Association between Ambient Temperatures and Mental Disorder Hospitalizations in a Subtropical City: A Time-Series Study of Hong Kong Special Administrative Region
Abstract
1. Introduction
2. Materials and Methods
2.1. Study Population and Data Collection
2.2. Statistical Analysis
- cb: crossbasis of independent variables built up with dlnm() package in R
- s(): smoothing function of independent variables in mgcv() package in R
- k: limitation of degrees of freedom in smoothing function (k-1 = max. df considered)
- factor(): indicator of categorical independent variables
- air pollutants: PM10, SO2, NO2 or O3
- DOS: Day of study (1,2,3…,3227)
- DOY: Day of year (1,2,3, …,365/366)
- DOW: Day of week (1,2,3,…,7)
3. Results
3.1. Descriptive Results
3.2. Regression Results
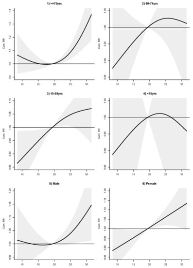
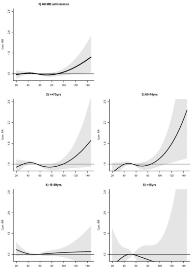
3.3. Temperature
4. Discussion
5. Conclusions
Acknowledgments
Author Contributions
Conflicts of Interest
Appendix A. Regression Result for NO2—the Short-Term Associaton between NO2 and Mental Disorder Admissions
Nitrogen Dioxide NO2


| Sub-Group | RR | 95% Confidence Interval | |
|---|---|---|---|
| Lower | Upper | ||
| Daily Mean NO2 Level Lagged 0–8 Days 120 vs. 56 µg/m3 (99.7th Percentile vs. 50th Percentile) | |||
| Overall admissions | 1.17 | 1.00 | 1.36 |
| Males | 1.10 | 0.89 | 1.37 |
| Females | 1.23 | 0.98 | 1.53 |
| Elderly (≥75) | 1.19 | 0.91 | 1.55 |
| Older adults (60–74) | 1.49 | 1.04 | 2.13 |
| Adults (15–59) | 1.06 | 0.84 | 1.33 |
| Children (<15) | 0.68 | 0.23 | 2.05 |
| Persistent mental disorders | 1.35 | 0.96 | 1.89 |
| Dementias | 0.84 | 0.51 | 1.36 |
| Schizophrenic disorders | 1.70 | 1.00 | 2.88 |
| Episodic mood disorders | 1.07 | 0.54 | 2.09 |
| Other nonorganic psychoses | 0.99 | 0.50 | 1.94 |
| Anxiety, dissociative and somatoform disorders | 2.23 | 1.02 | 4.91 |
| Depressive disorders | 1.18 | 0.55 | 2.53 |
| Transient mental disorders | 3.83 | 1.42 | 10.31 |
| Drug-related mental disorders | 1.02 | 0.71 | 1.47 |
| Alcohol-related mental disorders | 0.90 | 0.55 | 1.45 |
References
- Stocker, T.F.; Qin, D.; Plattner, G.-K.; Tignor, M.; Allen, S.K.; Boschung, J.; Nauels, A.; Xia, Y. (Eds.) Summary for Policymakers. In Climate Change 2013: The Physical Science Basis. Contribution of Working Group I to the Fifth Assessment Report of the Intergovernmental Panel on Climate Change; Cambridge University Press: Cambridge, UK, 2013; pp. 33–36. [Google Scholar]
- IPCC Summary for Policymakers. Climate Change 2014 Impacts, Adapt. Vulnerability Contribution of Working Group II to the Fifth Assessment Report; IPCC: Geneva, Switzerland, 2014; pp. 1–32. [Google Scholar]
- Vigo, D.; Thornicroft, G.; Atun, R. Estimating the true global burden of mental illness. Lancet Psychiatry 2016, 3, 171–178. [Google Scholar] [CrossRef]
- Chesney, E.; Goodwin, G.M.; Fazel, S. Risks of all-cause and suicide mortality in mental disorders: A meta-review. World Psychiatry 2014, 13, 153–160. [Google Scholar] [CrossRef] [PubMed]
- Bertolote, J.M.; Fleischmann, A.; DeLeo, D.; Wasserman, D. Suicide and mental disorders: Do we know enough? Br. J. Psychiatry 2003, 183, 382–383. [Google Scholar] [CrossRef] [PubMed]
- Kessler, R.C.; Aguilar-Gaxiola, S.; Alonso, J.; Chatterji, S.; Lee, S.; Ormel, J.; Üstün, T.B.; Wang, P.S. The global burden of mental disorders: An update from the WHO World Mental Health (WMH) Surveys. Epidemiol. Psichiatr. Soc. 2009, 18, 23–29. [Google Scholar] [CrossRef] [PubMed]
- Food and Health Bureau (The Hong Kong Special Administrative Government). Mental Health Review Report; Food and Health Bureau (The Hong Kong Special Administrative Government): Hong Kong SAR, China, 2017.
- Peng, Z.; Wang, Q.; Kan, H.; Chen, R.; Wang, W. Effects of ambient temperature on daily hospital admissions for mental disorders in Shanghai, China: A time-series analysis. Sci. Total Environ. 2017, 590–591, 281–286. [Google Scholar] [CrossRef] [PubMed]
- Wang, X.; Lavigne, E.; Ouellette-Kuntz, H.; Chen, B.E. Acute impacts of extreme temperature exposure on emergency room admissions related to mental and behavior disorders in Toronto, Canada. J. Affect. Disord. 2014, 155, 154–161. [Google Scholar] [CrossRef] [PubMed]
- Williams, S.; Nitschke, M.; Sullivan, T.; Tucker, G.R.; Weinstein, P.; Pisaniello, D.L.; Parton, K.A.; Bi, P. Heat and health in Adelaide, South Australia: Assessment of heat thresholds and temperature relationships. Sci. Total Environ. 2012, 414, 126–133. [Google Scholar] [CrossRef] [PubMed]
- Vida, S.; Durocher, M.; Ouarda, T.B.M.J.; Gosselin, P. Relationship Between Ambient Temperature and Humidity and Visits to Mental Health Emergency Departments in Québec. Psychiatr. Serv. 2012, 63, 1150–1153. [Google Scholar] [CrossRef] [PubMed]
- Hansen, A.; Bi, P.; Nitschke, M.; Ryan, P.; Pisaniello, D.; Tucker, G. The effect of heat waves on mental health in a temperate Australian City. Environ. Health Perspect. 2008, 116, 1369–1375. [Google Scholar] [CrossRef] [PubMed]
- Nitschke, M.; Tucker, G.R.; Hansen, A.L.; Williams, S.; Zhang, Y.; Bi, P. Impact of two recent extreme heat episodes on morbidity and mortality in Adelaide, South Australia: A case-series analysis. Environ. Health 2011, 10, 42. [Google Scholar] [CrossRef] [PubMed]
- Trang, P.M.; Rocklöv, J.; Giang, K.B.; Kullgren, G.; Nilsson, M. Heatwaves and hospital admissions for mental disorders in Northern Vietnam. PLoS ONE 2016, 11, e0155609. [Google Scholar] [CrossRef] [PubMed]
- Trang, P.M.; Rocklöv, J.; Giang, K.B.; Nilsson, M. Seasonality of hospital admissions for mental disorders in Hanoi, Vietnam. Glob. Health Action 2016, 9, 32116. [Google Scholar] [CrossRef] [PubMed]
- Amr, M.; Volpe, F.M. Seasonal influences on admissions for mood disorders and schizophrenia in a teaching psychiatric hospital in Egypt. J. Affect. Disord. 2012, 137, 56–60. [Google Scholar] [CrossRef] [PubMed]
- Shiloh, R.; Shapira, A.; Potchter, O.; Hermesh, H.; Popper, M.; Weizman, A. Effects of climate on admission rates of schizophrenia patients to psychiatric hospitals. Eur. Psychiatry 2005, 20, 61–64. [Google Scholar] [CrossRef] [PubMed]
- Vaneckova, P.; Bambrick, H. Cause-specific hospital admissions on hot days in Sydney, Australia. PLoS ONE 2013, 8, e55459. [Google Scholar] [CrossRef] [PubMed]
- Ding, N.; Berry, H.L.; Bennett, C.M. The importance of humidity in the relationship between heat and population mental health: Evidence from Australia. PLoS ONE 2016, 11, e0164190. [Google Scholar] [CrossRef] [PubMed]
- Kim, Y.; Kim, H.; Kim, D.S. Association between daily environmental temperature and suicide mortality in Korea (2001–2005). Psychiatry Res. 2011, 186, 390–396. [Google Scholar] [CrossRef] [PubMed]
- Töro, K.; Dunay, G.; Bartholy, J.; Pongrácz, R.; Kis, Z.; Keller, É. Relationship between suicidal cases and meteorological conditions. J. Forensic. Leg. Med. 2009, 16, 277–279. [Google Scholar] [CrossRef] [PubMed]
- Tsai, J.F.; Cho, W. Temperature change dominates the suicidal seasonality in Taiwan: A time-series analysis. J. Affect. Disord. 2012, 136, 412–418. [Google Scholar] [CrossRef] [PubMed]
- Goggins, W.B.; Yy, E. A study of the short-term associations between hospital admissions and mortality from heart failure and meteorological variables in Hong Kong Weather and heart failure in Hong Kong. Int. J. Cardiol. 2017, 228, 537–542. [Google Scholar] [CrossRef] [PubMed]
- Goggins, W.B.; Chan, E.Y.Y.; Yang, C. Weather, pollution, and acute myocardial infarction in Hong Kong and Taiwan. Int. J. Cardiol. 2013, 168, 243–249. [Google Scholar] [CrossRef] [PubMed]
- Goggins, W.B.; Woo, J.; Ho, S.; Chan, E.Y.Y.; Chau, P.H. Weather, season, and daily stroke admissions in Hong Kong. Int. J. Biometeorol. 2012, 56, 865–872. [Google Scholar] [CrossRef] [PubMed]
- Goggins, W.B.; Chan, E.Y.Y.; Yang, C.; Chong, M. Associations between mortality and meteorological and pollutant variables during the cool season in two Asian cities with sub-tropical climates: Hong Kong and Taipei. Environ. Health 2013, 12, 59. [Google Scholar] [CrossRef] [PubMed]
- Lam, H.C.-Y.; Li, A.M.; Chan, E.Y.-Y.; Goggins, W.B. The short-term association between asthma hospitalisations, ambient temperature, other meteorological factors and air pollutants in Hong Kong: A time-series study. Thorax 2016, 1–13. [Google Scholar] [CrossRef] [PubMed]
- Wang, P.; Goggins, W.B.; Chan, E.Y.Y. Hand, foot and mouth disease in Hong Kong: A time-series analysis on its relationship with weather. PLoS ONE 2016, 11, e0161006. [Google Scholar] [CrossRef] [PubMed]
- Chan, E.Y.Y.; Goggins, W.B.; Yue, S.K.; Lee, P. Hospital admissions as a function of temperature, other weather phenomena and pollution levels in an urban setting in China. Bull. World Heal. Org. 2013, 576–584. [Google Scholar] [CrossRef] [PubMed]
- Chan, E.Y.Y.; Goggins, W.B.; Kim, J.J.; Griffiths, S.M. A study of intracity variation of temperature-related mortality and socioeconomic status among the Chinese population in Hong Kong. J. Epidemiol. Community Health 2012, 66, 322–327. [Google Scholar] [CrossRef] [PubMed]
- Goggins, W.B.; Chan, E.Y.Y.; Ng, E.; Ren, C.; Chen, L. Effect modification of the association between short-term meteorological factors and mortality by urban heat islands in Hong Kong. PLoS ONE 2012, 7, e38551. [Google Scholar] [CrossRef] [PubMed]
- Hospital Authority (Hong Kong SAR) HA Statistical Report. Available online: http://www.ha.org.hk/visitor/ha_visitor_index.asp?Content_ID=224130&Lang=ENG&Dimension=100&Parent_ID=10221&Ver=HTML (accessed on 8 March 2018).
- Volk, H.E.; Lurmann, F.; Penfold, B.; Hertz-Picciotto, I.; McConnell, R. Traffic-Related Air Pollution, Particulate Matter, and Autism. JAMA Psychiatry 2013, 70, 71. [Google Scholar] [CrossRef] [PubMed]
- Power, M.C.; Kioumourtzoglou, M.-A.; Hart, J.E.; Okereke, O.I.; Laden, F.; Weisskopf, M.G. The relation between past exposure to fine particulate air pollution and prevalent anxiety: Observational cohort study. BMJ 2015, h1111. [Google Scholar] [CrossRef] [PubMed]
- Zijlema, W.L.; Wolf, K.; Emeny, R.; Ladwig, K.H.; Peters, A.; Kongsgård, H.; Hveem, K.; Kvaløy, K.; Yli-Tuomi, T.; Partonen, T.; et al. The association of air pollution and depressed mood in 70,928 individuals from four European cohorts. Int. J. Hyg. Environ. Health 2016, 219, 212–219. [Google Scholar] [CrossRef] [PubMed]
- Tzivian, L.; Winkler, A.; Dlugaj, M.; Schikowski, T.; Vossoughi, M.; Fuks, K.; Weinmayr, G.; Hoffmann, B. Effect of long-term outdoor air pollution and noise on cognitive and psychological functions in adults. Int. J. Hyg. Environ. Health 2015, 218, 1–11. [Google Scholar] [CrossRef] [PubMed]
- Vert, C.; Sánchez-Benavides, G.; Martínez, D.; Gotsens, X.; Gramunt, N.; Cirach, M.; Molinuevo, J.L.; Sunyer, J.; Nieuwenhuijsen, M.J.; Crous-Bou, M.; et al. Effect of long-term exposure to air pollution on anxiety and depression in adults: A cross-sectional study. Int. J. Hyg. Environ. Health 2017, 220, 1074–1080. [Google Scholar] [CrossRef] [PubMed]
- Gao, Q.; Xu, Q.; Guo, X.; Fan, H.; Zhu, H. Particulate matter air pollution associated with hospital admissions for mental disorders: A time-series study in Beijing, China. Eur. Psychiatry 2017, 44, 68–75. [Google Scholar] [CrossRef] [PubMed]
- Cho, J.; Choi, Y.J.; Suh, M.; Sohn, J.; Kim, H.; Cho, S.K.; Ha, K.H.; Kim, C.; Shin, D.C. Air pollution as a risk factor for depressive episode in patients with cardiovascular disease, diabetes mellitus, or asthma. J. Affect. Disord. 2014, 157, 45–51. [Google Scholar] [CrossRef] [PubMed]
- Simon, N.W. Generalized Additive Models: An Introduction with R; Chapman & Hall: London, UK, 2006. [Google Scholar]
- Gasparrini, A. Distributed lag linear and non-linear models: The R the package dlnm. J. Stat. Softw. 2017, 43, 1–11. [Google Scholar]
- Yu, R.; Chau, P.H.; McGhee, S.M.; Cheung, W.L.; Chan, K.C.; Cheung, S.H.; Woo, J. Trends in prevalence and mortality of dementia in elderly Hong Kong population: Projections, disease burden, and implications for long-term care. Int. J. Alzheimers Dis. 2012, 2012. [Google Scholar] [CrossRef] [PubMed]
- Shiue, I.; Perkins, D.R.; Bearman, N. Physically equivalent temperature and mental and behavioural disorders in Germany in 2009–2011. J. Ment. Health 2016, 25, 148–153. [Google Scholar] [CrossRef] [PubMed]
- Wang, X.Y.; Barnett, A.G.; Yu, W.; FitzGerald, G.; Tippett, V.; Aitken, P.; Neville, G.; McRae, D.; Verrall, K.; Tong, S. The impact of heatwaves on mortality and emergency hospital admissions from non-external causes in Brisbane, Australia. Occup. Environ. Med. 2012, 69, 163–169. [Google Scholar] [CrossRef] [PubMed]
- Wijayanto, T.; Toramoto, S.; Maeda, Y.; Son, S.Y.; Umezaki, S.; Tochihara, Y. Cognitive performance during passive heat exposure in Japanese males and tropical Asian males from Southeast Asian living in Japan. J. Physiol. Anthropol. 2017, 36, 8. [Google Scholar] [CrossRef] [PubMed]
- Noelke, C.; McGovern, M.; Corsi, D.J.; Jimenez, M.P.; Stern, A.; Wing, I.S.; Berkman, L. Increasing ambient temperature reduces emotional well-being. Environ. Res. 2016, 151, 124–129. [Google Scholar] [CrossRef] [PubMed]
- Dai, L.; Kloog, I.; Coull, B.A.; Sparrow, D.; Spiro, A.; Vokonas, P.S.; Schwartz, J.D. Cognitive function and short-term exposure to residential air temperature: A repeated measures study based on spatiotemporal estimates of temperature. Environ. Res. 2016, 150, 446–451. [Google Scholar] [CrossRef] [PubMed]
- Becerra, T.A.; Wilhelm, M.; Olsen, J.; Cockburn, M.; Ritz, B. Ambient air pollution and autism in Los Angeles County, California. Environ. Health Perspect. 2013, 121, 380–386. [Google Scholar] [CrossRef] [PubMed]
- Lim, Y.-H.; Kim, H.; Kim, J.H.; Bae, S.; Park, H.Y.; Hong, Y.-C. Air Pollution and Symptoms of Depression in Elderly Adults. Environ. Health Perspect. 2012, 120, 1023–1028. [Google Scholar] [CrossRef] [PubMed]
- Oudin, A.; Åström, D.O.; Asplund, P.; Steingrimsson, S.; Szabo, Z.; Carlsen, H.K. The association between daily concentrations of air pollution and visits to a psychiatric emergency unit: A case-crossover study. Environ. Heal. 2018, 17, 4. [Google Scholar] [CrossRef] [PubMed]
- Oudin, A.; Brabäck, L.; Aström, D.O.; Strömgren, M.; Forsberg, B. Association between neighbourhood air pollution concentrations and dispensed medication for psychiatric disorders in a large longitudinal cohort of Swedish children and adolescents. BMJ Open 2016, 6, 1–12. [Google Scholar] [CrossRef] [PubMed]
- Yan, W.; Yun, Y.; Ku, T.; Li, G.; Sang, N. NO2 inhalation promotes Alzheimer’s disease-like progression: Cyclooxygenase-2-derived prostaglandin E2modulation and monoacylglycerol lipase inhibition-targeted medication. Sci. Rep. 2016, 6, 1–17. [Google Scholar] [CrossRef]
- Gatto, N.M.; Henderson, V.W.; Hodis, H.N.; John, J.A.S.; Lurmann, F.; Chen, J.-C.; Mack, W.J. Components of Air Pollution and Cognitive Function in Middle-aged and Older Adults in Los Angeles. Neurotoxicology 2014, 40, 1–7. [Google Scholar] [CrossRef] [PubMed]
- Taylor, L.; Watkins, S.L.; Marshall, H.; Dascombe, B.J.; Foster, J. The impact of different environmental conditions on cognitive function: A focused review. Front. Physiol. 2016, 6, 1–12. [Google Scholar] [CrossRef] [PubMed]
- Ljubičić, D.; Stipčević, T.; Pivac, N.; Jakovljević, M.; Mück-Šeler, D. The influence of daylight exposure on platelet 5-HT levels in patients with major depression and schizophrenia. J. Photochem. Photobiol. B Biol. 2007, 89, 63–69. [Google Scholar] [CrossRef] [PubMed]
- Sarrias, M.J.; Artigas, F.; Martínez, E.; Gelpí, E. Seasonal changes of plasma serotonin and related parameters: Correlation with environmental measures. Biol. Psychiatry 1989, 26, 695–706. [Google Scholar] [CrossRef]
- Marzuk, P.M.; Tardiff, K.; Leon, A.C.; Hirsch, C.S.; Portera, L.; Iqbal, M.I.; Nock, M.K.; Hartwell, N. Ambient temperature and mortality from unintentional cocaine overdose. J. Am. Med. Assoc. 1998, 279, 1795–1800. [Google Scholar] [CrossRef]
- Page, L.A.; Hajat, S.; Sari Kovats, R.; Howard, L.M. Temperature-related deaths in people with psychosis, dementia and substance misuse. Br. J. Psychiatry 2012, 200, 485–490. [Google Scholar] [CrossRef] [PubMed]
- Schmeltz, M.T.; Gamble, J.L. Risk characterization of hospitalizations for mental illness and/or behavioral disorders with concurrent heat-related illness. PLoS ONE 2017, 12, e0186509. [Google Scholar] [CrossRef] [PubMed]
- Berry, H.L.; Bowen, K.; Kjellstrom, T. Climate change and mental health: A causal pathways framework. Int. J. Public Health 2010, 55, 123–132. [Google Scholar] [CrossRef] [PubMed]
- Hong Kong Observatory Regional Climate of Hong Kong. Available online: http://www.hko.gov.hk/cis/regione.htm (accessed on 8 March 2018).
- China Meteorological Administration. Available online: http://data.cma.cn/data/detail/dataCode/A.0029.0005.html (accessed on 8 March 2018).




| Group | Sub-Group | N | % |
|---|---|---|---|
| Total | 44,600 | 100 | |
| Gender | Male | 23,392 | 52.45 |
| Female | 21,208 | 47.55 | |
| Age-group (years) | Elderly ≥ 75 | 16,142 | 36.19 |
| Older adults 60–74 | 7310 | 16.39 | |
| Adults 15–59 | 20,315 | 45.55 | |
| Children <15 | 833 | 1.87 |
| ICD-9-Code | N (Total = 44,600) | % |
|---|---|---|
| 294 Persistent mental disorders due to conditions classified elsewhere | 10,085 | 22.61% |
| 305 Nondependent abuse of drugs | 5898 | 13.22% |
| 290 Dementias | 4896 | 10.98% |
| 303 Alcohol dependence syndrome | 3255 | 7.30% |
| 295 Schizophrenic disorders | 3218 | 7.22% |
| 292 Drug-induced mental disorders | 2586 | 5.80% |
| 298 Other nonorganic psychoses | 2270 | 5.09% |
| 296 Episodic mood disorders | 2076 | 4.65% |
| 311 Depressive disorder, not elsewhere classified | 1663 | 3.73% |
| 309 Adjustment reaction | 1570 | 3.52% |
| 291 Alcohol-induced mental disorders | 1556 | 3.49% |
| 300 Anxiety, dissociative and somatoform disorders | 1510 | 3.39% |
| 293 Transient mental disorders due to conditions classified elsewhere | 744 | 1.67% |
| 307 Special symptoms or syndromes not elsewhere classified | 667 | 1.50% |
| 308 Acute reaction to stress | 452 | 1.01% |
| 304 Drug dependence | 423 | 0.95% |
| 297 Delusional disorders | 380 | 0.85% |
| 318 Other specified intellectual disabilities | 314 | 0.70% |
| 301 Personality disorders | 260 | 0.58% |
| 310 Specific nonpsychotic mental disorders due to brain damage | 195 | 0.44% |
| 319 Unspecified intellectual disabilities | 129 | 0.29% |
| 317 Mild intellectual disabilities | 109 | 0.24% |
| 313 Disturbance of emotions specific to childhood and adolescence | 65 | 0.15% |
| 306 Physiological malfunction arising from mental factors | 57 | 0.13% |
| 312 Disturbance of conduct not elsewhere classified | 53 | 0.12% |
| 302 Sexual and gender identity disorders | 41 | 0.09% |
| 315 Specific delays in development | 40 | 0.09% |
| 299 Pervasive developmental disorders | 36 | 0.08% |
| 316 Psychic factors associated with diseases classified elsewhere | 33 | 0.07% |
| 314 Hyperkinetic syndrome of childhood | 19 | 0.04% |
| Environmental Variables | Minimum | 25th Percentile | Median | Mean | 75th Percentile | Maximum |
|---|---|---|---|---|---|---|
| Daily mean temperature (°C) | 8.20 | 19.40 | 24.60 | 23.45 | 27.80 | 31.80 |
| Daily mean relative humidity (%) | 31.00 | 73.00 | 79.00 | 78.02 | 85.00 | 98.00 |
| Daily mean level of PM10 (µg/m3) | 8.71 | 42.66 | 57.54 | 56.23 | 63.10 | 389.05 |
| Daily mean level of NO2 (µg/m3) | 18.95 | 42.79 | 54.78 | 56.75 | 68.51 | 146.61 |
| Daily mean level of SO2 (µg/m3) | 3.50 | 11.40 | 16.35 | 18.96 | 23.06 | 110.44 |
| Daily mean level of O3 | 6.22 | 19.70 | 32.08 | 35.47 | 47.61 | 118.45 |
| Sub-Group | RR | 95% Confidence Interval | |
|---|---|---|---|
| Lower | Upper | ||
| Daily Mean Temperature Lagged 0–2 Days 28 vs. 19.4 °C (75th Percentile vs. 25th Percentile) | |||
| Overall admissions | 1.09 | 1.03 | 1.15 |
| Males | 1.08 | 1.01 | 1.16 |
| Females | 1.09 | 1.01 | 1.18 |
| Elderly (≥75) | 1.20 | 1.09 | 1.31 |
| Older adults (60–74) | 1.02 | 0.89 | 1.17 |
| Adults (15–59) | 1.06 | 0.98 | 1.15 |
| Children (<15) | 0.99 | 0.67 | 1.47 |
| Persistent mental disorders | 1.09 | 0.98 | 1.22 |
| Dementias | 1.12 | 0.96 | 1.32 |
| Schizophrenic disorders | 1.03 | 0.85 | 1.25 |
| Episodic mood disorders | 1.34 | 1.05 | 1.71 |
| Other nonorganic psychoses | 1.00 | 0.79 | 1.26 |
| Anxiety, dissociative and somatoform disorders | 1.01 | 0.76 | 1.32 |
| Depressive disorders | 0.95 | 0.72 | 1.24 |
| Transient mental disorders | 1.51 | 1.00 | 2.27 |
| Drug-related mental disorders | 1.13 | 1.00 | 1.27 |
| Alcohol-related mental disorders | 0.94 | 0.81 | 1.11 |
© 2018 by the authors. Licensee MDPI, Basel, Switzerland. This article is an open access article distributed under the terms and conditions of the Creative Commons Attribution (CC BY) license (http://creativecommons.org/licenses/by/4.0/).
Share and Cite
Chan, E.Y.Y.; Lam, H.C.Y.; So, S.H.W.; Goggins, W.B.; Ho, J.Y.; Liu, S.; Chung, P.P.W. Association between Ambient Temperatures and Mental Disorder Hospitalizations in a Subtropical City: A Time-Series Study of Hong Kong Special Administrative Region. Int. J. Environ. Res. Public Health 2018, 15, 754. https://doi.org/10.3390/ijerph15040754
Chan EYY, Lam HCY, So SHW, Goggins WB, Ho JY, Liu S, Chung PPW. Association between Ambient Temperatures and Mental Disorder Hospitalizations in a Subtropical City: A Time-Series Study of Hong Kong Special Administrative Region. International Journal of Environmental Research and Public Health. 2018; 15(4):754. https://doi.org/10.3390/ijerph15040754
Chicago/Turabian StyleChan, Emily Y. Y., Holly C. Y. Lam, Suzanne H. W. So, William B. Goggins, Janice Y. Ho, Sida Liu, and Phoebe P. W. Chung. 2018. "Association between Ambient Temperatures and Mental Disorder Hospitalizations in a Subtropical City: A Time-Series Study of Hong Kong Special Administrative Region" International Journal of Environmental Research and Public Health 15, no. 4: 754. https://doi.org/10.3390/ijerph15040754
APA StyleChan, E. Y. Y., Lam, H. C. Y., So, S. H. W., Goggins, W. B., Ho, J. Y., Liu, S., & Chung, P. P. W. (2018). Association between Ambient Temperatures and Mental Disorder Hospitalizations in a Subtropical City: A Time-Series Study of Hong Kong Special Administrative Region. International Journal of Environmental Research and Public Health, 15(4), 754. https://doi.org/10.3390/ijerph15040754

