An Extended Chemical Plant Environmental Protection Game on Addressing Uncertainties of Human Adversaries
Abstract
1. Introduction
2. Model Description
2.1. Baseline Models
2.1.1. Bayesian Stackelberg Security Games
2.1.2. The CPEP Game
2.2. Extended CPEP Model
2.2.1. Players
2.2.2. Strategies
2.2.3. Payoffs
2.2.4. Solution Concepts of the Extended CPEP Game
2.3. Robust Algorithm
2.3.1. COBRA()
2.3.2. Complexity
2.3.3. Learning Curve
- (i)
- The piecewise function:The piecewise function is a combination of different functions, namely, a polynomial function and an exponential fall function or a power law. The parameters in the function are constant arithmetic numbers. Moreover, the number of observations is denoted as m, while the observation cost is represented by .
- (ii)
- The exponential function:where the observation frequency m is a positive number and the observation cost is an arithmetic number.
- (iii)
- The power law function:For the sake of better illustration, an exemplified figure (Figure 1) of these learning curves for parameter is shown as below.
3. Case Study
3.1. Basic Settings
3.2. Results on Different Observational Conditions
3.3. Results on Different Rational Conditions
4. Discussion
5. Conclusions
- (i)
- The first originality is reshaping the CPEP game into a more realistic game-theoretic model form, and considering the effect of observation frequency and observation cost on reward matrices;
- (ii)
- The second originality is building uncertainties, such as bounded rationality, limited observation and reward uncertainty (i.e., different adversary’s types) into the extended CPEP game;
- (iii)
- The third originality is incorporating the learning curve with the robust game solver, COBRA, which offers a reasonable method to determine the value of alpha in COBRA.
Supplementary Materials
Acknowledgments
Author Contributions
Conflicts of Interest
References
- Kao, J.J.; Hsieh, M.R. Utilizing multiobjective analysis to determine an air quality monitoring network in an industrial district. Atmos. Environ. 2006, 40, 1092–1103. [Google Scholar] [CrossRef]
- Shao, C.; Yang, J.; Tian, X.; Ju, M.; Huang, L. Integrated environmental risk assessment and whole-process management system in chemical industry parks. Int. J. Environ. Res. Public Health 2013, 10, 1609–1630. [Google Scholar] [CrossRef] [PubMed]
- Tong, Z.; Zhang, K.M. The near-source impacts of diesel backup generators in urban environments. Atmos. Environ. 2015, 109, 262–271. [Google Scholar] [CrossRef]
- Chen, B.; Zhang, L.; Guo, G.; Qiu, X. KD-ACP: A software framework for social computing in emergency management. Math. Probl. Eng. 2015, 2015, 27. [Google Scholar] [CrossRef]
- Standing Committee of the Sixth National People’s Congress. Law of the People’s Republic of China on the Prevention and Control of Atmospheric Pollution. Environmental Policy Collection 2000. Available online: digital.library.unt.edu (accessed on 7 October 2009).
- Dalton, S.; Tierney, M. Collections: Earth and Environmental Science Collection Development Policy. Nyu Libraries 2007. Available online: digital.library.nyu.edu/collections/policies/envscien.html (accessed on 7 May 2015).
- Tambe Milind. Security and Game Theory: Algorithms, Deployed Systems, Lessons Learned; Cambridge University Press: New York, NY, USA, 2011. [Google Scholar]
- Zhu, Z.; Chen, B.; Reniers, G.; Zhang, L.; Qiu, S.; Qiu, X. Playing chemical plant environmental protection games with historical monitoring data. Int. J. Environ. Res. Public Health 2017, 14, 1155. [Google Scholar] [CrossRef] [PubMed]
- Simon, H.A. Rational choice and the structure of the environment. Psychol. Rev. 1956, 63, 129–138. [Google Scholar] [CrossRef] [PubMed]
- Pita, J.; Jain, M.; Ord, F.; Tambe, M.; Kraus, S.; Magori-Cohen, R. Effective solutions for real-world stackelberg games: When agents must deal with human uncertainties. In Proceedings of the 8th International Conference on Autonomous Agents and Multiagent Systems, Budapest, Hungary, 10–15 May 2009; International Foundation for Autonomous Agents and Multiagent Systems: Richland, SC, USA, 2009; pp. 369–376. [Google Scholar]
- Pita, J.; Jain, M.; Tambe, M.; Ordóñez, F.; Kraus, S. Robust solutions to stackelberg games: Addressing bounded rationality and limited observations in human cognition. Artif. Intell. 2010, 174, 1142–1171. [Google Scholar] [CrossRef]
- Tijs, S.H. Nash equilibria for noncooperative n-person games in normal form. SIAM Rev. 1981, 23, 225–237. [Google Scholar] [CrossRef][Green Version]
- Fox, C.R.; Rottenstreich, Y. Partition priming in judgment under uncertainty. Psychol. Sci. 2003, 14, 195–200. [Google Scholar] [CrossRef] [PubMed]
- Fox, C.R.; Clemen, R.T. Subjective probability assessment in decision analysis: Partition dependence and bias toward the ignorance prior. Manag. Sci. 2005, 51, 1417–1432. [Google Scholar] [CrossRef]
- See, K.E.; Fox, C.R.; Rottenstreich, Y.S. Between ignorance and truth: Partition dependence and learning in judgment under uncertainty. J. Exp. Psychol. Learn. Mem. Cogn. 2006, 32, 1385–1402. [Google Scholar] [CrossRef] [PubMed]
- McKelvey, R.D.; Palfrey, T.R. Quantal response equilibria for normal form games. Levine’s Work. Pap. Arch. 1995, 10, 6–38. [Google Scholar] [CrossRef]
- Wright, J.R.; Leyton-Brown, K. Beyond equilibrium: Predicting human behavior in normal-form games. In Proceedings of the Twenty-Fourth AAAI Conference on Artificial Intelligence (AAAI 2010), Atlanta, GA, USA, 11–15 July 2010; pp. 901–907. [Google Scholar]
- Yang, R.; Tambe, M.; Jain, M.; Kwak, J.-Y.; Pita, J.; Yin, Z. Game Theory and Human Behavior: Challenges in Security and Sustainability; Springer: Berlin/Heidelberg, Germany, 2011; pp. 320–330. [Google Scholar]
- Koller, D.; Milch, B. Multi-agent influence diagrams for representing and solving games. Game Econ. Behav. 2003, 45, 181–221. [Google Scholar] [CrossRef]
- Gal, Y.A.; Pfeffer, A. Networks of influence diagrams: A formalism for representing agents’ beliefs and decision-making processes. J. Artif. Int. Res. 2008, 33, 109–147. [Google Scholar] [CrossRef]
- Rios Insua, D.; Rios, J.; Banks, D. Adversarial risk analysis. J. Am. Stat. Assoc. 2009, 104, 841–854. [Google Scholar] [CrossRef]
- Reichenbach, D.J.; Tackett, A.D.; Harris, J.; Camacho, D.; Graviss, E.A.; Dewan, B.; Vavra, A.; Stiles, A.; Fisher, W.E.; Brunicardi, F.C.; et al. Laparoscopic colon resection early in the learning curve: What is the appropriate setting? Ann. Surg. 2006, 243, 730–737. [Google Scholar] [CrossRef] [PubMed]
- Wright, T.P. Factors affecting the cost of airplanes. J. Aeronaut. Sci. 1936, 3, 122–128. [Google Scholar] [CrossRef]
- Leitmann, G. On generalized stackelberg strategies. J. Optim. Theory Appl. 1978, 26, 637–643. [Google Scholar] [CrossRef]
- Conitzer, V.; Sandholm, T. Computing the optimal strategy to commit to. In Proceedings of the 7th ACM Conference on Electronic Commerce, Ann Arbor, MI, USA, 11–15 June 2006; pp. 82–90. [Google Scholar]
- Qiu, S.; Chen, B.; Wang, R.; Zhu, Z.; Wang, Y.; Qiu, X. Estimating contaminant source in chemical industry park using uav-based monitoring platform, artificial neural network and atmospheric dispersion simulation. RSC Adv. 2017, 7, 39726–39738. [Google Scholar] [CrossRef]
- Qiu, S.; Chen, B.; Zhu, Z.; Wang, Y.; Qiu, X. Source term estimation using air concentration measurements during nuclear accident. J. Radioanal. Nucl. Chem. 2016, 311, 165–178. [Google Scholar] [CrossRef]
- Wang, R.; Chen, B.; Qiu, S.; Zhu, Z.; Qiu, X. Data assimilation in air contaminant dispersion using a particle filter and expectation-maximization algorithm. Atmosphere 2017, 8, 170. [Google Scholar] [CrossRef]
- Qiu, S.; Chen, B.; Wang, R.; Zhu, Z.; Wang, Y.; Qiu, X. Atmospheric dispersion prediction and source estimation of hazardous gas using artificial neural network, particle swarm optimization and expectation maximization. Atmos. Environ. 2018, 178, 158–163. [Google Scholar] [CrossRef]
- Aghassi, M.; Bertsimas, D. Robust game theory. Math. Program. 2006, 107, 231–273. [Google Scholar] [CrossRef]
- Ordóñez, F.; Stier-Moses, N.E. Robust Wardrop Equilibrium; Springer: Berlin/Heidelberg, Germany, 2007; pp. 247–256. [Google Scholar]
- Ben-Tal, A.; Nemirovski, A. Robust optimization—Methodology and applications. Math. Program. 2002, 92, 453–480. [Google Scholar] [CrossRef]
- Bertsimas, D.; Nohadani, O.; Teo, K.M. Nonconvex robust optimization for problems with constraints. INFORMS J. Comput. 2010, 22, 44–58. [Google Scholar] [CrossRef]
- Tversky, A.; Koehler, D.J. Support theory: A nonextensional representation of subjective probability. Psychol. Rev. 1994, 101, 547–567. [Google Scholar] [CrossRef]
- Paruchuri, P.; Pearce, J.P.; Marecki, J.; Tambe, M.; Ordonez, F.; Kraus, S. Playing games for security: An efficient exact algorithm for solving bayesian stackelberg games. In Proceedings of the 7th International Joint Conference on Autonomous Agents and Multiagent Systems, Estoril, Portugal, 12–16 May 2008; International Foundation for Autonomous Agents and Multiagent Systems: Richland, SC, USA, 2008; pp. 895–902. [Google Scholar]
- Schacter, D.L.; Gilbert, D.T.; Wegner, D.M. Introducing Psychology; Worth: New York, NY, USA, 2011. [Google Scholar]
- Smith, L.; Sørensen, P.N. Observational learning. In The New Palgrave Dictionary of Economics; Palgrave Macmillan: London, UK, 2016; pp. 1–8. [Google Scholar]
- Smith, L.; Sørensen, P. Pathological outcomes of observational learning. Econometrica 2000, 68, 371–398. [Google Scholar] [CrossRef]
- Bryan, W.L.; Harter, N. Studies in the physiology and psychology of the telegraphic language. Psychol. Rev. 1897, 4, 27–53. [Google Scholar] [CrossRef]
- Bills, A.G. General Experimental Psychology; Longmans, Green and Co.: New York, NY, USA, 1934; pp. 620–637. [Google Scholar]
- Yelle, L.E. The learning curve: Historical review and comprehensive survey. Decis. Sci. 1979, 10, 302–328. [Google Scholar] [CrossRef]
- Spence, A.M. The learning curve and competition. Bell J. Econ. 1981, 12, 49–70. [Google Scholar] [CrossRef]
- Zhang, L.; Reniers, G.; Qiu, X. Playing chemical plant protection game with distribution-free uncertainties. Reliab. Eng.Syst. Saf. 2017, 7, 1–11. [Google Scholar] [CrossRef]





| Notation | Defender’s Strategy | Notation | Attacker’s Strategy |
|---|---|---|---|
| Defender | Close | ||
|---|---|---|---|
| Attacker | |||
| Release | , | , | |
| No release | , | ,0 | |
| Parameters | Value | Parameters | Value |
|---|---|---|---|
| 2 | 900 | ||
| 40 | 800 | ||
| 600 | −1600 | ||
| −350 | 24 | ||
| −400 | 0.5 | ||
| 0.1 | 2 | ||
| 1 | 2 | ||
| 5 | 6 |
| Learning Curve | Observation Number | Alpha | Def Strategy | Compliance Number | Def Payoff | Time |
|---|---|---|---|---|---|---|
| Piecewise function | m = 1 | 1 | (1, 0, 0, 0) | 0 | 205.9485 | 0.155 s |
| m = 2 | 0.97 | (1, 0, 0, 0) | 0 | 205.9485 | 0.099 s | |
| m = 3 | 0.88 | (1, 0, 0, 0) | 0 | 205.9485 | 0.130 s | |
| m = 4 | 0.0025 | (0.386, 0.307, 0.307, 0) | 24 | −13.8596 | 1073.5 s | |
| m = 5 | 3.3546 × 10−4 | (0.6926, 0, 0, 0.3074) | 24 | −13.8474 | 1460.7 s | |
| m = 6 | 4.5400 × 105 | (0.6925, 0, 0, 0.3075) | 24 | −13.8474 | 1568.3 s | |
| Exponential fall function | m = 1 | 1 | (1, 0, 0, 0) | 0 | 205.9485 | 0.183 s |
| m = 2 | 0.1353 | (0.434, 0.283, 0.283, 0) | 22 | −14.356 | 3097.9 s | |
| m = 3 | 0.0183 | (0.392, 0.304, 0.304, 0) | 24 | −13.9218 | 3604.8 s | |
| m = 4 | 0.0025 | (0.386, 0.307, 0.307, 0) | 24 | −13.8596 | 1085.5 s | |
| m = 5 | 3.3546 × 10−4 | (0.6926, 0, 0, 0.3074) | 24 | −13.8474 | 1473.6 s | |
| m = 6 | 4.5400 × 10−5 | (0.6925, 0, 0, 0.3075) | 24 | −13.8474 | 1580.7 s | |
| Power law function | m = 1 | 1 | (1, 0, 0, 0) | 0 | 205.9485 | 0.263 s |
| m = 2 | 0.25 | (0.478, 0.261,0.261, 0) | 20 | −10.629 | 822.56 s | |
| m = 3 | 0.1111 | (0.433, 0.2835, 0.2835,0) | 24 | −14.3312 | 2390.9 s | |
| m = 4 | 0.0625 | (0.41, 0.295, 0.295, 0) | 24 | −14.1067 | 4372.9 s | |
| m = 5 | 0.0400 | (0.7005, 0, 0, 0.2995) | 24 | −14.0104 | 1867.3 s | |
| m = 6 | 0.0278 | (0.698, 0, 0, 0.302) | 24 | −13.96 | 3908.3 s |
| Observation Number | Def Strategy | Def Payoff | Time |
|---|---|---|---|
| m = 1 | (0.562, 0.185, 0.185, 0.068) | −14.98797595 | 0.0223 s |
| m = 2 | (0.562, 0.185, 0.185, 0.068) | −14.98797595 | 0.0242 s |
| m = 3 | (0.562, 0.185, 0.185, 0.068) | −14.98797595 | 0.0100 s |
| m = 4 | (0.561975, 0.185019, 0.185019, 0.067987) | −14.988 | 0.0100 s |
| m = 5 | (0.561975, 0.185019, 0.185019, 0.067987) | −14.988 | 0.0089 s |
| m = 6 | (0.561975, 0.185019, 0.185019, 0.067987) | −14.988 | 0.0099 s |
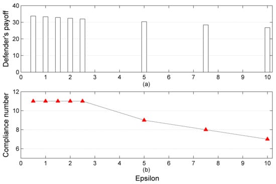
| Value of Epsilon | Def Strategy | Compliance Number | Def Payoff | Time |
|---|---|---|---|---|
| = 0.5 | (0.6358, 0.1821, 0.1821, 0) | 11 | 33.7456 | 466.3 s |
| = 1 | (0.6338, 0.1831, 0.1831, 0) | 11 | 33.3042 | 360.1 s |
| = 1.5 | (0.6317, 0.18415, 0.18415, 0) | 11 | 32.8629 | 259.8 s |
| = 2 | (0.6297, 0.18515, 0.18515, 0) | 11 | 32.4216 | 2669.1 s |
| = 2.5 | (0.6277, 0.1862, 0.1862, 0) | 11 | 31.9802 | 562.7 s |
| = 5 | (0.6172, 0.1914, 0.1914, 0) | 9 | 30.3536 | 675.8 s |
| = 7.5 | (0.6043, 0.19785, 0.19785, 0) | 8 | 28.4175 | 2347.2 s |
| = 10 | (0.5971, 0.20145, 0.20145, 0) | 7 | 26.7566 | 8157.8 s |
© 2018 by the authors. Licensee MDPI, Basel, Switzerland. This article is an open access article distributed under the terms and conditions of the Creative Commons Attribution (CC BY) license (http://creativecommons.org/licenses/by/4.0/).
Share and Cite
Zhu, Z.; Chen, B.; Qiu, S.; Wang, R.; Chen, F.; Wang, Y.; Qiu, X. An Extended Chemical Plant Environmental Protection Game on Addressing Uncertainties of Human Adversaries. Int. J. Environ. Res. Public Health 2018, 15, 609. https://doi.org/10.3390/ijerph15040609
Zhu Z, Chen B, Qiu S, Wang R, Chen F, Wang Y, Qiu X. An Extended Chemical Plant Environmental Protection Game on Addressing Uncertainties of Human Adversaries. International Journal of Environmental Research and Public Health. 2018; 15(4):609. https://doi.org/10.3390/ijerph15040609
Chicago/Turabian StyleZhu, Zhengqiu, Bin Chen, Sihang Qiu, Rongxiao Wang, Feiran Chen, Yiping Wang, and Xiaogang Qiu. 2018. "An Extended Chemical Plant Environmental Protection Game on Addressing Uncertainties of Human Adversaries" International Journal of Environmental Research and Public Health 15, no. 4: 609. https://doi.org/10.3390/ijerph15040609
APA StyleZhu, Z., Chen, B., Qiu, S., Wang, R., Chen, F., Wang, Y., & Qiu, X. (2018). An Extended Chemical Plant Environmental Protection Game on Addressing Uncertainties of Human Adversaries. International Journal of Environmental Research and Public Health, 15(4), 609. https://doi.org/10.3390/ijerph15040609

