Association of Overcrowding and Turnover with Self-Harm in a Swiss Pre-Trial Prison
Abstract
:1. Introduction
2. Materials and Methods
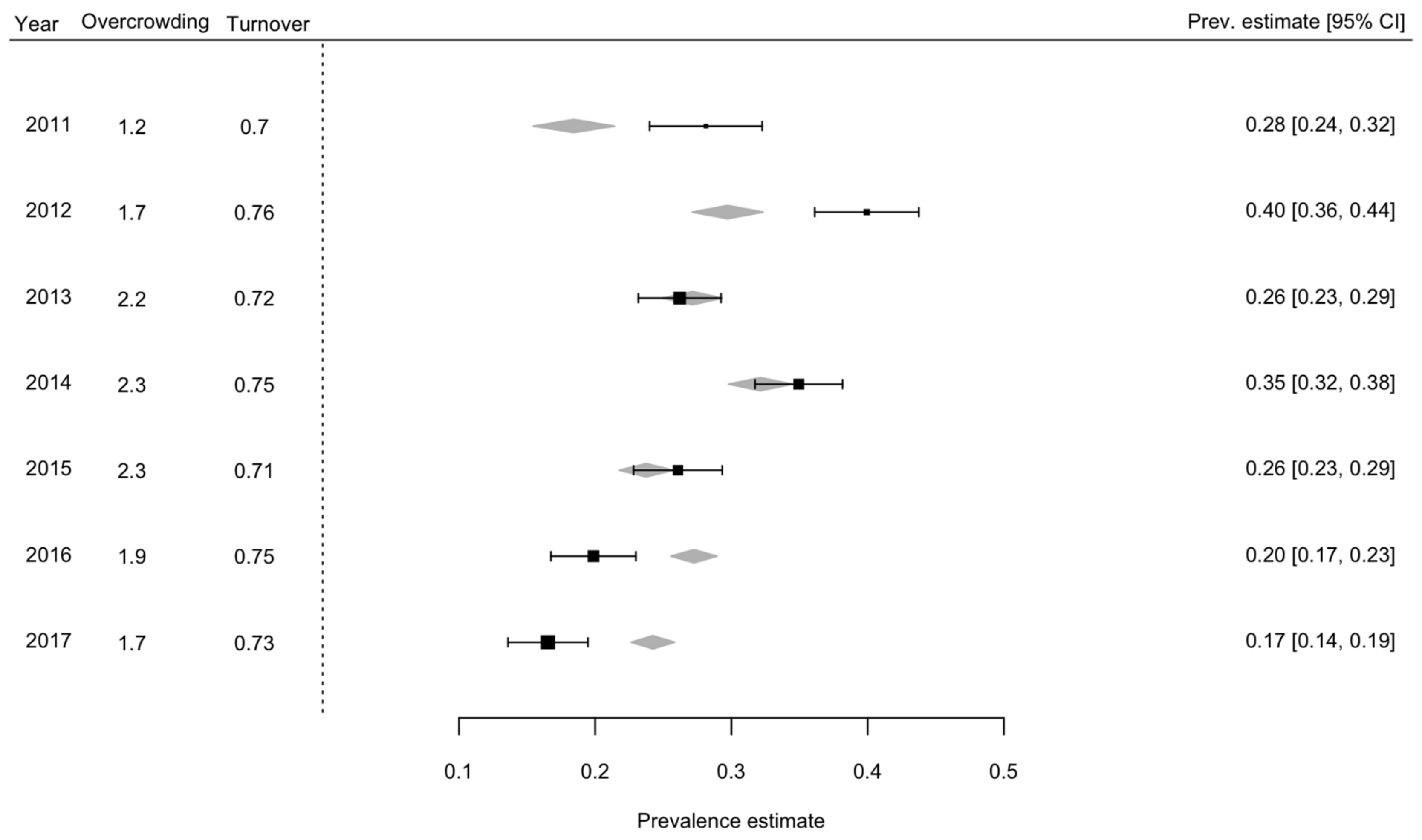
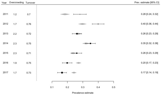
3. Results
4. Discussion
5. Conclusions
Author Contributions
Conflicts of Interest
References
- Fazel, S.; Wolf, A.; Geddes, J.R. Suicide in prisoners with bipolar disorder and other psychiatric disorders: A systematic review. Bipolar Disord. 2013, 15, 491–495. [Google Scholar] [CrossRef] [PubMed]
- Hawton, K.; Linsell, L.; Adeniji, T.; Sariaslan, A.; Fazel, S. Self-harm in prisons in england and wales: An epidemiological study of prevalence, risk factors, clustering and subsequent suicide. Lancet 2014, 383, 1147–1154. [Google Scholar] [CrossRef]
- Bartlett, A.; Frater, A.; Hyde, S. Suicide and the criminal justice system: A more complete picture. Lancet Psychiatry 2018, 5, 106–107. [Google Scholar] [CrossRef]
- Fazel, S.; Ramesh, T.; Hawton, K. Suicide and the criminal justice system: A more complete picture—Authors’ reply. Lancet Psychiatry 2018, 5, 107. [Google Scholar] [CrossRef]
- Fazel, S.; Ramesh, T.; Hawton, K. Suicide in prisons: An international study of prevalence and contributory factors. Lancet Psychiatry 2017, 4, 946–952. [Google Scholar] [CrossRef]
- Fruehwald, S.; Frottier, P.; Ritter, K.; Eher, R.; Gutierrez, K. Impact of overcrowding and legislational change on the incidence of suicide in custody experiences in austria, 1967–1996. Int. J. Law Psychiatry 2002, 25, 119–128. [Google Scholar] [CrossRef]
- Huey, M.P.; McNulty, T.L. Institutional conditions and prison suicide: Conditional effects of deprivation and overcrowding. Prison J. 2005, 85, 490–514. [Google Scholar] [CrossRef]
- Leese, M.; Thomas, S.; Snow, L. An ecological study of factors associated with rates of self-inflicted death in prisons in england and wales. Int. J. Law Psychiatry 2006, 29, 355–360. [Google Scholar] [CrossRef] [PubMed]
- Preti, A.; Cascio, M.T. Prison suicides and self-harming behaviours in italy, 1990–2002. Med. Sci. Law 2006, 46, 127–134. [Google Scholar] [CrossRef] [PubMed]
- Rabe, K. Prison structure, inmate mortality and suicide risk in europe. Int. J. Law Psychiatry 2012, 35, 222–230. [Google Scholar] [CrossRef] [PubMed]
- Wolff, H.; Casillas, A.; Perneger, T.; Heller, P.; Golay, D.; Mouton, E.; Bodenmann, P.; Getaz, L. Self-harm and overcrowding among prisoners in geneva, switzerland. Int. J. Prison Health 2016, 12, 39–44. [Google Scholar] [CrossRef] [PubMed]
- Aday, L.A. Health status of vulnerable populations. Annu. Rev. Public Health 1994, 15, 487–509. [Google Scholar] [CrossRef] [PubMed]
- Borschmann, R.; Young, J.T.; Moran, P.A.; Spittal, M.J.; Kinner, S.A. Self-harm in the criminal justice system: A public health opportunity. Lancet Public Health 2018, 3, e10–e11. [Google Scholar] [CrossRef]
- Slade, K.; Edelman, R. Can theory predict the process of suicide on entry to prison? Crisis 2014, 35, 82–89. [Google Scholar] [CrossRef] [PubMed]
- van Ginneken, E.F.J.C.; Sutherland, A.; Molleman, T. An ecological analysis of prison overcrowding and suicide rates in england and wales, 2000–2014. Int. J. Law Psychiatry 2017, 50, 76–82. [Google Scholar] [CrossRef] [PubMed]
- Aebi, M.F.; Tiago, M.M.; Burkhardt, C. Space I—Council of Europe Annual Penal Statistics: Prison Populations. Survey 2015; Council of Europe & University of Lausanne: Strasbourg, France, 2016. [Google Scholar]
- Viechtbauer, W.; Viechtbauer, M.W. Package ‘metafor’. Available online: https://cran.r-project.org/web/packages/metafor/metafor.pdf (accessed on 28 February 2018).


| Variables | Self-Harm | |
|---|---|---|
| b | p-Value | |
| Intercept | −0.778 | <0.001 |
| Overcrowding index | 0.068 | <0.001 |
| Turnover ratio | 1.266 | <0.001 |
© 2018 by the authors. Licensee MDPI, Basel, Switzerland. This article is an open access article distributed under the terms and conditions of the Creative Commons Attribution (CC BY) license (http://creativecommons.org/licenses/by/4.0/).
Share and Cite
Baggio, S.; Gétaz, L.; Tran, N.T.; Peigné, N.; Chacowry Pala, K.; Golay, D.; Heller, P.; Bodenmann, P.; Wolff, H. Association of Overcrowding and Turnover with Self-Harm in a Swiss Pre-Trial Prison. Int. J. Environ. Res. Public Health 2018, 15, 601. https://doi.org/10.3390/ijerph15040601
Baggio S, Gétaz L, Tran NT, Peigné N, Chacowry Pala K, Golay D, Heller P, Bodenmann P, Wolff H. Association of Overcrowding and Turnover with Self-Harm in a Swiss Pre-Trial Prison. International Journal of Environmental Research and Public Health. 2018; 15(4):601. https://doi.org/10.3390/ijerph15040601
Chicago/Turabian StyleBaggio, Stéphanie, Laurent Gétaz, Nguyen Toan Tran, Nicolas Peigné, Komal Chacowry Pala, Diane Golay, Patrick Heller, Patrick Bodenmann, and Hans Wolff. 2018. "Association of Overcrowding and Turnover with Self-Harm in a Swiss Pre-Trial Prison" International Journal of Environmental Research and Public Health 15, no. 4: 601. https://doi.org/10.3390/ijerph15040601
APA StyleBaggio, S., Gétaz, L., Tran, N. T., Peigné, N., Chacowry Pala, K., Golay, D., Heller, P., Bodenmann, P., & Wolff, H. (2018). Association of Overcrowding and Turnover with Self-Harm in a Swiss Pre-Trial Prison. International Journal of Environmental Research and Public Health, 15(4), 601. https://doi.org/10.3390/ijerph15040601

