Influence of Health Behaviors and Occupational Stress on Prediabetic State among Male Office Workers
Abstract
1. Introduction
2. Materials and Methods
2.1. Methods
2.2. Measures
- -
- Converted score of each domain = {(actual score − number of items)/(highest predictable score − number of items)} × 100
- -
- Total score of occupational stress = sum of converted scores of seven domains/7
2.3. Statistical Analysis
3. Results
3.1. Sociodemographic and Health-Related Characteristics
3.2. Status of Health Behaviors and Occupational Stress
3.3. Correlation of Health Behaviors and Occupational Stress
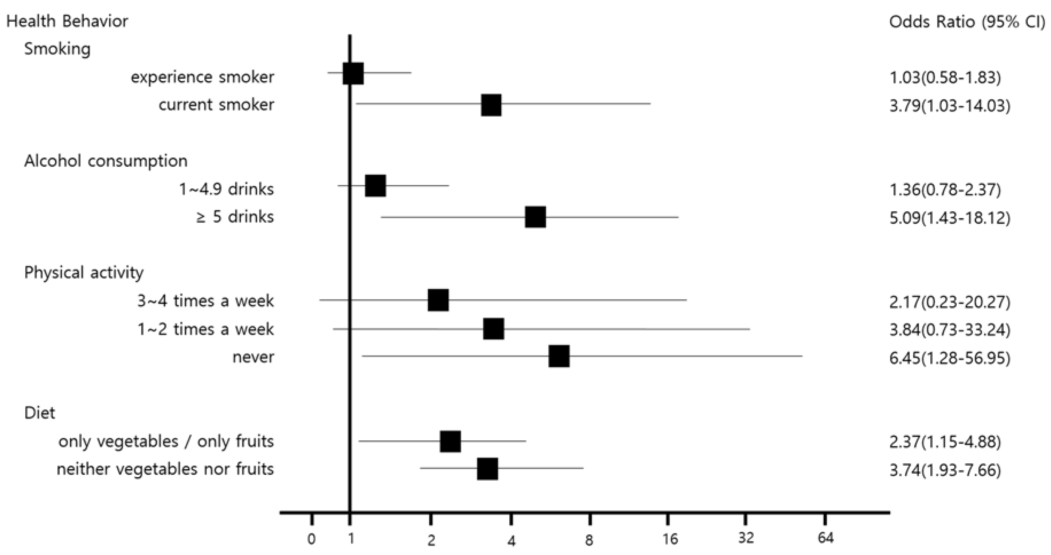
3.4. Odds ratio of Health Behaviors and Occupational Stress
3.5. Factors Influencing Prediabetic State
4. Discussion
5. Conclusions
Author Contributions
Funding
Acknowledgments
Conflicts of Interest
References
- The Statistics. Available online: http://kostat.go.kr/portal/eng/pressReleases/5/2/index.board?bmode=list&bSeq=&aSeq=360559&pageNo=2&rowNum=10&navCount=10&currPg=&sTarget=title&sTxt= (accessed on 14 March 2018).
- Lee, C.; Jyung, C.Y.; Na, S.E.; Kim, J.M.; Kang, D.C. Current situation and needs analysis of supporting career development for office workers. J. Agric. Educ. Hum. Resour. Dev. 2008, 40, 189–220. [Google Scholar]
- Ryu, H.; Kim, Y.; Lee, J.; Yoon, S.J.; Cho, J.H.; Wong, E.; Jung, J. Office workers’ risk of metabolic syndrome-related indicators: A 10-year cohort study. West. J. Nurs. Res. 2016, 38, 1433–1447. [Google Scholar] [CrossRef] [PubMed]
- Ryu, H.; Chin, D.L. Factors associated with metabolic syndrome among Korean office workers. Arch. Environ. Occup. Health 2016, 1–9. [Google Scholar] [CrossRef] [PubMed]
- Choi, Y.S. A study on relation of job stress, heart rate variability, blood pressure and lifestyle on white-collar workers. Korean J. Occup. Health Nurs. 2008, 17, 250–259. [Google Scholar]
- Cha, K.T.; Kim, I.W.; Koh, S.B.; Hyun, S.J.; Park, J.H.; Park, J.K.; Cha, B.S.; Chang, S.J. The association of occupational stress with self-perceived fatigue in white collar employees. Korean J. Occup. Environ. Med. 2008, 20, 182–192. [Google Scholar]
- Myong, J.P.; Kim, H.R.; Choi, W.S.; Jo, S.E.; Lee, B.; Koo, J.W.; Lee, K.S.; Park, C.Y. The relation between employees’ lifestyle and their health status in an electronics research and development company. Korean J. Occup. Environ. Med. 2009, 21, 1–9. [Google Scholar]
- Kim, E.; Oh, S.W. Gender differences in the association of occupation with metabolic syndrome in Korean adults. Korean J. Obes. 2012, 21, 108–114. [Google Scholar] [CrossRef]
- Kim, S.K.; Yone, B.Y.; Jang, J.H. Comparative analysis and evaluation of health and nutritional status of male industrial workers in Korea. J. Korean Diet. Assoc. 2003, 9, 326–335. [Google Scholar]
- Djindjic, N.; Jovanovic, J.; Djindjic, B.; Jovanovic, M.; Jovanovic, J.J. Associations between the occupational stress index and hypertension, type 2 diabetes mellitus, and lipid disorders in middle-aged men and women. Ann. Occup. Hyg. 2012, 56, 1051–1062. [Google Scholar] [CrossRef] [PubMed]
- Nyberg, S.T.; Fransson, E.I.; Heikkilä, K.; Ahola, K.; Alfredsson, L.; Bjorner, J.B.; Borritz, M.; Burr, H.; Dragano, N.; Goldberg, M.; et al. Job strain as a risk factor for type 2 diabetes: A pooled analysis of 124,808 men and women. Diabetes Care 2014, 37, 2268–2275. [Google Scholar] [CrossRef] [PubMed]
- Korean Diabetes Association. Diabetes Fact Sheet in Korea 2016; Korean Diabetes Association: Seoul, Korea, 2016. [Google Scholar]
- American Diabetes Association. Diagnosis and classification of diabetes mellitus. Diabetes Care 2010, 33 (Suppl. 1), S62. [Google Scholar]
- Forouhi, N.G.; Luan, J.; Hennings, S.; Wareham, N.J. Incidence of type 2 diabetes in England and its association with baseline impaired fasting glucose: The Ely study 1990–2000. Diabet. Med. 2007, 24, 200–207. [Google Scholar] [CrossRef] [PubMed]
- Nichols, G.A.; Hillier, T.A.; Brown, J.B. Progression from newly acquired impaired fasting glucose to type 2 diabetes. Diabetes care 2007, 30, 228–233. [Google Scholar] [CrossRef] [PubMed]
- Nathan, D.M.; Davidson, M.B.; DeFronzo, R.A.; Heine, R.J.; Henry, R.R.; Pratley, R.; Zinman, B. Impaired fasting glucose and impaired glucose tolerance: Implications for care. Diabetes Care 2007, 30, 753–759. [Google Scholar] [CrossRef] [PubMed]
- Tabá, G.; Herder, C.; Rathmann, W.; Brunner, E.; Kivimäk, M. Prediabetes: A high-risk state for developing diabetes. Lancet 2012, 379, 2279–2290. [Google Scholar] [CrossRef]
- Vlassopoulos, A.; Lean, M.E.; Combet, E. Influence of smoking and diet on glycated haemoglobin and pre-diabetes’ categorisation: A cross-sectional analysis. BMC Public Health 2013, 13, 1013. [Google Scholar] [CrossRef] [PubMed]
- Liu, L.; Zhou, C.; Du, H.; Zhang, K.; Huang, D.; Wu, J.; Anshan Worker Health Survey Group. The prevalences of impaired fasting glucose and diabetes mellitus in working age men of North China: Anshan Worker Health Survey. Sci. Rep. 2014, 4, 4835. [Google Scholar] [CrossRef] [PubMed]
- Huang, J.H.; Li, R.H.; Huang, S.L.; Sia, H.K.; Chen, Y.L.; Tang, F.C. Lifestyle factors and metabolic syndrome among workers: The role of interactions between smoking and alcohol to nutrition and exercise. Int. J. Environ. Res. Public Health 2015, 12, 15967–15978. [Google Scholar] [CrossRef] [PubMed]
- Marques-Vidal, P.; Vollenweider, P.; Waeber, G. Alcohol consumption and incidence of type 2 diabetes. Results from the CoLaus study. Nutr. Metab. Cardiovasc. Dis. 2015, 25, 75–84. [Google Scholar] [CrossRef] [PubMed]
- Manson, J.E.; Nathan, D.M.; Krolewski, A.S.; Stampfer, M.J.; Willett, W.C.; Hennekens, C.H. A prospective study of exercise and incidence of diabetes among US male physicians. JAMA 1992, 268, 63–67. [Google Scholar] [CrossRef] [PubMed]
- Yin, Y.; Han, W.; Wang, Y.; Zhang, Y.; Wu, S.; Zhang, H.; Jiang, L.; Wang, R.; Zhang, P.; Yu, Y.; et al. Identification of risk factors affecting impaired fasting glucose and diabetes in adult patients from northeast China. Int. J. Environ. Res. Public Health 2015, 12, 12662–12678. [Google Scholar] [CrossRef] [PubMed]
- World Health Organization. Global Status Report on Noncommunicable Diseases 2010; World Health Organization: Geneva, Switzerland, 2010. [Google Scholar]
- National Institute on Alcohol Abuse and Alcoholism. Available online: https://www.niaaa.nih.gov/alcohol-health/overview-alcohol-consumption/moderate-binge-drinking (accessed on 15 October 2016).
- Korea Occupational Safety and Health Research Institute. Standardization of Job Stress Measurement Scale for Korean Employees (The 2nd Year Project); Korea Occupational Safety and Health Research Institute: Seoul, Korea, 2004. [Google Scholar]
- Song, H.S.; Lee, C.G. The differences the relationship according to body part between occupational stress and self-reported musculoskeletal disorder symptoms as seen in surveys of public office workers using VDT. Korean J. Occup. Environ. Med. 2012, 24, 20–32. [Google Scholar]
- Tao, L.X.; Yang, K.; Huang, F.F.; Liu, X.T.; Li, X.; Luo, Y.X.; Wu, L.J.; Guo, X.H. Association of Waist Circumference Gain and Incident Prediabetes Defined by Fasting Glucose: A Seven-Year Longitudinal Study in Beijing, China. Int. J. Environ. Res. Public Health 2017, 14, 1208. [Google Scholar] [CrossRef] [PubMed]
- Kim, J.H.; Kim, H.S.; Song, I.H.; Bae, E.J.; Kim, S.Y.; Lee, K.I.; Yoo, C.H.; Hong, Y.S.; Kim, J.Y. Factors related to the prevalence of Diabetes Mellitus in Busan metropolitan city. In Proceedings of the Korean Society of Occupational and Environment Spring Conference, Seoul, Korea, 10 May 2013; The Korean Society of Occupational and Environment: Seoul, Korea, 2013; pp. 107–108. [Google Scholar]
- Molitch, M.E.; Fujimoto, W.; Hamman, R.F.; Knowler, W.C. The Diabetes Prevention Program and Its Global Implications. J. Am. Soc. Nephrol. 2003, 14 (Suppl. 2), S103–S107. [Google Scholar] [CrossRef] [PubMed]
- Diabetes Prevention Program Research Group. Reduction in the incidence of type 2 diabetes with lifestyle intervention or metformin. N. Engl. J. Med. 2002, 346, 393–403. [Google Scholar] [CrossRef]
- Chandrasiri, A.; Dissanayake, A.; de Silva, V. Health promotion in workplaces as a strategy for modification of risk factors for Non Communicable Diseases (NCDs): A practical example from Sri Lanka. Work 2016, 55, 281–284. [Google Scholar] [CrossRef] [PubMed]
- InterAct Consortium. Adherence to predefined dietary patterns and incident type 2 diabetes in European populations: EPIC-InterAct Study. Diabetologia 2014, 57, 321–333. [Google Scholar] [CrossRef]
- Li, M.; Fan, Y.; Zhang, X.; Hou, W.; Tang, Z. Fruit and vegetable intake and risk of type 2 diabetes mellitus: Meta-analysis of prospective cohort studies. BMJ Open 2014, 4, e005497. [Google Scholar] [CrossRef] [PubMed]
- Li, J.; Jarczok, M.N.; Loerbroks, A.; Schöllgen, I.; Siegrist, J.; Bosch, J.A.; Wilson, M.G.; Mauss, D.; Fischer, J.E. Work stress is associated with diabetes and prediabetes: Cross-sectional results from the MIPH Industrial Cohort Studies. Int. J. Behav. Med. 2013, 20, 495–503. [Google Scholar] [CrossRef] [PubMed]
- Cho, J.J.; Kim, J.Y.; Byun, J.S. Occupational stress on risk factors for cardiovascular diseases and metabolic syndrome. Korean J. Occup. Environ. Med. 2006, 18, 209–220. [Google Scholar]
- Gautier, A.; Roussel, R.; Ducluzeau, P.H.; Lange, C.; Balkau, B.; Bonnet, F.; DESIR Study Group. Increases in waist circumference and weight as predictors of type 2 diabetes in individuals with impaired fasting glucose: Influence of baseline BMI: Data from the DESIR study. Diabetes care 2010, 33, 1850–1852. [Google Scholar] [CrossRef] [PubMed]
- Aeschbacher, S.; Schoen, T.; Clair, C.; Schillinger, P.; Schönenberger, S.; Risch, M.; Risch, L.; Conen, D. Association of smoking and nicotine dependence with pre-diabetes in young and healthy adults. Swiss Med. Wkly. 2014, 144, w14019. [Google Scholar] [CrossRef] [PubMed]
- Lee, Y.H.; Bang, H.; Kim, H.C.; Kim, H.M.; Park, S.W.; Kim, D.J. A simple screening score for diabetes for the Korean population development, validation, and comparison with other scores. Diabetes Care 2012, 35, 1723–1730. [Google Scholar] [CrossRef] [PubMed]
- Lindström, J.; Ilanne-Parikka, P.; Peltonen, M.; Aunola, S.; Eriksson, J.G.; Hemiö, K.; Hämäläinen, H.; Härkönen, P.; Keinänen-Kiukaanniemi, S.; Laakso, M.; et al. Sustained reduction in the incidence of type 2 diabetes by lifestyle intervention: Follow-up of the Finnish Diabetes Prevention Study. Lancet 2006, 368, 1673–1679. [Google Scholar] [CrossRef]
- Nakanishi, N.; Takatorige, T.; Suzuki, K. Daily life activity and risk of developing impaired fasting glucose or type 2 diabetes in middle-aged Japanese men. Diabetologia 2004, 47, 1768–1775. [Google Scholar] [CrossRef] [PubMed]
- Eriksson, A.K.; Van Den Donk, M.; Hilding, A.; Östenson, C.G. Work stress, sense of coherence, and risk of type 2 diabetes in a prospective study of middle-aged Swedish men and women. Diabetes Care 2013, 36, 2683–2689. [Google Scholar] [CrossRef] [PubMed]


| Characteristics | Total (N = 275) | Normal (N = 183) | Prediabetic State (N = 92) | t/χ2 | p-Value |
|---|---|---|---|---|---|
| Mean ± SD or n (%) | |||||
| Sociodemographic Characteristics | |||||
| Age (years) | 38.1 ± 8.15 | 36.8 ± 7.63 | 40.9 ± 8.49 | −4.06 | <0.001 |
| Marital status | 8.28 | 0.004 | |||
| married | 177(53.2) | 107(58.5) | 70(79.3) | ||
| unmarried | 98(35.8) | 76(41.5) | 22(20.7) | ||
| Education level | 3.59 | 0.058 | |||
| University graduates | 234(85.1) | 161(88.0) | 73(79.3) | ||
| Graduate school | 41(14.9) | 22(12.0) | 19(20.7) | ||
| Working years (years) | 8.63 ± 7.32 | 7.64 ± 6.80 | 10.60 ± 7.95 | −3.05 | 0.003 |
| Health-Related Characteristics | |||||
| FBS (mg/dL) | 95.69 ± 11.00 | 89.99 ± 6.58 | 107.03 ± 9.06 | −17.79 | <0.001 |
| Height (cm) | 174.9 ± 5.29 | 174.7 ± 5.30 | 175.3 ± 5.30 | −0.86 | 0.388 |
| Body weight (kg) | 75.5 ± 10.18 | 74.2 ± 10.08 | 78.0 ± 9.95 | −2.93 | 0.004 |
| BMI (kg/m2) | 24.63 ± 2.84 | 24.27 ± 2.82 | 25.34 ± 2.74 | −2.99 | 0.003 |
| WC (cm) | 85.48 ± 8.09 | 84.53 ± 7.93 | 87.38 ± 8.10 | −2.79 | 0.006 |
| SBP (mmHg) | 120.03 ± 12.23 | 118.60 ± 11.91 | 122.87 ± 12.42 | −2.77 | 0.006 |
| DBP (mmHg) | 76.66 ± 9.39 | 75.68 ± 9.12 | 78.59 ± 9.66 | −2.44 | 0.015 |
| Variables | Total (N = 275) | Normal (N = 183) | Prediabetic State (N = 92) |
|---|---|---|---|
| r (p-Value) | |||
| Health behaviors | |||
| Smoking | 0.22(<0.001) | 0.16(0.032) | 0.37(<0.001) |
| Alcohol consumption | 0.30(<0.001) | 0.21(0.004) | 0.53(<0.001) |
| Physical activity | 0.12(0.041) | −0.16(0.031) | 0.34(0.001) |
| Diet | 0.28(<0.001) | 0.09(0.232) | 0.58(<0.001) |
| Occupational stress | |||
| Short form total | 0.19(0.002) | 0.11(0.136) | 0.31(0.003) |
| Subscales | |||
| Job demand | 0.11(0.082) | 0.09(0.218) | 0.21(0.043) |
| Insufficient job control | 0.08(0.217) | 0.04(0.573) | 0.05(0.641) |
| Interpersonal conflict | 0.15(0.012) | −0.03(0.643) | 0.25(0.017) |
| Job insecurity | 0.13(0.031) | −0.05(0.512) | 0.21(0.049) |
| Organizational system | 0.28(<0.001) | −0.01(0.873) | 0.27(0.010) |
| Lack of reward | 0.06(0.301) | −0.06(0.402) | 0.40(<0.001) |
| Occupational climate | 0.11(0.072) | −0.08(0.288) | 0.20(0.059) |
| Variables | Model 1 | |||
| B | SE | Wald F | p-Value | |
| Health behaviors | ||||
| Alcohol consumption | ||||
| None or <1 drink | 0.00 | |||
| 1~4.9 drinks | 0.17 | 0.30 | 0.30 | 0.584 |
| ≥5 drinks | 1.65 | 0.70 | 5.57 | 0.018 |
| Diet | ||||
| Both vegetables and fruits | 0.00 | |||
| Only vegetables/only fruits | 0.74 | 0.37 | 3.98 | 0.046 |
| Neither vegetables nor fruits | 0.93 | 0.38 | 6.00 | 0.014 |
| Occupational stress | ||||
| Job insecurity | ||||
| 1~2 Q | 0.00 | |||
| 3 Q | - | - | - | - |
| 4 Q | 0.53 | 0.29 | 3.39 | 0.065 |
| Organizational system | ||||
| 1~2 Q | 0.00 | |||
| 3 Q | 1.01 | 0.39 | 6.67 | 0.010 |
| 4 Q | 1.41 | 0.36 | 15.36 | <0.001 |
| Variables | Model 2 | |||
| B | SE | Wald F | p-Value | |
| Health behaviors | ||||
| Diet | ||||
| Both vegetables and fruits | 0.00 | |||
| Only vegetables/only fruits | 0.77 | 0.39 | 3.97 | 0.046 |
| Neither vegetables nor fruits | 1.20 | 0.39 | 9.64 | 0.002 |
| Occupational stress | ||||
| Short form total | ||||
| 1~2 Q | 0.00 | |||
| 3 Q | 0.15 | 0.42 | 1.16 | 0.048 |
| 4 Q | 1.33 | 0.59 | 3.78 | 0.024 |
| Organizational system | ||||
| 1~2 Q | 0.00 | |||
| 3 Q | 1.07 | 0.41 | 4.90 | 0.009 |
| 4 Q | 1.13 | 0.43 | 6.84 | 0.009 |
| Working years (years) | 0.52 | 0.02 | 6.29 | 0.009 |
| Waist circumference (cm) | 0.47 | 0.19 | 6.37 | 0.012 |
© 2018 by the authors. Licensee MDPI, Basel, Switzerland. This article is an open access article distributed under the terms and conditions of the Creative Commons Attribution (CC BY) license (http://creativecommons.org/licenses/by/4.0/).
Share and Cite
Ryu, H.; Moon, J.; Jung, J. Influence of Health Behaviors and Occupational Stress on Prediabetic State among Male Office Workers. Int. J. Environ. Res. Public Health 2018, 15, 1264. https://doi.org/10.3390/ijerph15061264
Ryu H, Moon J, Jung J. Influence of Health Behaviors and Occupational Stress on Prediabetic State among Male Office Workers. International Journal of Environmental Research and Public Health. 2018; 15(6):1264. https://doi.org/10.3390/ijerph15061264
Chicago/Turabian StyleRyu, Hosihn, Jihyeon Moon, and Jiyeon Jung. 2018. "Influence of Health Behaviors and Occupational Stress on Prediabetic State among Male Office Workers" International Journal of Environmental Research and Public Health 15, no. 6: 1264. https://doi.org/10.3390/ijerph15061264
APA StyleRyu, H., Moon, J., & Jung, J. (2018). Influence of Health Behaviors and Occupational Stress on Prediabetic State among Male Office Workers. International Journal of Environmental Research and Public Health, 15(6), 1264. https://doi.org/10.3390/ijerph15061264

