Abstract
The characterization of the concentrations and sources of metals and metalloids in soils is necessary to establish quality standards on a regional level and to assess the potential threat of metals to food safety and human health. A total of 8713 soil samples throughout Hainan Island, China were collected at a density of one sample per 4 km2, and concentrations of As, Cd, Cr, Cu, Hg, Ni, Pb, Se, and Zn were analyzed. The geometric mean values of the elements were 2.17, 0.60, 26.5, 9.43, 0.033, 8.74, 22.2, 0.26, and 39.6 mg·· kg−1 for As, Cd, Cr, Cu, Hg, Ni, Pb, Se, and Zn, respectively, significantly lower than the background values of Chinese soils with the exception of Se. Principal component analysis (PCA) suggested that multiple anthropogenic sources regulated the elemental compositions of the Hainan environment. Coal combustion and mining are important anthropogenic sources of metals for Hainan. The geochemical maps of elements in Hainan soils were produced using the Geographic Information System (GIS) method, and several hot-spot areas were identified. The ecological impact of As, Cd, Cu, Cr, Hg, Pb, Ni, and Zn pollution to the soils was extremely “low”.
1. Introduction
With the rapid industrial development, population expansion, and insufficiency of pollution control, soil trace metal contamination is increasingly becoming a global problem at private as well as governmental levels, especially as soils constitute a crucial component of rural and urban environments [1,2] which can be considered as an important “ecological crossroad” in the landscape [3,4]. Trace metals in soils and dusts can be accumulated in the human body via direct inhalation, ingestion, and dermal contact absorption [5,6,7,8] or via the soil-crop system [9,10]. The anthropogenic sources of metals include traffic emission, industrial and domestic emission, atmospheric deposition, mining, waste disposal, sewage, pesticides, and fertilizers [11,12,13,14]. Without proper management, abandoned mines will cause more serious environmental impacts compared with active mines [15]. Consumption of food crops growing in contaminated area is one of the important sources of human exposure to metals in mining areas [16,17,18].
Depending on the different counties and different geological backgrounds, the regulations on soil metal contents at the national and international levels are quite different. Compared with the background values of Chinese soils [19], the class I value of the Environmental Quality Standard for Soils in China [20] were quite rigorous when compared with other international regulations on soil metal, such as the Values for soil remediation proposed by Dutch Ministry of Housing [21] and Canadian Soil Quality Guidelines for the Protection of Environmental and Human Health [22].
Hainan Island, located in the southernmost part of China, is one of the least polluted regions in the country [23]. However, in recent decades, this once-clean region has received notable anthropogenic pollutant inputs, especially metal/metalloids pollutants. On Hainan Island, there are three types of ecosystems including urban, agricultural, and mining areas. In our study, metals and metalloids in the soils of different ecosystems from Hainan Island were studied for the purpose of monitoring the impact of human activities on the ecosystems.
2. Materials and Methods
2.1. Study Area
The study area (Figure 1), Hainan Island, is located in southern China (18°10′–20°10′ N, 108°37′–111°03′ E) and covers 33,920 km2 of land area. The terrain in the east is higher than that of the west. The step-like landforms are prominent with a succession of littoral plain, terrace, platform, hill, low mountain, and middle mountain from east to west. The central mountain of the Five Finger Mountain is the highest one on the island with an altitude of 1867 m above sea level. The island has a semi-arid tropical monsoon climate, which has obvious dry seasons and wet seasons. The climate in this area is tropical monsoon with an average annual rainfall of 1600–2500 mm and average annual temperatures of 23–25 °C [24].

Figure 1.
Location of the sampling sites.
2.2. Sample Collection and Analysis
A total of 8713 soil samples (0–20 cm) (Figure 1) were collected from Hainan Island. Sampling was based on the specifications of the National Multi-Purpose Regional Geochemical Survey carried out by China Geological Survey (CGS) in 2005. About 1 kg was collected from a 4 × 4 km grid, and each sample consisted of about four subsamples from the sample plot. Samples were collected using a stainless-steel hand auger, which was plated with a Teflon coating. The coordinates of the sample locations were recorded with a portable Global Positioning System (GPS), and the sampling sites are shown in Figure 1. The soil types of our 8713 samples included coastal sandy soil, coastal saline soil, latosolic red soil, yellow soil, volcanic ash soil, chisley soil, paddy soil, alluvial soil, dry red soil, latosol, and purple soil. The mean pH value of the study area was 5.52 ± 0.74, with maximum and minimum values of 9.10 and 3.47, respectively.
All samples were air-dried at room temperature (20–25 °C) and then sieved to 2 mm to remove large plant roots and gravel-sized materials before analysis. Concerning chemical analysis of Hg and As, 0.1–0.3 g of each sample were digested at 95 °C in a water bath for 3 h using 5 mL aquaregia (a mixture of HCl and HNO3 at 3:1 v/v). An appropriate aliquot of the digest was analyzed using cold vapor atomic fluorescence spectrophotometry (CVAFS; for Hg, Tekran Model 2500, Tekran Instruments Corp., Knoxville, TN, USA; for As, AFS-920, Beijing Jitian Instrument Corp., Beijing, China).
For Se digestion, subsamples (approximately 0.05 g) were accurately weighed into Teflon tubes. Concentrated nitric acid (3 mL of sub-distilled, 16 mol·L−1) and concentrated hydrofluoric acid (0.5 mL of sub-distilled, 23 mol·L−1) were added to each tube. After 3 h, the closed tubes were heated for 8 h at 155 °C in an oven. After cooling, 2 mL of H2O2 (30%) were added and the solution recapped and heated for 45 min at 90 °C. Each digest solution was then transferred into a 15 mL Polyfluoroalkoxy (PFA) container and evaporated on a hot plate at 90 °C to near dryness. Selenium in each digest solution was transformed into Se (IV) by adding 2.4 mL of 5 mol·L−1 HCl (ultrapure grade) followed by incubation at 95–100 °C for 45 min. Each solution was finally diluted to 16 mL with ultrapure water (Milli-Q Reference Ultra Water Purification System, MILLIPORE, France). The total Se concentration of the plant and soil digest solutions was quantified using an atomic fluorescence spectrometer (AFS) equipped with a sequential injection hydride generation (HG) sampling system (AFS-920, Beijing Jitian Instrument Corporation, Beijing, China).
For the analysis of remaining trace metal/metalloids, a wet digestion procedure was used coupled with inductively coupled plasma-mass spectrometry (ICP-MS, ELAN DRC-e, PerkinElmer Inc., Montreal, QC, Canada). Briefly, 50 mg of sample were digested using 1 mL of HF and 1 mL of HNO3 in the Poly tetra fluoroethylene (PTFE)-lined stainless-steel bombs heated to 190 °C for 24 h. Insoluble residues were dissolved using 6 mL of 40% v/v HNO3 heated to 140 °C for 5 h. After cooling down, about 0.4 mL of the digest was transferred to a centrifuge tube, and 500 ng rhodium in liquid solution was added. Then, Milli-Q water was added to reach a total volume of approximately 10 mL. Rhodium was used as an internal standard to correct for matrix effects and instrumental drift. All the reagents used were trace metal grade.
Quality assurance and quality control were determined by method blanks, duplicates, and certified reference materials (CRM) (sediment and soil CRM: GBW07305, GBW07405, and NIST 2710). Recovery from CRM sediment (GBW07305) was between 99% and 102%, from CRM soil (GBW07405) between 92% and 107% and from CRM soil (NIST 2710) between 95% and 106%. The relative percentage difference was less than 8% for duplicate samples. The Hg concentration in solution was determined using the dual-stage gold amalgamation method and cold vapor atomic fluorescence spectrometry (CVAFS) detection. The limit of detection (LOD) was 0.013 ng·g−1. The total Se concentration of the plant and soil digest solutions was quantified using an atomic fluorescence spectrometer (AFS) equipped with a sequential injection hydride generation (HG) sampling system (Beijing Titan Instrumentals Co. Ltd., Beijing, China). The limit of detection (LOD) was 0.2 μg·L−1. The other trace metal/metalloids were analyzed by a wet digestion procedure coupled with inductively coupled plasma-mass spectrometry (ICP-MS, ELAN DRC-e, PerkinElmer Inc., Montreal, QC, Canada). The limits of detection of the different elements were lower than 1 μg·L−1.
2.3. Statistical Analysis
The statistical analysis of data was performed using the statistical package Statistical Product and Service Solutions (SPSS) 15.0 for Windows (SPSS Inc., New York, NY, USA). The methods included one-way analysis of variance (ANOVA), Mann-Whitney test, and principal component analysis (PCA). Statistical significance was determined at alpha = 0.05. Nonparametric tests were conducted to determine the differences. A geochemical map was developed using GIS (MapGis 6.7, Zondy Cyber Group Co., Ltd., Wuhan, China).
2.4. Potential Ecological Risk Assessment
The method of potential ecological risk assessment was first introduced by Håkanson [25,26] and has been widely applied to pollution assessment of sediment and soil [27]. Håkanson’s method is based on the hypothesis that an ecological risk index for toxic substances should account for the following requirements: (1) the potential ecological risk index (RI) increases with an increase in metal(loid) pollution in the substrate; (2) the potential for causing ecological harm of different metal(loid)s in the substrate have synergistic effects, and the potential risk of the resultant synergistic damage shall be more serious; and (3) the toxicity response of each element varies, and those metal(loid)s exerting greater toxicity shall play a larger role in the RI. Hence, the process integrates concentration and ecological toxicity of different pollutants and then gives a potential ecological risk index for the study area, as shown in
where RI is the potential ecological risk index for the study area; Ei is the potential ecological risk factor for a given pollutant (i); Ti is the “toxic-response” factor for a given pollutant as calculated by Håkanson [26] and Xu et al. [28], i.e., Hg = 40, Cd = 30, As = 10, Pb = Cu = Ni = 5, Cr = 2, Zn = 1; and Ci is the ratio of metal(loid) concentration in the soil to the corresponding background in Chinese soils. The RI index is divided into four levels according to Håkanson’s [26] method, namely, RI < 150, low ecological risk for the study area; 150 ≤ RI < 300, moderate ecological risk for the study area; 300 ≤ RI < 600, considerable ecological risk for the study area; RI > 600, very high ecological risk for the study area.
3. Results and Discussion
3.1. Concentrations of Metal(loid)s
The concentrations of metal(loid)s in the soils in Hainan and their descriptive statistical results are listed in Table 1. The results of the P-P test showed that As, Cd, Cr, Cu, Hg, Ni, Pb, Se, and Zn concentrations fit a lognormal distribution. The geometric mean values were adopted for analyses. The metal(loid)s showed a wide variety of concentrations. The geometric mean concentrations of As, Cd, Cr, Cu, Hg, Ni, Pb, Se, and Zn were 2.17, 0.06, 26.5, 9.43, 0.033, 8.74, 22.2, 0.26, and 39.6 mg kg−1, respectively, which were significantly lower than the background values of Chinese soils [19,29], except for Se. Compared with the values for soil remediation proposed by the Dutch Ministry of Housing, Spatial Planning and Environment [21] and Canadian Soil Quality Guidelines for the Protection of Environmental and Human Health for Residential [22], the geometric mean contents of all the seven elements were much lower than the two guidelines. However, it should be noted that the concentrations of metals in substantial soil samples (As 6.4%, Cd 4.9%, Cr 15.6%, Cu 13.0%, Hg 1.3%, Ni 14.1%, Pb 21.0%, Zn 10.8%) of Hainan are higher than the first grade of the soil standard of China [20]. The anthropogenic inputs might be responsible for the presence of these elements in soils.
Table 1.
Statistics of studied elements (mg·kg−1) in soils (0–20 cm) of Hainan Island.
The geometric means of the elements of various soil types of Hainan Island are given in Table 2 and indicate that the means of most of the nine trace metal/metalloids in coastal saline soil are the lowest, except for Cr, Hg, and Ni. The means of most elements in dry red soil are the next lowest; while volcanic ash soil has the highest mean values for most of elements, except for As, Cd, Hg, Pb, and Se. The chisley soil has the second highest mean values for most elements. The highest As geometric mean was observed in yellow soil, and the highest Pb geometric mean was found in latosolic red soil. In general, the sequence of elemental mean values by soil order is: volcanic ash soil > chisley soil > yellow soil ≈ latosolic red soil > latosol > paddy soil > alluvial soils > purple soil > coastal sandy soil < dry red soil < coastal saline soil.
Table 2.
Geometrical means of elements in soils (0–20 cm) of Hainan Island of different soil types (means are mg·kg−1).
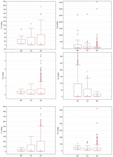
Based on the main human activities and different land usage functions, three types of ecosystems were selected in this study: agricultural ecosystem (AE), mining ecosystem (ME), and city ecosystem (CE). As shown in Figure 2, the mean concentrations of metal(loid)s in ME decreased in the order of As > Zn > Pb > Cr > Cu > Ni > Se > Cd > Hg, which were 95.05, 66.24, 38.85, 29.80, 20.11, 12.20, 0.29, 0.23, and 0.13 mg·kg−1, respectively. Two independent sample tests (Mann-Whitney U) showed that the concentrations of As, Cd, Hg, Pb, and Zn in ME were significantly higher than those in the other two types of ecosystem (p < 0.05). For the other two types of ecosystems, tests on several independent samples (Kruskal-Wallis H) were conducted, and the result indicated that only the concentrations of Hg showed significant differences between AE and CE. The mean value of Hg in CE (0.085 mg·kg−1) was significantly higher than that in AE (0.041 mg·kg−1), indicating an obvious accumulation of Hg in CE.


Figure 2.
Box-and whisker plots of As, Cd, Cu, Cr, Hg, Pb, Ni, Se, and Zn in soils under different patterns of ecosystem. ME = mining ecosystem; CE = city ecosystem; AE = agricultural ecosystem.
3.2. Source Identification
From the descriptive statistical analysis, the elevated concentrations of As, Cd, Hg, Pb, and Zn in ME and Hg in CE might indicate anthropogenic sources of these elements. However, the trace metals in agricultural ecosystems were lower than or approximately equal to the background values of Chinese soils, suggesting less influence from anthropogenic activities (a natural origin). Principal component analysis (PCA) is a useful method to identify anthropogenic pollution sources in different ecosystem settings (Table 3, Ba, Co, Fe, S, Sb, and V are not published date).
Table 3.
Rotated factor loadings (varimax normalized) of selected metals in CE samples (n = 168) and ME samples (n = 83).
For CE, three factors, with eigen values > 1, have a cumulative variance of more than 73%. Principal component (PC3) exhibits high loading for Cd and S with a maximum contribution of 13.67% of total variance. In addition, Hg has a higher loading (0.366) in these three factors. Mercury, Cd, and S in PC3 may be an indicator of the coal combustion source since the coal burning emission was regarded as an important source of Hg and S in an urban environment [30,31]. The coal combustion accounted for 33.4% of all energy consumption in 2011 in Hainan [32]. PC1, dominated by Co, Cr, Cu, Fe, Ni, V, and Zn, accounts for 37.4% of the total variance. PC2 is dominated by As, Ba, and Pb, accounting for 22.12% of the total variance. Compared with background values of Chinese soils, As, Cd, Cr, Cu, Ni, Pb, Se, and Zn have concentrations approximate to their corresponding background values, while mercury has extremely elevated concentrations in CE. So, PC1 and PC2 indicate a natural origin.
For ME, three factors are obtained with eigenvalues >1, cumulatively contributing to 78.01% of total variance. The overwhelming 39.05% of the total variance is contributed by PC1, showing higher loadings for Co, Cr, Cu, Fe, Ni, Se, and V. These metals in PC1 may indicate the influence of iron/steel smelting and processing activities because they are the principal industries in the studied area [32,33]. PC2 contributes As, Hg, Pb, S, and Sb at 27.45% total variance. The association of the trace metals of Pb, Hg, S, Sb, and As in PC2 is likely related to the influence of coal combustion in smelting production or other activities [31,34,35,36]. The PC3, with a variance of 11.51%, represented by Zn, Cd, and Ba, may be an indicator of traffic emission sources. Ba was normally regarded as a marker for automobile exhaust [37]. Zn can originate from the wear and tear of vulcanized vehicle tires and corrosion of galvanized automobile parts [38].
For AE, concentrations of the metals in most samples are slightly higher than, or close to, their corresponding background values in Chinese soils. This suggests that these metals in Hainan soils mainly originated from nature.
Overall, PCA suggested that multiple anthropogenic sources regulated the elemental compositions of the Hainan environment [39].
3.3. Spatial Distributions and Risk Assessment
The soil pollution maps of metals including As, Cd, Cu, Cr, Hg, Pb, Ni, Zn, and Se were generated using GIS [40,41,42]. The results of the elements are shown in Figure 3. The spatial distributions of metals such as Cr, Cu, Ni, and Zn in soils were similar in Hainan soils with high concentrations in the northeast area of Hainan (a hook shaped distribution). However, Cu was not in the same factor in the statistical PCA results. Copper, Cr, Hg, and Zn may originate from different sources and most probably from anthropogenic inputs. Moreover, the spatial distribution of As and Cd (see Figure 3) was distinctly different from that of the trace elements such as Cu, Cr, Hg, Pb, Zn, and Se. High concentrations of As and Cd were mainly found to be dispersed. Furthermore, the spatial distribution of Pb appeared to have a few hotspots of high concentrations but generally had low estimated metal concentrations throughout the majority of the Hainan area, while the distribution of Se had more areas of high metal concentrations that were located near the high values of Cr, Cu, Hg, and Zn. Therefore, as discussed above, As, Cd, Pb, and Se may be attributed to the inputs from natural sources.

Figure 3.
Spatial distribution of As, Cu, Cr, Pb, Ni, Se, Zn (mg kg−1), Cd, and Hg (μg kg−1) and risk index (RI) in soils of Hainan Island.
The study area was highly enriched with some elements, including As, Cd, Cu, Cr, Hg, Pb, Ni, and Zn. Potential ecological risk index (RI) was used to assess the degree of trace metal pollution in soils (Figure 3). In general, the range of RI spanned from 6.84 to 3635, with a mean value of 99.22 for the whole area. The relatively high pollution areas were mainly located in Changmai County (northeast) and Changjiang County (west). This may be related to the local mining and smelting (where the counties are located near the mining site). The ecological impact of As, Cd, Cu, Cr, Hg, Pb, Ni, and Zn pollution to the soils was overwhelmingly “low”, with 85.9% samples feathered with low ecological risk, 12.3% moderate ecological risk, 1.45% considerable ecological risk, and 0.36% very high ecological risk.
For different ecosystems, RI in ME is the highest (mean: 346.0), followed by CE (mean: 144.5), and in AE, RI is lowest (mean: 95.9), which can be regarded as a low ecological risk for agriculture. For ME, about 55.4% of soils samples were feathered with moderate or even high ecological risk. For CE, only 5.9% of soil samples were feathered with considerable ecological risk.
The contribution of different elements to the potential ecological risk index (RI) decreased in the following order: Hg (40.9) > Cd (32.0) > Pb (5.5) > Ni > As > Cu > Cr > Zn for AE; Hg (85.1) > Cd (36.6) > As (5.7) > Pb > Ni > Cu > Cr > Zn for CE; and Hg (130.1) > As (103.3) > Cd (94.6) > Pb (8.2) > Cu > Ni > Cr > Zn for ME. For the three ecosystems, mercury and Cd are the main pollutants impacting on human health. Furthermore, for ME, the pollution of As cannot be ignored.
4. Conclusions
The results obtained in this work offered relevant information on the distribution, sources, and extent of metal and metalloid element accumulation in soils of Hainan Island. The trace metal and metalloid concentrations were mostly within lognormal ranges.
Compared with the background values of Chinese soils, the geometric mean concentrations of trace metals were significantly lower, while the geometric mean value of Se was higher. In addition, it should be noted that the trace metal concentrations in soils of Hainan are generally higher (As 6.4%, Cd 4.9%, Cr 15.6%, Cu 13.0%, Hg 1.3%, Ni 14.1%, Pb 21.0%, Zn 10.8%,) than the first grade of the standard.
There is indeed serious pollution of As, Cd, Hg, Pb, and Zn in ME and a mild pollution problem for the other two types of ecosystem. Variation in the element concentrations in soils of Hainan Island have both natural and anthropogenic origins. PCA suggested that multiple anthropogenic sources regulated the elemental compositions of the Hainan environment. Coal combustion and mining are large anthropogenic sources for Hainan. The geochemical maps of elements in Hainan soils were produced using the GIS method, and several hot-spot areas were identified. The ecological impact of As, Cd, Cu, Cr, Hg, Pb, Ni, and Zn pollution to the soils was extraordinarily “low”.
In addition, the ecological and health implications of these findings should be considered in future investigations and provide a basis for effectively targeting policies to protect soils from long-term trace metal accumulation.
Acknowledgments
This study was funded by the National Natural Science Foundation of China (Grant Nos. 41773146, 41273144, and 41473121). This work was also supported by the Chinese Academy of Sciences through the Hundred Talent Plan (Yin Runsheng) and was supported by the China Geological Survey (2006010002).
Author Contributions
Guangyi Sun and Xiangjun Liao conceived and designed the experiments; Zhonggen Li, Lihai Shang, Yangrong Fu, Yusheng He, and Yi Yang performed the experiments; Guangyi Sun and Xiangjun Liao analyzed the data; Xiangjun Liao contributed reagents/materials/analysis tools; Chao Zhang and Xiangjun Liao wrote the paper.
Conflicts of Interest
The authors declare no conflict of interest.
References
- USDA (United States Department of Agriculture Natural Resources Conservation Soils Quality Institute). Urban Technical Note; USDA: Washington, DC, USA, 2001.
- Rahman, S.H.; Khanam, D.; Tanveer, M.A.; Islam, M.S.; Ahsan, M.A.; Akbor, M.A. Assessment of heavy metal contamination of agricultural soil around Dhaka export processing zone (DEPZ), Bangladesh: Implication of seasonal variation and indices. Appl. Sci. 2012, 2, 584–601. [Google Scholar] [CrossRef]
- Thuy, H.T.T.; Tobschall, H.J.; An, P.V. Distribution of heavy metals in urban soils—A case study of Danang-Hoian area (Vietnam). Environ. Geogr. 2000, 39, 603–610. [Google Scholar] [CrossRef]
- Abrahams, P.W. Soils: Their implications to human health. Sci. Total Environ. 2002, 291, 1–32. [Google Scholar] [CrossRef]
- De Miguel, E.; De Grado, M.J.; Llamas, J.F.; Martín-Dorado, A.; Mazadiego, L.F. The overlooked contribution of compost application to the trace elements in playgrounds in Madrid (Spain). Sci. Total Environ. 1998, 215, 113–122. [Google Scholar] [CrossRef]
- Madrid, L.; Díaz-Barrientos, F.; Madrid, F. Distribution of heavy metal contents of urban soils in parks of Seville. Chemosphere 2002, 49, 1301–1308. [Google Scholar] [CrossRef]
- Meza-Montenegro, M.M.; Gandolfi, A.J.; Santana-Alcántar, M.E.; Klimecki, W.T.; Aquilar-Apodaca, M.G.; Del Río-Salas, R.; De la O-Villanueva, M.; Gómez-Alvarez, A.; Mendivil-Quijada, H.; Valencia, M.; et al. Metals in residential soils and cumulative risk assessment in Yaqui and Mayo agricultural valleys, northern Mexico. Sci. Total Environ. 2012, 433, 472–481. [Google Scholar] [CrossRef] [PubMed]
- Sun, G.Y.; Li, Z.G.; Bi, X.Y.; Chen, Y.P.; Lu, S.F.; Yuan, X. Distribution, sources and health risk assessment of mercury in kindergarten dust. Atmos. Environ. 2013, 73, 169–176. [Google Scholar] [CrossRef]
- Liu, W.X.; Shen, L.F.; Liu, J.W.; Wang, Y.W.; Li, S.R. Uptake of toxic heavy metals by rice (Oryza sativa L.) cultivated in the agricultural soils near Zhengzhou City. People’s Republic of China. Bull. Environ. Contam. Toxicol. 2007, 79, 209–213. [Google Scholar] [CrossRef] [PubMed]
- Sun, G.Y.; Chen, Y.P.; Bi, X.Y.; Yang, W.; Chen, X.S.; Zhang, B.; Cui, Y.J. Geochemical assessment of agricultural soil: A case study in Songnen-Plain (Northeastern China). Catena 2013, 111, 56–63. [Google Scholar] [CrossRef]
- Sezgin, N.; Ozcan, H.K.; Demir, G.; Nemlioglu, S.; Bayat, C. Determination of heavy metal concentrations in street dusts in Istanbul E-5 highway. Environ. Int. 2003, 29, 979–985. [Google Scholar] [CrossRef]
- Montagne, D.; Cornu, S.; Bourennane, H.N.; Baize, D.; Ratié, C.; King, D. Effect of agricultural practices on trace-element distribution in soil. Commun. Soil Sci. Plant Anal. 2007, 38, 473–491. [Google Scholar] [CrossRef]
- Li, Y.; Gou, X.; Wang, G.; Zhang, Q.; Su, Q.; Xiao, G. Heavy metal contamination and source in arid agricultural soils in central Gansu province, China. J. Environ. Sci. 2008, 20, 607–612. [Google Scholar] [CrossRef]
- Morton-Bermea, O.; Hernández-Alvarez, E.; González-Hernández, G.; Romero, F.; Lozano, R.; Beramendi-Orosco, L.E. Assessment of heavy metal pollution in urban topsoils from the metropolitan area of Mexico City. J. Geochem. Explor. 2009, 101, 218–224. [Google Scholar] [CrossRef]
- Ji, K.; Kim, J.K.; Lee, M.J.; Park, S.Y.; Kwon, H.J.; Cheong, H.K.; Jang, J.Y.; Kim, D.S.; Yu, S.; Kim, Y.W.; et al. Assessment of exposure to heavy metals and health risks among residents near abandoned metal mines in Goseong, Korea. Environ. Pollut. 2013, 178, 322–328. [Google Scholar] [CrossRef] [PubMed]
- Liu, H.; Probst, A.; Liao, B. Metal contamination of soils and crops affected by the Chenzhou lead/zinc mine spill (Hunan, China). Sci. Total Environ. 2005, 339, 153–166. [Google Scholar] [CrossRef] [PubMed]
- Kim, S.; Cho, Y.M.; Choi, S.H.; Kim, H.J.; Choi, J. The effect of exposure factors on the concentration of heavy metals in residents near abandoned metal mines. J. Prev. Med. Public Health 2011, 44, 41–47. [Google Scholar] [CrossRef] [PubMed]
- Kachenko, A.G.; Singh, B. Heavy metals contamination in vegetables grown in urban and metal smelter contaminated sites in Australia. Water Air Soil Pollut. 2006, 169, 101–123. [Google Scholar] [CrossRef]
- China National Environmental Monitoring Centre (CNEMC). The Background Values of Chinese Soils; Environmental Science Press of China: Beijing, China, 1990; p. 501. [Google Scholar]
- Chinese Environmental Protection Administration (CEPA). Environmental Quality Standards for Soil (GB15618-1995); Chinese Environmental Protection Administration: Beijing, China, 1995.
- Dutch Ministry of Housing, Spatial Planning and Environment (VROM). Circular on Target Values and Intervention Values for Soil Remediation Annex A: Target Values, Soil Remediation Intervention Values and Indicative Levels for Serious Contamination; Dutch Ministry of Housing, Spatial Planning and Environment (VROM): Dutch, The Netherlands, 2000. [Google Scholar]
- CCME. Canadian Soil Quality Guidelines for the Protection of Environmental and Human Health: Summary Table; Canadian Council of Ministers of the Environment, Ed.; CCME: Winnipeg, MB, Canada; pp. 1999–2015.
- Bi, X.Y.; Ren, L.M.; Gong, M.; He, Y.S.; Wang, L.; Ma, Z.D. Trasfer of cadmium and lead from soil to mangoes in an uncontaminated area, Hainan Island, China. Geoderma 2010, 155, 115–120. [Google Scholar] [CrossRef]
- Qiu, P.H.; Xu, S.J.; Xie, G.Z.; Tang, B.N.; Bi, H.; Yu, L.S. Analysis of the ecological vulnerability of the western Hainan Island based on its landscape pattern and ecosystem sensitivity. Acta Ecol. Sin. 2007, 27, 1257–1264. [Google Scholar]
- Sun, G.; Sommar, J.; Feng, X.; Lin, C.; Ge, M.; Wang, W.; Yin, R.; Fu, X.; Shang, L. Mass-Dependent and -Independent Fractionation of Mercury Isotope during Gas-Phase Oxidation of Elemental Mercury Vapor by Atomic Cl and Br. Environ. Sci. Technol. 2016, 50, 9232–9241. [Google Scholar] [CrossRef] [PubMed]
- Håkanson, L. An ecological risk index for aquatic pollution control: A sediment logical approach. Water Res. 1980, 8, 975–1001. [Google Scholar] [CrossRef]
- Li, Z.G.; Feng, X.B.; Li, G.H.; Bi, X.Y.; Sun, G.Y.; Zhu, J.M.; Qin, H.B.; Wang, J.X. Mercury and other metal and metalloid soil contamination near a Pb/Zn smelter in east Hunan province, China. Appl. Geochem. 2011, 26, 160–166. [Google Scholar] [CrossRef]
- Xu, Z.Q.; Ni, S.J.; Tuo, X.G.; Zhang, C.J. Calculation of heavy metals’ toxicity coefficient in the evaluation of potential ecological risk index. Environ. Sci. Technol. 2008, 31, 112–115. [Google Scholar]
- Yang, Z.P.; Lu, W.Z.; Long, Y.Q.; Bao, X.H.; Yang, Q.C. Assessment of heavy metals contamination in urban topsoil from Changchun City, China. J. Geochem. Explor. 2011, 108, 27–38. [Google Scholar] [CrossRef]
- Feng, X.B.; Hong, Y. Modes of occurrence of mercury in coals from Guizhou, PR China. Fuel 1999, 78, 1181–1188. [Google Scholar] [CrossRef]
- Ren, D.Y.; Zhao, F.H.; Dai, S.F.; Zhang, J.Y.; Luo, K.L. Geochemistry of Trace Elements in Coal; Science Press: Beijing, China, 2006. [Google Scholar]
- Statistic Bureau of Hainan. Hainan Statistics Yearbook; Chinese Statistics Press: Hainan, China, 2012. [Google Scholar]
- Lu, X.W.; Wang, L.J.; Li, L.; Lei, K.; Huang, L.; Kang, D. Multivariate statistical analysis of heavy metals in street dust of Baoji, NW China. J. Hazard. Mater. 2010, 173, 744–749. [Google Scholar] [CrossRef] [PubMed]
- Nriagu, J.O.; Pacyna, J.M. Quantitative assessment of worldwide contamination of air, water and soils by trace metals. Nature 1988, 333, 134–139. [Google Scholar] [CrossRef] [PubMed]
- Pacyna, J.M.; Pacyna, E.G. An assessment of global and regional emissions of trace metals to the atmosphere from anthropogenic sources worldwide. Environ. Rev. 2001, 9, 269–298. [Google Scholar] [CrossRef]
- Lu, X.W.; Li, L.Y.; Wang, L.J.; Lei, K.; Huang, J.; Zhai, Y.X. Contamination assessment of mercury and arsenic in roadway dust from Baoji, China. Atmos. Environ. 2009, 43, 2489–2496. [Google Scholar] [CrossRef]
- Yin, H.Q. Source Apportionment of Atmospheric Dustfall and Its Effect on Heavy Metal Accumulation in Tongling City; HeFei University of Technology: Hefei, China, 2006. (In Chinese) [Google Scholar]
- Al-Khashman, O.A. Determination of metal accumulation in deposited street dusts in Amman Jordan. Environ. Geochem. Health 2007, 29, 1–10. [Google Scholar] [CrossRef] [PubMed]
- Zhu, Z.M.; Sun, G.Y.; Bi, X.Y.; Li, Z.G.; Yu, G. Identification of trace metal pollution in urban dust from kindergartens using magnetic, geochemical and lead isotopic analyses. Atmos. Environ. 2013, 77, 9–15. [Google Scholar] [CrossRef]
- Lee, C.S.L.; Li, X.D.; Shi, W.Z.; Cheung, S.C.N.; Thornton, I. Metal contamination in urban, suburban, and country park soils of Hong Kong: A study based of GIS and multivariate statistics. Sci. Total Environ. 2006, 356, 45–61. [Google Scholar] [CrossRef] [PubMed]
- Zhu, Z.M.; Li, Z.G.; Bi, X.Y.; Han, Z.X.; Yu, G.H. Responese of magnetic properties to heavy metal pollution in dust from three industrial cities in China. J. Hazard. Mater. 2013, 246–247, 189–198. [Google Scholar]
- Zhu, Z.M.; Xue, J.H.; Deng, Y.Z.; Chen, L.; Liu, J.F. Trace metal contamination in surface sediments of intertidal zone from Qinhuangdao, China, revealed by geochemical and magnetic approaches: Distribution, sources, and health risk assessment. Mar. Pollut. Bull. 2016, 105, 422–429. [Google Scholar] [CrossRef] [PubMed]
© 2018 by the authors. Licensee MDPI, Basel, Switzerland. This article is an open access article distributed under the terms and conditions of the Creative Commons Attribution (CC BY) license (http://creativecommons.org/licenses/by/4.0/).