyang, Z. Dynamics of atmospheric PM2.5, NOX, CO during the Beijing Olympic Games. Acta Ecol. Sin. 2010, 22, 6227–6233. [Google Scholar]
- Zhang, J.; Miao, H.; Ouyang, Z.; Wang, X. Ambient air quality trends and driving factor analysis since 1980’s in Beijing. Acta Sci. Circumst. 2006, 11, 1886–1892. [Google Scholar]
- Jiao, L.; Xu, G.; Zhao, S.; Hou, M.; Cheng, J. Analyzing Temporal and Spatial Variability of PM2.5 Concentration in Wuhan. Environ. Sci. Technol. 2015, 38, 70–74. [Google Scholar]
- Cho, C.; Hsieh, W.; Tsai, C.; Chen, C.; Chang, H.; Lin, C. In Vitro and In Vivo Experimental Studies of PM2.5 on Disease Progression. Int. J. Environ. Res. Public Health 2018, 15, 1380. [Google Scholar] [CrossRef] [PubMed]
- Ho, W.; Tseng, K.; Liou, M.; Chan, C.; Wang, C. Application of Positive Matrix Factorization in the Identification of the Sources of PM2.5 in Taipei City. Int. J. Environ. Res. Public Health 2018, 15, 1305. [Google Scholar] [CrossRef] [PubMed]
- Zhang, F.; Cheng, H.; Wang, Z.; Chen, H.; Liu, J. Pollution characteristics and sources analysis of trace elements in PM2.5 in Wuhan City. Eng. J. Wuhan Univ. 2012, 6, 757–761. [Google Scholar]
- Zhang, F.; Cheng, H.; Wang, Z.; Chen, H.; Liu, J.; Lv, X. Composition Characteristics and Sources Analysis of Rare Earth Elements in PM2.5 in Wuhan City. Environ. Sci. Technol. 2014, 2, 69–73. [Google Scholar]
- Zhang, J.; Li, B.; Chen, Y.; Chen, M.; Fang, T.; Liu, Y. Eigenvector Spatial Filtering Regression Modeling of Ground PM2.5 Concentrations Using Remotely Sensed Data. Int. J. Environ. Res. Public Health 2018, 15, 1228. [Google Scholar] [CrossRef] [PubMed]
- Cao, W.; Chen, N.; Tian, Y.; Quan, J. Characteristic analysis of water-soluble ions during clean and heavy pollution processes in autumn and winter in Wuhan. Acta Sci. Circumst. 2017, 1, 82–88. [Google Scholar]
- Ma, L.; Yi, F.; Song, Y.; He, M.; Shima, M.; Tamura, K. Indoor and Outdoor Pollutant Characteristics of Particulate Matter and OC, EC in Autumn and Winter in Wuhan. Urban Environ. Urban Ecol. 2011, 6, 25–28. [Google Scholar]
- Cheng, H.; Wang, Z.; Feng, J.; Chen, H.; Zhang, F.; Liu, J. Carbonaceous species composition and source apportionment of PM2.5 in urban atmosphere of Wuhan. Ecol. Environ. Sci. 2012, 9, 1574–1579. [Google Scholar]
- Yang, Y.; Luo, L.; Song, C.; Yin, H.; Yang, J. Spatiotemporal Assessment of PM2.5-Related Economic Losses from Health Impacts during 2014–2016 in China. Int. J. Environ. Res. Public Health 2018, 15, 1278. [Google Scholar] [CrossRef] [PubMed]
- Ma, X.; Wang, J.; Yu, F.; Jia, H.; Hu, Y. Can MODIS AOD be employed to derive PM2.5 in Beijing-Tianjin-Hebei over China? Atmos. Res. 2016, 181, 250–256. [Google Scholar] [CrossRef]
- Fung, A.T.; Haggerty, S.E. Petrography and mineral compositions of eclogites from the Koidu Kimberlite Complex, Sierra Leone. J. Geophys. Res. Solid Earth 1995, 100, 20451–20473. [Google Scholar] [CrossRef]
- Latha, K.M.; Badarinath, K. Seasonal variations of PM10 and PM2.5 particles loading over tropical urban environment. Int. J. Environ. Health Res. 2005, 15, 63–68. [Google Scholar] [CrossRef] [PubMed]
- Pant, P.; Shukla, A.; Kohl, S.D.; Chow, J.C.; Watson, J.G.; Harrison, R.M. Characterization of ambient PM2.5 at a pollution hotspot in New Delhi, India and inference of sources. Atmos. Environ. 2015, 109, 178–189. [Google Scholar] [CrossRef]
- Salinas, S.V.; Chew, B.N.; Mohamad, M.; Mahmud, M.; Liew, S.C. First measurements of aerosol optical depth and Angstrom exponent number from AERONET’s Kuching site. Atmos. Environ. 2013, 78, 231–241. [Google Scholar] [CrossRef]
- Tegen, I.; Fung, I. Contribution to the atmospheric mineral aerosol load from land surface modification. J. Geophys. Res. Atmos. 1995, 100, 18707–18726. [Google Scholar] [CrossRef]
- Tiwari, S.; Srivastava, A.K.; Bisht, D.S.; Parmita, P.; Srivastava, M.K.; Attri, S.D. Diurnal and seasonal variations of black carbon and PM2.5 over New Delhi, India: Influence of meteorology. Atmos. Res. 2013, 125, 50–62. [Google Scholar] [CrossRef]
- Xian, P.; Reid, J.S.; Atwood, S.A.; Johnson, R.S.; Hyer, E.J.; Westphal, D.L.; Sessions, W. Smoke aerosol transport patterns over the Maritime Continent. Atmos. Res. 2013, 122, 469–485. [Google Scholar] [CrossRef]
- Aboubacar, B.; Xu, D.; Mahaman, A.; Bounbacar, H. The Effect of PM2.5 from Household Combustion on Life Expectancy in Sub-Saharan Africa. Int. J. Environ. Res. Public Health 2018, 15, 748. [Google Scholar] [CrossRef] [PubMed]
- Phung, V.; Ueda, K.; Kasaoka, S.; Seposo, X.; Tasmin, S.; Yonemochi, S.; Phosri, A.; Honda, A.; Takano, H.; Michikawa, T.; et al. Acute Effects of Ambient PM2.5 on All-Cause and Cause-Specific Emergency Ambulance Dispatches in Japan. Int. J. Environ. Res. Public Health 2018, 15, 307. [Google Scholar] [CrossRef] [PubMed]
- Jugder, D.; Shinoda, M.; Sugimoto, N.; Matsui, I.; Nishikawa, M.; Park, S.U.; Chun, Y.S.; Park, M.S. Spatial and temporal variations of dust concentrations in the Gobi Desert of Mongolia. Glob. Planet. Chang. 2011, 78, 14–22. [Google Scholar] [CrossRef]
- Baker, K.R.; Foley, K.M. A nonlinear regression model estimating single source concentrations of primary and secondarily formed PM2.5. Atmos. Environ. 2011, 45, 3758–3767. [Google Scholar] [CrossRef]
- Genga, A.; Ielpo, P.; Siciliano, T.; Siciliano, M. Carbonaceous particles and aerosol mass closure in PM2.5 collected in a port city. Atmos. Res. 2017, 183, 245–254. [Google Scholar] [CrossRef]
- Ju, Y. Tracking the PM2.5 inventories embodied in the trade among China, Japan and Korea. J. Econ. Struct. 2017, 6, 27. [Google Scholar] [CrossRef]
- Aldabe, J.; Elustondo, D.; Santamaría, C.; Lasheras, E.; Pandolfi, M.; Alastuey, A.; Querol, X.; Santamaría, J.M. Chemical characterisation and source apportionment of PM2.5 and PM10 at rural, urban and traffic sites in Navarra (North of Spain). Atmos. Res. 2011, 102, 191–205. [Google Scholar] [CrossRef]
- Siskos, P.A.; Bakeas, E.B.; Lioli, I.; Smirnioudi, V.N.; Koutrakis, P. Chemical characterization of PM2.5 aerosols in Athens-Greece. Environ. Technol. Lett. 2001, 22, 687–695. [Google Scholar] [CrossRef] [PubMed]
- Saliba, N.A.; Jam, F.E.; Tayar, G.E.; Obeid, W.; Roumie, M. Origin and variability of particulate matter (PM10 and PM2.5) mass concentrations over an Eastern Mediterranean city. Atmos. Res. 2010, 97, 106–114. [Google Scholar] [CrossRef]
- Singh, K.; Tiwari, S.; Jha, A.; Aggarwal, S.; Bisht, D.; Murty, B.; Khan, Z.; Gupta, P. Mass-size distribution of PM10 and its characterization of ionic species; in fine (PM2.5) and coarse (PM10–2.5) mode, New Delhi, India. Nat. Hazards 2013, 68, 775–789. [Google Scholar] [CrossRef]
- Rao, M.; D’Elia, I.; Piersanti, A. An uncertainty quantification of PM2.5 emissions from residential wood combustion in Italy. Atmos. Pollut. Res. 2018, 9, 526–533. [Google Scholar] [CrossRef]
- Pipal, A.S.; Satsangi, P.G.; Tiwari, S.; Taneja, A. Study of mineral aerosols in fine (PM2.5) and coarse (PM10) atmospheric particles over a world heritage site at Agra, India. Int. J. Environ. Technol. Manag. 2014, 17, 538–553. [Google Scholar] [CrossRef]
- Ministry of Ecology and Environment of the People’s Republic of China. Determination of Atmospheric Articles PM10 and PM2.5 in Ambient Air by Gravimetric Method; China Environmental Science Press: Beijing, China, 2011.
- Chowdhury, Z.; Zheng, M.; Schauer, J.J.; Sheesley, R.J.; Salmon, L.G.; Cass, G.R.; Russell, A.G. Speciation of ambient fine organic carbon particles and source apportionment of PM2.5 in Indian cities. J. Geophys. Res. Atmos. 2007, 112, D15303. [Google Scholar] [CrossRef]












| Name of Device | Rating/Range | Precision | Specification |
|---|---|---|---|
| PM10 precollector | Da50 = 10 μm | ±0.5 μm | Satisfied |
| PM10 sampling system | σg = 1.5 μm | ±0.1 μm | Satisfied |
| PM2.5 precollector | Da50 = 2.5 μm | ±0.2 μm | Satisfied |
| PM2.5 sampling system | σg = 1.5 μm | ±0.1 μm | Satisfied |
| Medium flow meter | 60–125 L/m | ±2% | Satisfied |
| Year | Valid Data Hour (h) | |||||
| Hanyang | Hankou | Hankou | Wuchang | Donghu | Qingshan | |
| Yuehu | Huaqiao | Jiangtan | Ziyang | Liyuan | Ganghua | |
| 2013 | 8640 | 8640 | 8664 | 8688 | 8496 | 8592 |
| 2014 | 8664 | 8736 | 8688 | 8760 | 8544 | 8736 |
| 2015 | 8592 | 8568 | 8544 | 8688 | 8688 | 8592 |
| 2016 | 8592 | 8616 | 8208 | 8472 | 7992 | 8256 |
| 2017 | 8592 | 8688 | 8544 | 8544 | 8472 | 8472 |
| Year | Validity Rate of Hourly Data (%) | |||||
| Hanyang | Hankou | Hankou | Wuchang | Donghu | Qingshan | |
| Yuehu | Huaqiao | Jiangtan | Ziyang | Liyuan | Ganghua | |
| 2013 | 98.6 | 98.6 | 98.9 | 99.2 | 97 | 98.1 |
| 2014 | 98.9 | 99.7 | 99.2 | 100 | 97.5 | 99.7 |
| 2015 | 98.1 | 97.8 | 97.5 | 99.2 | 99.2 | 98.1 |
| 2016 | 97.8 | 98.1 | 93.4 | 96.4 | 91 | 94 |
| 2017 | 98.1 | 99.2 | 97.5 | 97.5 | 96.7 | 96.7 |
| Monitoring Site | Month with Highest Mean Monthly PM2.5 Concentration | Month with Lowest Mean Monthly PM2.5 Concentration | ||||||||
|---|---|---|---|---|---|---|---|---|---|---|
| 2013 | 2014 | 2015 | 2016 | 2017 | 2013 | 2014 | 2015 | 2016 | 2017 | |
| Hanyang Yuehu | 12 | 1 | 1 | 1 | 12 | 7 | 8 | 7 | 7 | 7 |
| Hankou Huaqiao | 1 | 1 | 1 | 1 | 12 | 7 | 7 | 7 | 7 | 7 |
| Hankou Jiangtan | 1 | 1 | 1 | 1 | 12 | 7 | 8 | 8 | 7 | 7 |
| Wuchang Ziyang | 1 | 1 | 1 | 1 | 12 | 7 | 8 | 7 | 7 | 7 |
| Donghu Liyuan | 1 | 1 | 1 | 1 | 12 | 7 | 8 | 7 | 8 | 7 |
| Qingshan Ganghua | 1 | 1 | 1 | 1 | 12 | 7 | 7 | 7 | 7 | 8 |
© 2018 by the authors. Licensee MDPI, Basel, Switzerland. This article is an open access article distributed under the terms and conditions of the Creative Commons Attribution (CC BY) license (http://creativecommons.org/licenses/by/4.0/).
Share and Cite
Liu, D.; Deng, Q.; Zhou, Z.; Lin, Y.; Tao, J. Variation Trends of Fine Particulate Matter Concentration in Wuhan City from 2013 to 2017. Int. J. Environ. Res. Public Health 2018, 15, 1487. https://doi.org/10.3390/ijerph15071487
Liu D, Deng Q, Zhou Z, Lin Y, Tao J. Variation Trends of Fine Particulate Matter Concentration in Wuhan City from 2013 to 2017. International Journal of Environmental Research and Public Health. 2018; 15(7):1487. https://doi.org/10.3390/ijerph15071487
Chicago/Turabian StyleLiu, Daoru, Qinli Deng, Zeng Zhou, Yaolin Lin, and Junwei Tao. 2018. "Variation Trends of Fine Particulate Matter Concentration in Wuhan City from 2013 to 2017" International Journal of Environmental Research and Public Health 15, no. 7: 1487. https://doi.org/10.3390/ijerph15071487
APA StyleLiu, D., Deng, Q., Zhou, Z., Lin, Y., & Tao, J. (2018). Variation Trends of Fine Particulate Matter Concentration in Wuhan City from 2013 to 2017. International Journal of Environmental Research and Public Health, 15(7), 1487. https://doi.org/10.3390/ijerph15071487

