Current Status of the Degradation of Aliphatic and Aromatic Petroleum Hydrocarbons by Thermophilic Microbes and Future Perspectives
Abstract
1. Introduction
2. Summary of Work on PHDT
2.1. Alkane Biodegradation
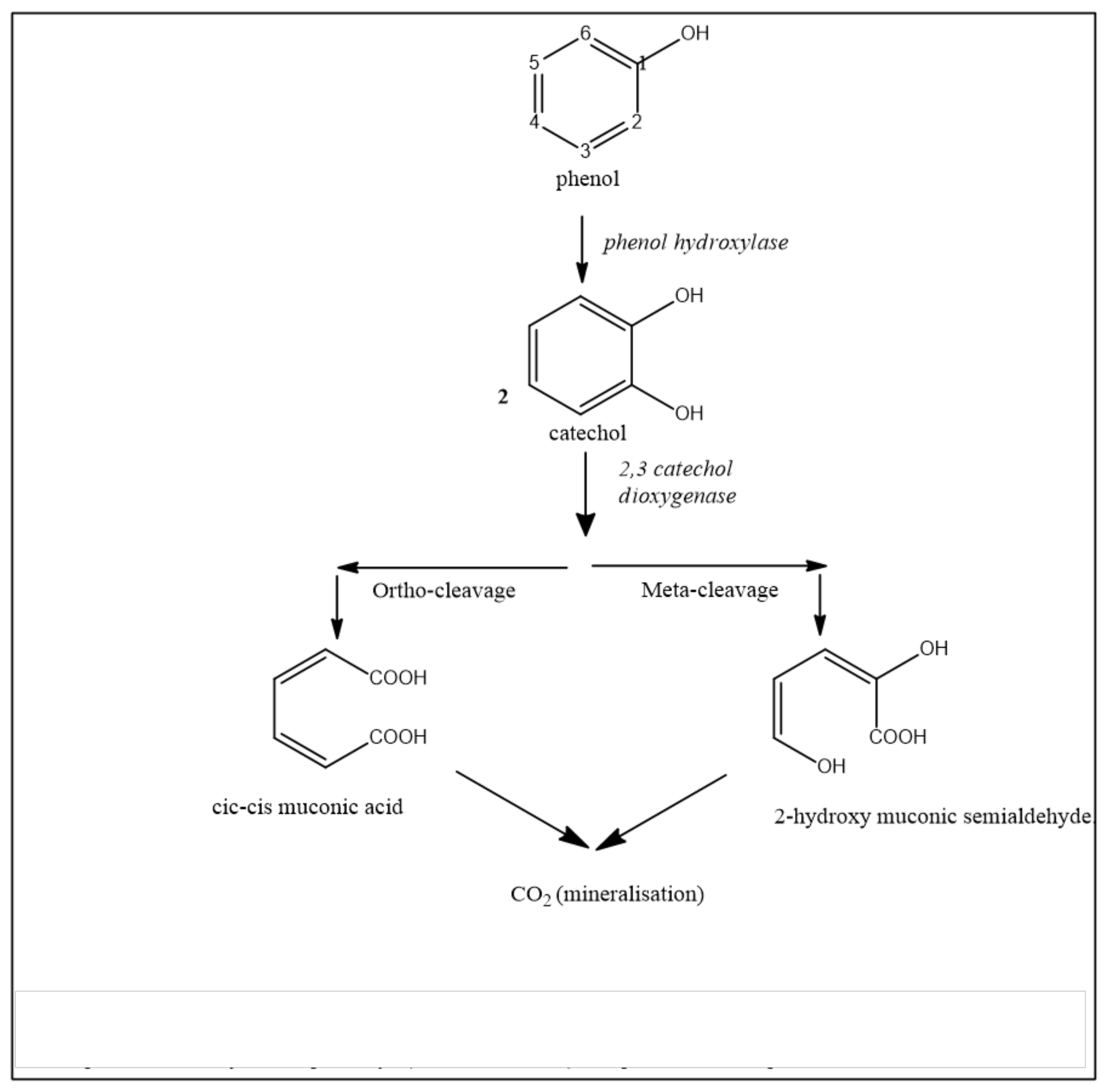
2.2. Monocyclic Aromatic Hydrocarbons (MAHs)
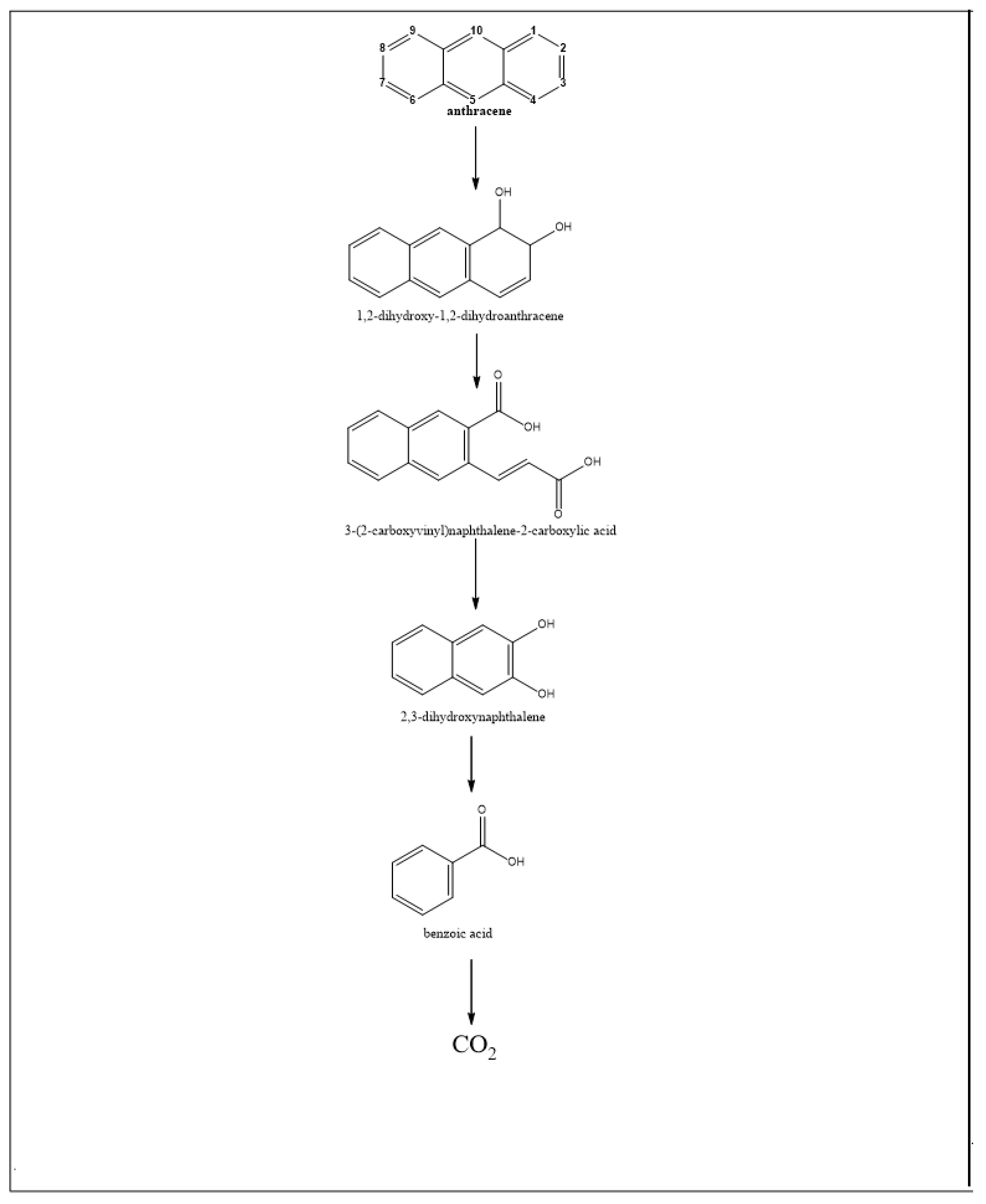
2.3. Polycyclic Aromatic Hydrocarbons (PAHs)
3. General Findings
3.1. Geobacillus Are the Most Dominant PHDT
3.2. Short Chain n-Alkanes Are Less Efficiency Degraded
3.3. Specific Observations in Relation to Mechanisms of Degradation
3.3.1. n-Alkanes
3.3.2. MAHs
3.3.3. PAHs
4. Gaps and Strategies to Improve Biodegradation by Thermophiles
4.1. Isolation of More Thermophilic Microbes
4.1.1. Use of Experimental Set-Up
4.1.2. Genomic Approach
4.2. Improving Biodegradation
4.2.1. Bioaugmentation
4.2.2. Cometabolism
5. Concluding Remarks
Funding
Conflicts of Interest
References
- Abdel-Shafy, H.I.; Mansour, M.S.M. A review on polycyclic aromatic hydrocarbons: Source, environmental impact, effect on human health and remediation. Egypt. J. Pet. 2016, 25, 107–123. [Google Scholar] [CrossRef]
- Nzila, A. Biodegradation of high-molecular-weight polycyclic aromatic hydrocarbons under anaerobic conditions: Overview of studies, proposed pathways and future perspectives. Environ. Pollut. 2018, 239, 788–802. [Google Scholar] [CrossRef] [PubMed]
- Sabathé, F.; Bélaїch, A.; Soucaille, P. Characterization of the cellulolytic complex (cellulosome) of Clostridium acetobutylicum. FEMS Microbiol. Lett. 2002, 217, 15–22. [Google Scholar] [CrossRef] [PubMed]
- Seo, J.S.; Keum, Y.S.; Li, Q.X. Bacterial degradation of aromatic compounds. Int. J. Environ. Res. Public Health 2009, 6, 278–309. [Google Scholar] [CrossRef]
- Nzila, A. Update on the cometabolism of organic pollutants by bacteria. Environ. Pollut. 2013, 178, 474–482. [Google Scholar] [CrossRef]
- Juhasz, A.L.; Naidu, R. Bioremediation of high molecular weight polycyclic aromatic hydrocarbons: A review of the microbial degradation of benzo[a]pyrene. Int. Biodeterior. Biodegrad. 2000, 45, 57–88. [Google Scholar] [CrossRef]
- Kanaly, R.A.; Harayama, S. Advances in the field of high-molecular-weight polycyclic aromatic hydrocarbon biodegradation by bacteria. Microb. Biotechnol. 2010, 3, 136–164. [Google Scholar] [CrossRef]
- Ghosal, D.; Ghosh, S.; Dutta, T.K.; Ahn, Y. Current State of Knowledge in Microbial Degradation of Polycyclic Aromatic Hydrocarbons (PAHs): A Review. Front. Microbiol. 2016, 7, 1369. [Google Scholar] [CrossRef]
- Pikuta, E.V.; Hoover, R.B.; Tang, J. Microbial extremophiles at the limits of life. Crit. Rev. Microbiol. 2007, 33, 183–209. [Google Scholar] [CrossRef]
- Fathepure, B.Z. Recent studies in microbial degradation of petroleum hydrocarbons in hypersaline environments. Front. Microbiol. 2014, 5, 173. [Google Scholar] [CrossRef]
- Martins, L.F.; Peixoto, R.S. Biodegradation of petroleum hydrocarbons in hypersaline environments. Braz. J. Microbiol. 2012, 43, 865–872. [Google Scholar] [CrossRef] [PubMed]
- Sorokin, D.Y.; Janssen, A.J.H.; Muyzer, G. Biodegradation Potential of Halo(alkali)philic Prokaryotes. Crit. Rev. Environ. Sci. Technol. 2012, 42, 811–856. [Google Scholar] [CrossRef]
- Tse, C.; Ma, K. Growth and Metabolism of Extremophilic Microorganisms. In Biotechnology of Extremophiles: Advances and Challenges; Rampelotto, P.H., Ed.; Springer International Publishing: Cham, Switzerland, 2016; pp. 1–46. [Google Scholar]
- Mehta, D.; Satyanarayana, T. Diversity of Hot Environments and Thermophilic Microbes. In Thermophilic Microbes in Environmental and Industrial Biotechnology: Biotechnology of Thermophiles; Satyanarayana, T., Littlechild, J., Kawarabayasi, Y., Eds.; Springer: Dordrecht, The Netherlands, 2013; pp. 3–60. [Google Scholar]
- Mehta, R.; Singhal, P.; Singh, H.; Damle, D.; Sharma, A.K. Insight into thermophiles and their wide-spectrum applications. 3 Biotech 2016, 6, 81. [Google Scholar] [CrossRef] [PubMed]
- Straub, C.T.; Zeldes, B.M.; Schut, G.J.; Adams, M.W.; Kelly, R.M. Extremely thermophilic energy metabolisms: Biotechnological prospects. Curr. Opin. Biotechnol. 2017, 45, 104–112. [Google Scholar] [CrossRef] [PubMed]
- Hussein, A.H.; Lisowska, B.K.; Leak, D.J. Chapter One—The Genus Geobacillus and Their Biotechnological Potential. In Advances in Applied Microbiology; Sariaslani, S., Gadd, G.M., Eds.; Academic Press: Cambridge, MA, USA, 2015; Volume 92, pp. 1–48. [Google Scholar]
- Perfumo, A.; Banat, I.M.; Marchant, R. The Use of Thermophilic Bacteria In Accelerated Hydrocarbon Bioremediation. WIT Trans. Ecol. Environ. 2006, 88, 11. [Google Scholar]
- Margesin, R.; Schinner, F. Biodegradation and bioremediation of hydrocarbons in extreme environments. Appl. Microbiol. Biotechnol. 2001, 56, 650–663. [Google Scholar] [CrossRef] [PubMed]
- Müller, R.; Antranikian, G.; Maloney, S.; Sharp, R. Thermophilic degradation of environmental pollutants. In Biotechnology of Extremophiles; Antranikian, G., Ed.; Springer: Berlin/Heidelberg, Germany, 1998; pp. 155–169. [Google Scholar]
- Arulazhagan, P.; Mnif, S.; Rajesh Banu, J.; Huda, Q.; Jalal, M.A.B. HC-0B-01: Biodegradation of Hydrocarbons by Extremophiles. In Biodegradation and Bioconversion of Hydrocarbons; Heimann, K., Karthikeyan, O.P., Muthu, S.S., Eds.; Springer: Singapore, 2017; pp. 137–162. [Google Scholar]
- Nazina, T.N.; Tourova, T.P.; Poltaraus, A.B.; Novikova, E.V.; Grigoryan, A.A.; Ivanova, A.E.; Lysenko, A.M.; Petrunyaka, V.V.; Osipov, G.A.; Belyaev, S.S.; et al. Taxonomic study of aerobic thermophilic bacilli: Descriptions of Geobacillus subterraneus gen. nov., sp. nov. and Geobacillus uzenensis sp. nov. from petroleum reservoirs and transfer of Bacillus stearothermophilus, Bacillus thermocatenulatus, Bacillus thermoleovorans, Bacillus kaustophilus, Bacillus thermodenitrificans to Geobacillus as the new combinations G. stearothermophilus, G. th. Int. J. Syst. Evolut. Microbiol. 2001, 51, 433–446. [Google Scholar]
- Mateles, R.I.; Baruah, J.N.; Tannenbaum, S.R. Growth of a Thermophilic Bacterium on Hydrocarbons: A New Source of Single-Cell Protein. Science 1967, 157, 1322–1323. [Google Scholar] [CrossRef]
- Phillips, W.E.; Perry, J.J. Thermomicrobium fosteri sp. nov., a Hydrocarbon-Utilizing Obligate Thermophile1. Int. J. Syst. Evolut. Microbiol. 1976, 26, 220–225. [Google Scholar]
- Merkel, G.J.; Underwood, W.H.; Perry, J.J. Isolation of thermophilic bacteria capable of growth solely in long-chain hydrocarbons. FEMS Microbiol. Lett. 1978, 3, 81–83. [Google Scholar] [CrossRef]
- Zarilla, K.A.; Perry, J.J. Deoxyribonucleic Acid Homology and Other Comparisons among Obligately Thermophilic Hydrocarbonoclastic Bacteria, with a Proposal for Thermoleophilum minutum sp. nov.†. Int. J. Syst. Evolut. Microbiol. 1986, 36, 13–16. [Google Scholar] [CrossRef]
- Loginova, L.G.; Bogdanova, T.I.; Seregina, L.M. [Growth of obligate-thermophilic bacteria on a medium with paraffin]. Mikrobiologiia 1981, 50, 49–54. [Google Scholar] [PubMed]
- Zarilla, K.A.; Perry, J.J. Thermoleophilum album gen. nov. and sp. nov., a bacterium obligate for thermophily and n-alkane substrates. Arch. Microbiol. 1984, 137, 286–290. [Google Scholar] [CrossRef]
- Zarilla, K.A.; Perry, J.J. Bacillus thermoJeovorans, sp. nov., a Species of Obligately Thermophilic Hydrocarbon Utilizing Endospore-forming Bacterial. Syst. Appl. Microbial. 1987, 9, 258–264. [Google Scholar] [CrossRef]
- Sorkhoh, N.A.; Ibrahim, A.S.; Ghannoum, M.A.; Radwan, S.S. High-temperature hydrocarbon degradation by Bacillus stearothermophilus from oil-polluted Kuwaiti desert. Appl. Microbial. Biotechnol. 1993, 39, 123–126. [Google Scholar] [CrossRef]
- Kato, T.; Haruki, M.; Imanaka, T.; Morikawa, M.; Kanaya, S. Isolation and characterization of long-chain-alkane degrading Bacillus thermoleovorans from deep subterranean petroleum reservoirs. J. Biosci. Bioeng. 2001, 91, 64–70. [Google Scholar] [CrossRef]
- Wang, L.; Tang, Y.; Wang, S.; Liu, R.L.; Liu, M.Z.; Zhang, Y.; Liang, F.L.; Feng, L. Isolation and characterization of a novel thermophilic Bacillus strain degrading long-chain n-alkanes. Extremophiles 2006, 10, 347–356. [Google Scholar] [CrossRef] [PubMed]
- Feng, L.; Wang, W.; Cheng, J.; Ren, Y.; Zhao, G.; Gao, C.; Tang, Y.; Liu, X.; Han, W.; Peng, X.; et al. Genome and proteome of long-chain alkane degrading Geobacillus thermodenitrificans NG80-2 isolated from a deep-subsurface oil reservoir. Proc. Natl. Acad. Sci. USA 2007, 104, 5602–5607. [Google Scholar] [CrossRef]
- Marchant, R.; Sharkey, F.H.; Banat, I.M.; Rahman, T.J.; Perfumo, A. The degradation of n-hexadecane in soil by thermophilic geobacilli. FEMS Microbiol. Ecol. 2006, 56, 44–54. [Google Scholar] [CrossRef]
- Hao, R.; Lu, A.; Zeng, Y. Effect on crude oil by thermophilic bacterium. J. Pet. Sci. Eng. 2004, 43, 247–258. [Google Scholar] [CrossRef]
- Tourova, T.P.; Sokolova, D.S.; Semenova, E.M.; Shumkova, E.S.; Korshunova, A.V.; Babich, T.L.; Poltaraus, A.B.; Nazina, T.N. Detection of n-alkane biodegradation genes alkB and ladA in thermophilic hydrocarbon-oxidizing bacteria of the genera Aeribacillus and Geobacillus. Microbiology 2016, 85, 693–707. [Google Scholar] [CrossRef]
- Kadnikov, V.V.; Mardanov, A.V.; Poltaraus, A.B.; Sokolova, D.S.; Semenova, E.M.; Ravin, N.V.; Tourova, T.P.; Nazina, T.N. Genome sequencing and annotation of Geobacillus sp. 1017, a hydrocarbon-oxidizing thermophilic bacterium isolated from a heavy oil reservoir (China). Genom. Data 2017, 11, 95–97. [Google Scholar] [CrossRef] [PubMed]
- Meintanis, C.; Chalkou, K.I.; Kormas, K.A.; Karagouni, A.D. Biodegradation of crude oil by thermophilic bacteria isolated from a volcano island. Biodegradation 2006, 17, 105–111. [Google Scholar] [CrossRef] [PubMed]
- Buswell, J.A. The meta-cleavage of catechol by a thermophilic bacillus species. Biochem. Biophys. Res. Commun. 1974, 60, 934–941. [Google Scholar] [CrossRef]
- Buswell, J.A. Metabolism of phenol and cresols by Bacillus stearothermophilus. J. Bacteriol. 1975, 124, 1077–1083. [Google Scholar] [PubMed]
- Buswell, J.A.; Twomey, D.G. Utilization of phenol and cresols by Bacillus stearothermophilus, strain PH24. J. Gen. Microbiol. 1975, 87, 377–379. [Google Scholar] [CrossRef] [PubMed]
- Adams, D.; Ribbons, D.W. The metabolism of aromatic compounds by thermophilic Bacilli. Appl. Biochem. Biotechnol. 1988, 17, 231–244. [Google Scholar] [CrossRef]
- Gurujeyalakshmi, G.; Oriel, P. Isolation of phenol-degrading Bacillus stearothermophilus and partial characterization of the phenol hydroxylase. Appl. Environ. Microbiol. 1989, 55, 500–502. [Google Scholar]
- Kim, I.C.; Oriel, P.J. Characterization of the Bacillus stearothermophilus BR219 phenol hydroxylase gene. Appl. Environ. Microbiol. 1995, 61, 1252–1256. [Google Scholar]
- Dong, F.M.; Wang, L.L.; Wang, C.M.; Cheng, J.P.; He, Z.Q.; Sheng, Z.J.; Shen, R.Q. Molecular cloning and mapping of phenol degradation genes from Bacillus stearothermophilus FDTP-3 and their expression in Escherichia coli. Appl. Environ. Microbiol. 1992, 58, 2531–2535. [Google Scholar]
- Mutzel, A.; Reinscheid, U.M.; Antranikian, G.; Müller, R. Isolation and characterization of a thermophilic bacillus strain, that degrades phenol and cresols as sole carbon source at 70 °C. Appl. Microbiol. Biotechnol. 1996, 46, 593–596. [Google Scholar] [CrossRef]
- Duffner, F.M.; Muller, R. A novel phenol hydroxylase and catechol 2,3-dioxygenase from the thermophilic Bacillus thermoleovorans strain A2: Nucleotide sequence and analysis of the genes. FEMS Microbiol. Lett. 1998, 161, 37–45. [Google Scholar] [CrossRef]
- Chen, C.I.; Taylor, R.T. Thermophilic biodegradation of BTEX by two Thermus Species. Biotechnol. Bioeng. 1995, 48, 614–624. [Google Scholar] [CrossRef] [PubMed]
- Ali, S.; Fernandez-Lafuente, R.; Cowan, D.A. Meta-pathway degradation of phenolics by thermophilic Bacilli. Enzyme Microbial. Technol. 1998, 23, 462–468. [Google Scholar] [CrossRef]
- Mnif, S.; Sayadi, S.; Chamkha, M. Biodegradative potential and characterization of a novel aromatic-degrading bacterium isolated from a geothermal oil field under saline and thermophilic conditions. Int. Biodeterior. Biodegrad. 2014, 86, 258–264. [Google Scholar] [CrossRef]
- Chae, J.C.; Kim, E.; Bini, E.; Zylstra, G.J. Comparative analysis of the catechol 2,3-dioxygenase gene locus in thermoacidophilic archaeon Sulfolobus solfataricus strain 98/2. Biochem. Biophys. Res. Commun. 2007, 357, 815–819. [Google Scholar] [CrossRef] [PubMed]
- Izzo, V.; Notomista, E.; Picardi, A.; Pennacchio, F.; Di Donato, A. The thermophilic archaeon Sulfolobus solfataricus is able to grow on phenol. Res. Microbiol. 2005, 156, 677–689. [Google Scholar] [CrossRef]
- Shimura, M.; Mukerjee-Dhar, G.; Kimbara, K.; Nagato, H.; Kiyohara, H.; Hatta, T. Isolation and characterization of a thermophilic Bacillus sp. JF8 capable of degrading polychlorinated biphenyls and naphthalene. FEMS Microbiol. Lett. 1999, 178, 87–93. [Google Scholar] [CrossRef]
- Zhao, Z.; Wong, J.W.-C. Rapid Biodegradation of Benzo[a]pyrene by Bacillus subtilis BUM Under Thermophilic Condition. Environ. Eng. Sci. 2010, 27, 939–945. [Google Scholar] [CrossRef]
- Feitkenhauer, H.; Markl, H. Biodegradation of aliphatic and aromatic hydrocarbons at high temperatures. Water Sci. Technol. 2003, 47, 123–130. [Google Scholar] [CrossRef]
- Mohamed, M.E.; Al-Dousary, M.; Hamzah, R.Y.; Fuchs, G. Isolation and characterization of indigenous thermophilic bacteria active in natural attenuation of bio-hazardous petrochemical pollutants. Int. Biodeterior. Biodegrad. 2006, 58, 213–223. [Google Scholar] [CrossRef]
- Rubin, H.E.; Alexander, M. Effect of nutrients on the rates of mineralization of trace concentrations of phenol and p-nitrophenol. Environ. Sci. Technol. 1983, 17, 104–107. [Google Scholar] [CrossRef] [PubMed]
- Viamajala, S.; Peyton, B.M.; Richards, L.A.; Petersen, J.N. Solubilization, solution equilibria, and biodegradation of PAH’s under thermophilic conditions. Chemosphere 2007, 66, 1094–1106. [Google Scholar] [CrossRef] [PubMed]
- Zeinali, M.; Vossoughi, M.; Ardestani, S.K. Naphthalene metabolism in Nocardia otitidiscaviarum strain TSH1, a moderately thermophilic microorganism. Chemosphere 2008, 72, 905–909. [Google Scholar] [CrossRef] [PubMed]
- Zeinali, M.; Vossoughi, M.; Ardestani, S.K. Degradation of phenanthrene and anthracene by Nocardia otitidiscaviarum strain TSH1, a moderately thermophilic bacterium. J. Appl. Microbiol. 2008, 105, 398–406. [Google Scholar] [CrossRef] [PubMed]
- Bubinas, A.; Giedraitytė, G.; Kalėdienė, L.; Nivinskiene, O.; Butkiene, R. Degradation of naphthalene by thermophilic bacteria via a pathway, through protocatechuic acid. Cent. Eur. J. Biol. 2008, 3, 61–68. [Google Scholar] [CrossRef]
- Annweiler, E.; Richnow, H.H.; Antranikian, G.; Hebenbrock, S.; Garms, C.; Franke, S.; Francke, W.; Michaelis, W. Naphthalene degradation and incorporation of naphthalene-derived carbon into biomass by the thermophile Bacillus thermoleovorans. Appl. Environ. Microbiol. 2000, 66, 518–523. [Google Scholar] [CrossRef]
- Zheng, C.; He, J.; Wang, Y.; Wang, M.; Huang, Z. Hydrocarbon degradation and bioemulsifier production by thermophilic Geobacillus pallidus strains. Bioresour. Technol. 2011, 102, 9155–9161. [Google Scholar] [CrossRef]
- Zhang, J.; Zhang, X.; Liu, J.; Li, R.; Shen, B. Isolation of a thermophilic bacterium, Geobacillus sp. SH-1, capable of degrading aliphatic hydrocarbons and naphthalene simultaneously, and identification of its naphthalene degrading pathway. Bioresour. Technol. 2012, 124, 83–89. [Google Scholar] [CrossRef]
- Zhou, J.-F.; Gao, P.-K.; Dai, X.-H.; Cui, X.-Y.; Tian, H.-M.; Xie, J.-J.; Li, G.-Q.; Ma, T. Heavy hydrocarbon degradation of crude oil by a novel thermophilic Geobacillus stearothermophilus strain A-2. Int. Biodeterior. Biodegrad. 2018, 126, 224–230. [Google Scholar] [CrossRef]
- Guevara-Luna, J.; Alvarez-Fitz, P.; Rios-Leal, E.; Acevedo-Quiroz, M.; Encarnacion-Guevara, S.; Moreno-Godinez, M.E.; Castellanos-Escamilla, M.; Toribio-Jimenez, J.; Romero-Ramirez, Y. Biotransformation of benzo[a]pyrene by the thermophilic bacterium Bacillus licheniformis M2-7. World J. Microbiol. Biotechnol. 2018, 34, 88. [Google Scholar] [CrossRef] [PubMed]
- Haritash, A.K.; Kaushik, C.P. Biodegradation aspects of polycyclic aromatic hydrocarbons (PAHs): A review. J. Hazard. Mater. 2009, 169, 1–15. [Google Scholar] [CrossRef] [PubMed]
- Zeigler, D.R. The Geobacillus paradox: Why is a thermophilic bacterial genus so prevalent on a mesophilic planet? Microbiology 2014, 160 (Pt 1), 1–11. [Google Scholar] [CrossRef]
- Bezuidt, O.K.; Pierneef, R.; Gomri, A.M.; Adesioye, F.; Makhalanyane, T.P.; Kharroub, K.; Cowan, D.A. The Geobacillus Pan-Genome: Implications for the Evolution of the Genus. Front. Microbiol. 2016, 7, 723. [Google Scholar] [CrossRef] [PubMed]
- Brumm, P.J.; De Maayer, P.; Mead, D.A.; Cowan, D.A. Genomic analysis of six new Geobacillus strains reveals highly conserved carbohydrate degradation architectures and strategies. Front. Microbiol. 2015, 6, 430. [Google Scholar] [CrossRef] [PubMed]
- Maier, R.M.; Gentry, T.J. Microorganisms and Organic Pollutants. In Environmental Microbiology, 3rd ed.; Elsevier Inc.: New York, NY, USA, 2014; pp. 415–439. [Google Scholar]
- Rojo, F. Degradation of alkanes by bacteria. Environ. Microbiol. 2009, 11, 2477–2490. [Google Scholar] [CrossRef] [PubMed]
- Nie, Y.; Chi, C.Q.; Fang, H.; Liang, J.L.; Lu, S.L.; Lai, G.L.; Tang, Y.Q.; Wu, X.L. Diverse alkane hydroxylase genes in microorganisms and environments. Sci. Rep. 2014, 4, 4968. [Google Scholar] [CrossRef]
- Van Beilen, J.B.; Funhoff, E.G. Alkane hydroxylases involved in microbial alkane degradation. Appl. Microbiol. Biotechnol. 2007, 74, 13–21. [Google Scholar] [CrossRef]
- Van Beilen, J.B.; Funhoff, E.G.; van Loon, A.; Just, A.; Kaysser, L.; Bouza, M.; Holtackers, R.; Röthlisberger, M.; Li, Z.; Witholt, B. Cytochrome P450 Alkane Hydroxylases of the CYP153 Family Are Common in Alkane-Degrading Eubacteria Lacking Integral Membrane Alkane Hydroxylases. Appl. Environ. Microbiol. 2006, 72, 59–65. [Google Scholar] [CrossRef]
- Throne-Holst, M.; Wentzel, A.; Ellingsen, T.E.; Kotlar, H.-K.; Zotchev, S.B. Identification of Novel Genes Involved in Long-Chain n-Alkane Degradation by Acinetobacter sp. Strain DSM 17874. Appl. Environ. Microbiol. 2007, 73, 3327–3332. [Google Scholar] [CrossRef]
- Omokoko, B.; Jäntges, U.K.; Zimmermann, M.; Reiss, M.; Hartmeier, W. Isolation of the phe-operon from G. stearothermophilus comprising the phenol degradative meta-pathway genes and a novel transcriptional regulator. BMC Microbiol. 2008, 8, 197. [Google Scholar] [CrossRef] [PubMed]
- Nzila, A.; Thukair, A.; Sankara, S.; Chanbasha, B.; Musa, M.M. Isolation and characterization of naphthalene biodegrading Methylobacterium radiotolerans bacterium from the eastern coastline of the Kingdom of Saudi Arabia. Arch. Environ. Prot. 2016, 42, 25. [Google Scholar] [CrossRef]
- Xu, P.; Ma, W.; Han, H.; Jia, S.; Hou, B. Isolation of a Naphthalene-Degrading Strain from Activated Sludge and Bioaugmentation with it in a MBR Treating Coal Gasification Wastewater. Bull. Environ. Contam. Toxicol. 2015, 94, 358–364. [Google Scholar] [CrossRef] [PubMed]
- Swaathy, S.; Kavitha, V.; Pravin, A.S.; Mandal, A.B.; Gnanamani, A. Microbial surfactant mediated degradation of anthracene in aqueous phase by marine Bacillus licheniformis MTCC 5514. Biotechnol. Rep. 2014, 4, 161–170. [Google Scholar] [CrossRef] [PubMed]
- Debruyn, J.M.; Chewning, C.S.; Sayler, G.S. Comparative quantitative prevalence of Mycobacteria and functionally abundant nidA, nahAc, and nagAc dioxygenase genes in coal tar contaminated sediments. Environ. Sci. Technol. 2007, 41, 5426–5432. [Google Scholar] [CrossRef] [PubMed]
- DeBruyn, J.M.; Mead, T.J.; Sayler, G.S. Horizontal transfer of PAH catabolism genes in Mycobacterium: Evidence from comparative genomics and isolated pyrene-degrading bacteria. Environ. Sci. Technol. 2012, 46, 99–106. [Google Scholar] [CrossRef] [PubMed]
- Hall, K.; Miller, C.D.; Sorensen, D.L.; Anderson, A.J.; Sims, R.C. Development of a catabolically significant genetic probe for polycyclic aromatic hydrocarbon-degrading mycobacteria in soil. Biodegradation 2005, 16, 475–484. [Google Scholar] [CrossRef]
- Johnson, J.; Jain, K.; Madamwar, D. 2–Functional Metagenomics: Exploring Nature’s Gold Mine. In Current Developments in Biotechnology and Bioengineering; Gunasekaran, P., Noronha, S., Pandey, A., Eds.; Elsevier: Amsterdam, The Netherlands, 2017; pp. 27–43. [Google Scholar]
- Mirete, S.; Morgante, V.; González-Pastor, J.E. Functional metagenomics of extreme environments. Curr. Opin. Biotechnol. 2016, 38, 143–149. [Google Scholar] [CrossRef]
- Alves, L.F.; Westmann, C.A.; Lovate, G.L.; de Siqueira, G.M.V.; Borelli, T.C.; Guazzaroni, M.E. Metagenomic Approaches for Understanding New Concepts in Microbial Science. Int. J. Genom. 2018, 2018, 2312987. [Google Scholar] [CrossRef]
- Ufarté, L.; Laville, É.; Duquesne, S.; Potocki-Veronese, G. Metagenomics for the discovery of pollutant degrading enzymes. Biotechnol. Adv. 2015, 33, 1845–1854. [Google Scholar] [CrossRef]
- Semrany, S.; Favier, L.; Djelal, H.; Taha, S.; Amrane, A. Bioaugmentation: Possible solution in the treatment of Bio-Refractory Organic Compounds (Bio-ROCs). Biochem. Eng. J. 2012, 69, 75–86. [Google Scholar] [CrossRef]
- Herrero, M.; Stuckey, D.C. Bioaugmentation and its application in wastewater treatment: A review. Chemosphere 2015, 140, 119–128. [Google Scholar] [CrossRef] [PubMed]
- Nzila, A. Mini review: Update on bioaugmentation in anaerobic processes for biogas production. Anaerobe 2017, 46, 3–12. [Google Scholar] [CrossRef] [PubMed]
- Nzila, A.; Razzak, S.; Zhu, J. Bioaugmentation: An Emerging Strategy of Industrial Wastewater Treatment for Reuse and Discharge. Int. J. Environ. Res. Public Health 2016, 13, 846. [Google Scholar] [CrossRef]
- Qin, W.; Fan, F.; Zhu, Y.; Huang, X.; Ding, A.; Liu, X.; Dou, J. Anaerobic biodegradation of benzo(a)pyrene by a novel Cellulosimicrobium cellulans CWS2 isolated from polycyclic aromatic hydrocarbon-contaminated soil. Braz. J. Microbiol. 2017, 49, 258–268. [Google Scholar] [CrossRef] [PubMed]
- Qin, W.; Fan, F.; Zhu, Y.; Wang, Y.; Liu, X.; Ding, A.; Dou, J. Comparative proteomic analysis and characterization of benzo(a)pyrene removal by Microbacterium sp. strain M.CSW3 under denitrifying conditions. Bioprocess Biosyst. Eng. 2017, 40, 1825–1838. [Google Scholar] [CrossRef] [PubMed]
- McClure, N.C.; Fry, J.C.; Weightman, A.J. Survival and catabolic activity of natural and genetically engineered bacteria in a laboratory-scale activated-sludge unit. Appl. Environ. Microbiol. 1991, 57, 366–373. [Google Scholar]
- Nusslein, K.; Maris, D.; Timmis, K.; Dwyer, D.F. Expression and transfer of engineered catabolic pathways harbored by Pseudomonas spp. introduced into activated sludge microcosms. Appl. Environ. Microbiol. 1992, 58, 3380–3386. [Google Scholar]
- Rasool, K.; Lee, D.S. Effect of ZnO nanoparticles on biodegradation and biotransformation of co-substrate and sulphonated azo dye in anaerobic biological sulfate reduction processes. Int. Biodeterior. Biodegrad. 2016, 109 (Suppl. C), 150–156. [Google Scholar] [CrossRef]
- Zhang, C.; Li, M.; Xu, X.; Liu, N. Effects of carbon nanotubes on atrazine biodegradation by Arthrobacter sp. J. Hazard. Mater. 2015, 287, 1–6. [Google Scholar] [CrossRef]






| Study | Source of Samples | Conditions of Isolation | Thermophiles Used or Isolated | Range of Temperatures and/or Optimum Temperature (in Parentheses) | Petroleum Products Degraded or Other Characteristics of the Strains | Reference | |
|---|---|---|---|---|---|---|---|
| n-alkanes | ST1 | Samples of water or soil | Enrichment culture in the presence hydrocarbon at 57 °C | Bacillus stearothermophilus | (57 °C) | Hydrocarbons | [23] |
| ST2 | Mud sample from a littoral area of North Carolina, USA | Enrichment culture in the presence n-hexadecane at 50 °C | Thermomicrobium fosteri PTA-1, | 42 to 70 °C (60 °C) | * n-alkanes (nC10–C20), 1-Alkenes (C14–C1), alcohol (C12–C17) and ketones (C14–C17) C14 * but not <C9 (n-alkanes), <C9 (alkene and ketones) and <C11 (alcohol) | [24] | |
| ST3 | Mud samples from Yellowstone National Park, USA | Enrichment culture in the presence n-heptadecane at 60 °C | Thermoleophilum minutum YS-3 Thermoleophilum album YS-4 | (60 °C) | * n-alkane C10–C20 but not those <C9 * C6–C8 alkenes, but not <C6 alkenes | [25,26] | |
| ST4 | Hot water springs from Kunashir Island, Russia | Not provided | Geobacillus stearothermophilus 16 Thermus ruber 12 | 55–73 °C (60 °C) | Paraffins | [27] | |
| ST5 | Mud and water from various parts in the USA | Enrichment in the presence of n-heptadecane at 60 °C | T. album | 45 to 70° C (60 °C) | C13–C30 | [28] | |
| ST6 | Mud and water from the USA | Enrichment in the presence of n-heptadecane at 60 °C | Geobacillus thermoleovorans | 55–65 °C | n-alkane C13–C20 but not those <C9 or >C20 | [29] | |
| ST7 | Contaminated samples from Kuwait | Enrichment in the presence of crude oil at 60 °C | G. stearothermophilus strains KTCC-B7S and KTCC-B2M | 60 °C | C15–C18 n-alkanes but not of lower carbon numbers, alkenes and aromatics | [30] | |
| ST8 | Production water samples from deep petroleum reservoirs, Japan | No enrichment | G. thermoleovorans B23 and H41 | 50–80 °C (70 °C for B23) (65 °C for H41) | * C13–C26 n-alkanes but not for C9–C12 * Evidence of terminal oxidation of n-alkanes | [31] | |
| ST9 | Deep subterranean oil reservoir, China | Enrichment in the presence of crude oil at 73 °C | Geobacillus thermodenitrificans NG80-2 | 45–73 °C (65 °C) | * C15–C36 n-alkanes but not the short-chain (C8–C14) and those longer than C40 * No alkB gene homologs found in NG80-2 | [32] | |
| ST10 | Soil samples, Ireland | Enrichment at 60 °C in the presence of n-hexadecane | G. thermoleovorans 27, Geobacillus caldoxylosilyticus 17, Geobacillus pallidus 2, Geobacillus toebii 1, Geobacillus sp. | (60 °C) | * n-hexadecane * Expression of AlkB gene induced by n-hexadecane | [34] | |
| ST11 | Samples from wells in the Dongxin reservoir (temperature 60–80 °C), China | Enriched culture in the presence of n-hexadecane | Thermophilic strain TH-2 | 40–85 °C (70 °C) | Degradation of the petroleum hydrocarbons, mainly n-alkanes | [35] | |
| ST12 | Formation water from the Dagang oilfield and from a thermal spring in the Baikal rift zone, Russia | Not explained | G. toebii B-1024, Geobacillus sp. 1017, Aeribacillus pallidus 8m3 | 38–70 °C (60 °C) | * C10–C30 n-alkanes (for B-1024) * C13–C19 n-alkanes (for 1017) * C11–C29 n-alkanes (for 8m3) * Simultaneous presence of alkB and ladA genes involved in the degradation of alkanes | [36] | |
| ST13 | Samples from active volcano of Santorini, Greece, | Bacteria were identified by alkJ probe, following culture in rich medium at 60–80 °C | G. thermoleovorans (4 strains) G. stearothermophilus (3 strains) Geobacillus anatolicus (2 strains) Bacillus aeolius (1 strain) | 60–80 °C | * Long chain alkanes of crude oil * Use of alkJ probe to identify and select petroleum hydrocarbon degrading thermophiles (PHDT) | [38] | |
| Monoaromatics | ST14 | Industrial sediment, UK | Enrichment in the presence of phenol, at 55 °C | G. stearothermophilus PH24 | (50 °C) | * Phenol and catechol * Cleavage of catechol at the meta-position | [39] |
| ST15 | Same as in ST13 | Same as in ST13 | Same strain as in ST13 (G. stearothermophilus PH24) | Same as in ST13 | o-cresol, m-cresol, or p-cresol, 3-methylcatechol and 4-methylcatechol | [40,41] | |
| ST16 | Soil samples that had been pasteurized for 10 min at 80 °C | Enrichment in the presence of m-cresol and phenol | G. stearothermophilus IC3 | (50 °C) | * Phenol, m-cresol and benzoic acid * Phenol degradation via catechol, and cleavage via meta-position | [42] | |
| ST17 | River sediment Tittabawassee, USA | Enrichment in the presence of phenol, at 55 °C | G. stearothermophilus BR219 | (55 °C) | * Phenol * Characterization of phenol hydroxylase, the first enzyme in phenol degradation | [43,44] | |
| ST18 | Not provided | Not provided | G. stearothermophilus FDTP-3 | 60–65 °C | * Phenol and catechol but no benzoic acid * catechol 2,3-dioxygenase gene was also characterized | [45] | |
| ST19 | Water and mud from a hot spring, Iceland | Enrichment in the presence of phenol at 70 °C | G. thermoleovorans A2 | (65 °C) | * Phenol and o-cresol, m-cresol, p-cresol, * meta-cleavage of phenol | [46,47] | |
| ST20 | Not provided | Not provided | Thermus aquaticus ATCC25104 Thermus sp. ATCC 27978 | (70 °C) (60 °C) | * Degradation of BTEX (benzene, toluene, ethylbenzene, and xylenes) * I4C-labeled benzene and toluene were metabolized to 14CO2 | [48] | |
| ST21 | Samples from a waste treatment plant (UK) and a phenol-contaminated industrial effluent (lake Zealand) | Enrichment in presence of phenol at 50 °C | Bacillus sp. | 50–55 °C | * Phenol degradation * Detection of catechol 2,3-dioxygenase * Cleavage of aromatic via the meta-pathway * Catechol 2,3-dioxygenase was inactivated at high oxygen | [49] | |
| ST22 | Production water from an oil field, Tunisia | Enrichment in the presence of vanillic acid | Aeribacillus pallidus, VP3 | 37–65 °C (55 °C) | * Degradation of various aromatic compounds including benzoic, p-hydroxybenzoic, protocatechuic acids * Strain was also halotolerant (can grow in the presence of 100 g L−1 of NaCl) | [50] | |
| ST23 | Volcanic site at Pisciarelli Solfatara, Italy | Already preselected | Sulfolobus solfataricus P2 | (80 °C) | Anaerobic degradation of phenol | [51,52] | |
| Polyaromatics | ST24 | Compost from a field in Okayama, Japan | Enrichment culture in the presence of biphenyl as sole source of carbon, at 60 °C | Geobacillus sp. JF8 | (60 °C) | * Biphenyl, chlorobiphenyl, NAPH, benzoic acid and salicylic acid but not PHEN, ANTH, benzene and xylene * Related to G. Stearothermophilus | [53] |
| ST25 | PAH-contaminated soil collected from Hong Kong | Not provided | Bacillus subtilis BUM and Mycobacterium vanbaalenii BU42 | (55 °C) | Both strains could utilize PHEN as sole source of carbon * None of the strains could utilize BZP as sole source of carbon * In the presence of PHEN, only the strain BUM could degrade BZP | [54] | |
| ST26 | Hot springs, compost and industrialwastewater | Not provided | Preselected mixture of strains of Geobacillus spp. Thermus sp. | 60–70 °C | * Degradation of acenaphthene FLT, PYR and BZP, in the presence of hexadecane | [55] | |
| ST27 | Soil samples from contaminated areas in Kowait | Enrichment in the presence of a mixture of PAHs and heterocyclic polyaromatics | Bacillus firmus, Bacillus pallidus, Anoxybacillus sp., Paenibacillus sp., Saccharococcus sp. | (60 °C) | * Degradation of NAPH, PHEN, ANTH, PYR and FLR, benzothiophene, dibenzothiophene dibenzofuran and carbazole * Inhibition of degradation of PAHs and heterocyclic compounds in the presence of glucose | [56] | |
| ST28 | Compost sample | Incubation in the presence of PHEN at 60 °C | Geobacillus sp. (3 strains) | (60 °C) | PHEN, FLR and FLT degradation | [58] | |
| ST29 | Petro-industrial wastewater soil, Iran | Selection in the presence of PHEN at 50 °C | Nocardia otitidiscaviarum TSH1 | 30–55 °C (50 °C) | * NAPH, PHEN and ANTH degradation * Evidence of meta-cleavage of NAPH * Detection of various metabolites of NAPH | [59,60] | |
| ST30 | Geothermal oil field in Lithuania | Pre-culture in rich medium following screening in a culture in the presence of NAPH | Geobacillus sp. G27 | (60 °C) | * Growth in the presence NAPH and ANTH, protocatechuic acid, benzene, phenol and benzene-1, 3-diol * No growth in the presence of catechol * Degradation of NAPH through protocatechuic acid via ortho-cleavage pathway | [61] | |
| ST31 | Hydrocarbon contaminated compost, Germany | Enrichment in the presence of NAPH, at 60 °C | G. thermoleovorans Hamburg 2 | (60 °C) | * Degradation of NAPH * Detection of phthalic and benzoic acid as NAPH metabolites | [62] | |
| ST32 | Contaminated soilsamples from Yumen oilfield, China | Enrichment in the presence of PHEN, FLR and crude oil at 60 °C | Geobacillus pallidus XS2 and XS3 | (60 °C) | * PHE, FLR and crude oil * Preference of nC8–C19 for XS2 strain and n-C20–C38 for XS3 strain * Production of emulsifier by the 2 strains | [63] | |
| ST33 | Soil from a deep oil well, China | Enrichment in the presence of crude oil at 70 °C | Geobacillus sp. SH-1 | 45–80 °C (60 °C) | * Degradation of NAPH and nC12–C23 (from crude oil) * Detection of NAPH metabolites | [64] | |
| ST34 | Produced water from Dagang petroleum reservoir at 73 °C, China | Already growing in petroleum environment | G. stearothermophilus strain A-2 | 40–75 °C (60 °C) | * NAPH, methylated-PHEN, FLR, benzo[b]fluorenes and long-chain alkanes (C22–C33) * Low degradation of shorter chains (C14–C21) * Production of bio-emulsifier | [65] | |
| ST35 | Hot spring from Guerrero State, Mexico | Non explained | Bacillus licheniformis M2-7 | (50 °C) | * BZP * Identification of phthalic acid as a BZP metabolite * Characterization of catechol dioxygenase enzyme | [66] |
© 2018 by the author. Licensee MDPI, Basel, Switzerland. This article is an open access article distributed under the terms and conditions of the Creative Commons Attribution (CC BY) license (http://creativecommons.org/licenses/by/4.0/).
Share and Cite
Nzila, A. Current Status of the Degradation of Aliphatic and Aromatic Petroleum Hydrocarbons by Thermophilic Microbes and Future Perspectives. Int. J. Environ. Res. Public Health 2018, 15, 2782. https://doi.org/10.3390/ijerph15122782
Nzila A. Current Status of the Degradation of Aliphatic and Aromatic Petroleum Hydrocarbons by Thermophilic Microbes and Future Perspectives. International Journal of Environmental Research and Public Health. 2018; 15(12):2782. https://doi.org/10.3390/ijerph15122782
Chicago/Turabian StyleNzila, Alexis. 2018. "Current Status of the Degradation of Aliphatic and Aromatic Petroleum Hydrocarbons by Thermophilic Microbes and Future Perspectives" International Journal of Environmental Research and Public Health 15, no. 12: 2782. https://doi.org/10.3390/ijerph15122782
APA StyleNzila, A. (2018). Current Status of the Degradation of Aliphatic and Aromatic Petroleum Hydrocarbons by Thermophilic Microbes and Future Perspectives. International Journal of Environmental Research and Public Health, 15(12), 2782. https://doi.org/10.3390/ijerph15122782

