Characteristics of Indoor PM2.5 Concentration in Gers Using Coal Stoves in Ulaanbaatar, Mongolia
Abstract
1. Introduction
2. Materials and Methods
2.1. Study Area and Participants
2.2. Calibration of the PM Monitor
2.3. Design of Measurement
2.4. Data Analyses
3. Results
3.1. Comparison of the Dylos DC1700 and MicroPEM Results
3.2. Characteristics and Indoor PM2.5 Concentrations of 60 Gers
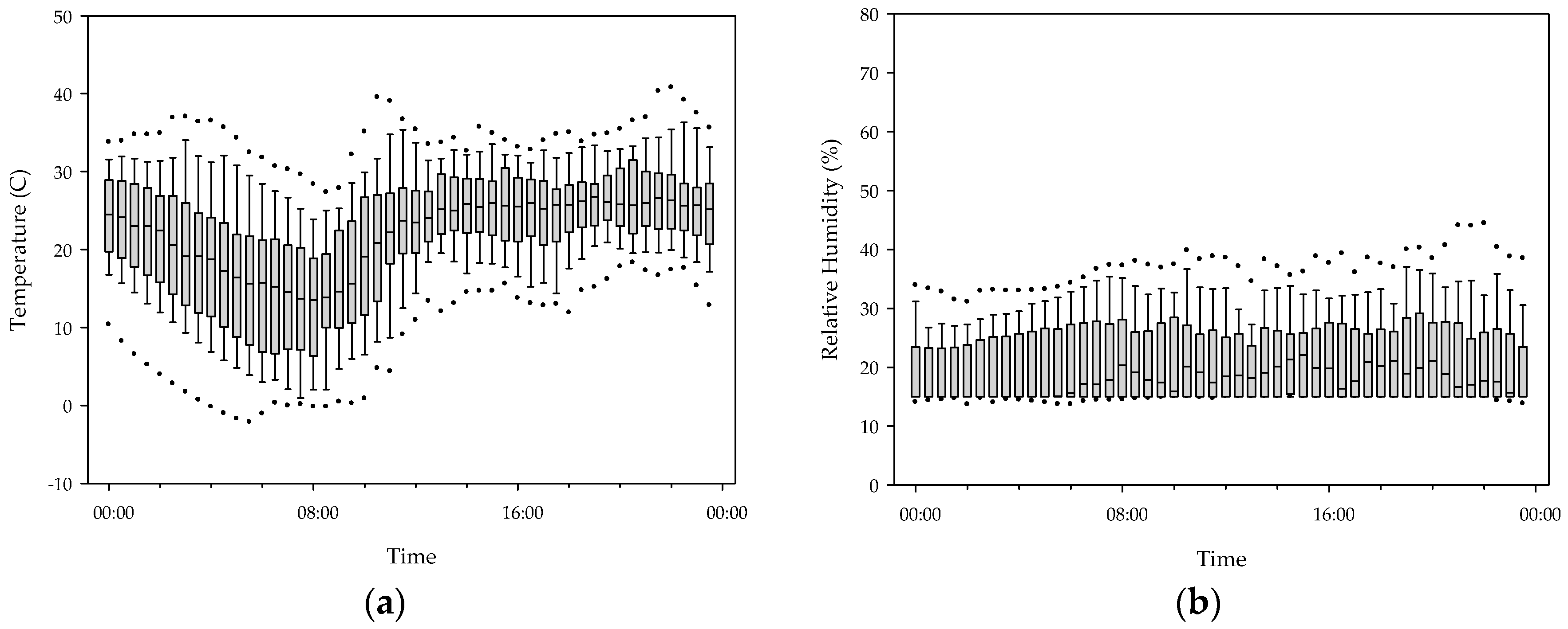
3.3. The 24 h Profiles of PM2.5, Temperature, and Relative Humidity
3.4. Temporal Profile of the Peak Frequency and Magnitude of PM2.5
4. Discussion
5. Conclusions
Author Contributions
Funding
Acknowledgments
Conflicts of Interest
References
- World Bank. Mongolia—Energy Efficient and Cleaner Heating in Poor, Peri-Urban Areas of Ulaanbaatar: Summary Report on Activities (English); World Bank: Washington, DC, USA, 2008. [Google Scholar]
- Ochir, C.; Smith, K.R. Air Pollution and Health in Ulaanbaatar; Ministry of the Environment and Green Development: Ulaanbaatar, Mongolia, 2014. [Google Scholar]
- Guttikunda, S. Urban Air Pollution Analysis for Ulaanbaatar; World Bank: Washington, DC, USA, 2007. [Google Scholar]
- Allen, R.W.; Gombojav, E.; Barkhasragchaa, B.; Byambaa, T.; Lkhasuren, O.; Amram, O.; Takaro, T.K.; Janes, C.R. An Assessment of Air Pollution and Its Attributable Mortality in Ulaanbaatar, Mongolia. Air Qual. Atmos. Health 2013, 6, 137–150. [Google Scholar] [CrossRef] [PubMed]
- Enkhbat, U.; Rule, A.M.; Resnick, C.; Ochir, C.; Olkhanud, P.; Williams, D.A.L. Exposure to PM2.5 and Blood Lead Level in Two Populations in Ulaanbaatar, Mongolia. Int. J. Environ. Res. Public Health 2016, 13, 214. [Google Scholar] [CrossRef] [PubMed]
- Ban, H.; Hwang, Y.; Lim, M.; Ochir, C.; Lee, K. Daytime Profile of Residential PM2.5 Concentrations in a Ger, a Traditional Residence in Mongolia. Korean J. Public Health 2017, 54, 23–30. [Google Scholar] [CrossRef]
- Lee, B.; Lee, J.; Jang, Y.; Kim, Y.; Ha, H.; Lee, W.; Choe, W.; Kim, K.; Woo, C.; Ochir, C.; et al. Temporal Variation of Winter Indoor PM2.5 Concentrations in Dwellings in Ger Town of Ulaanbaatar, Mongolia. Korean J. Environ. Health 2018, 44, 98–105. [Google Scholar]
- Dashnyam, U.; Warburton, N.; Brugha, R.; Tserenkh, I.; Davaasambuu, E.; Enkhtur, S.; Munkhuu, B.; Lodoysamba, S.; Dashdendev, B.; Grigg, J.; et al. Personal Exposure to Fine-particle Black Carbon Air Pollution Among Schoolchildren Living in Ulaanbaatar, Mongolia. Cent. Asian J. Med. Sci. 2015, 1, 67–74. [Google Scholar]
- Jadambaa, A.; Spickett, J.; Badrakh, B.; Norman, R.E. The Impact of the Environment on Health in Mongolia: A Systematic Review. Asia Pac. J. Public Health 2015, 27, 45–75. [Google Scholar] [CrossRef] [PubMed]
- Hill, L.D.; Edwards, R.; Turner, J.R.; Argo, Y.D.; Olkhanud, P.B.; Odsuren, M.; Guttikunda, S.; Ochir, C.; Smith, K.R. Health Assessment of Future PM2.5 Exposures from Indoor, Outdoor, and Secondhand Tobacco Smoke Concentrations Under Alternative Policy Pathways in Ulaanbaatar, Mongolia. PLoS ONE 2017, 12, e0186834. [Google Scholar] [CrossRef] [PubMed]
- World Bank. Mongolia—Air Pollution in Ulaanbaatar: Initial Assessment of Current Situation and Effects of Abatement Measures (English); World Bank: Washington, DC, USA, 2009. [Google Scholar]
- Lodoyasamba, S.; Pemberton-Pigott, C. Mitigation of Ulaanbaatar City’s Air Pollution—From Source Aportionment to Ultra-Low Emission Lignite Burning Stoves. New Dawn Engineering, 2011. Available online: https://ujcontent.uj.ac.za/vital/access/manager/Repository/uj:6245 (accessed on 12 March 2018).
- Greene, L.; Turner, J.; Edwards, R.; Cutler, N.; Duthie, M.; Rostapshova, O. Impact Evaluation Results of the MCA Mongolia Energy and Environment Project Energy-Efficient Stove Subsidy Program; Millenium Challenge Corporation: Washington, DC, USA, 2014. [Google Scholar]
- Cowlin, S.; Kaufmann, R.B.; Edwards, R.; Smith, K.R. Impact of Improved Stoves on Indoor Air Quality in Ulaanbaatar, Mongolia; World Bank: Washington, DC, USA, 2005. [Google Scholar]
- WMO. Country Profile Database: Country information: Climate; WMO: Geneva, Switzerland, 2018; Available online: https://www.wmo.int/cpdb/mongolia (accessed on 13 March 2018).
- Cho, H.; Lee, K. A New Assessment Method of Outdoor Tobacco Smoke (OTS) Exposure. Atmos. Environ. 2014, 87, 41–46. [Google Scholar] [CrossRef]
- Semple, S.; Ibrahim, A.E.; Apsley, A.; Steiner, M.; Turner, S. Using a New, Low-Cost Air Quality Sensor to Quantify Second-hand Smoke (SHS) Levels in Homes; Tobacco Control: Dublin, Ireland, 2013. [Google Scholar]
- Klepeis, N.E.; Hughes, S.C.; Edwards, R.D.; Allen, T.; Johnson, M.; Chowdhury, Z.; Smith, K.R.; Boman-Davis, M.; Bellettiere, J.; Hovell, M.F. Promoting Smoke-free Homes: A Novel Behavioral Intervention Using Real-time Audio-visual Feedback on Airborne Particle Levels. PLoS ONE 2013, 8, e73251. [Google Scholar] [CrossRef] [PubMed]
- Steinle, S.; Reis, S.; Sabel, C.E.; Semple, S.; Twigg, M.M.; Braban, C.F.; Leeson, S.R.; Heal, M.R.; Harrison, D.; Lin, C.; et al. Personal Exposure Monitoring of PM2.5 in Indoor and Outdoor Microenvironments. Sci. Total Environ. 2015, 508, 383–394. [Google Scholar] [CrossRef] [PubMed]
- Dacunto, P.J.; Klepeis, N.E.; Cheng, K.C.; Acevedo-Bolton, V.; Jiang, R.T.; Repace, J.L.; Ott, W.R.; Hildemann, L.M. Determining PM2.5 Calibration Curves for a Low-cost Particle Monitor: Common Indoor Residential Aerosols. Environ. Sci. Process. Impacts 2015, 17, 1959–1966. [Google Scholar] [CrossRef] [PubMed]
- Rovelli, S.; Cattaneo, A.; Nuzzi, C.P.; Spinazze, A.; Piazza, S.; Carrer, P.; Cavallo, D.M. Airborne Particulate Matter in School Classrooms of Northern Italy. Int. J. Environ. Res. Public Health 2014, 11, 1398–1421. [Google Scholar] [CrossRef] [PubMed]
- Spinazzè, A.; Cattaneo, A.; Scocca, D.R.; Bonzini, M.; Cavallo, D.M. Multi-metric Measurement of Personal Exposure to Ultrafine Particles in Selected Urban Microenvironments. Atmos. Environ. 2015, 110, 8–17. [Google Scholar] [CrossRef]
- Hu, W.; Downward, G.S.; Reiss, B.; Xu, J.; Bassig, B.A.; Hosgood, H.D.; Zhang, L.; Seow, W.J.; Wu, G.; Chapman, R.S.; et al. Personal and Indoor PM2.5 Exposure from Burning Solid Fuels in Vented and Unvented Stoves in a Rural Region of China with a High Incidence of Lung Cancer. Environ. Sci. Technol. 2014, 48, 8456–8464. [Google Scholar] [CrossRef] [PubMed]
- Balakrishnan, K.; Ghosh, S.; Ganguli, B.; Sambandam, S.; Bruce, N.; Barnes, D.F.; Smith, K.R. State and National Household Concentrations of PM2.5 from Solid Cookfuel Use: Results from Measurements and Modeling in India for Estimation of the Global Burden of Disease. Environ. Health 2013, 12, 77. [Google Scholar] [CrossRef] [PubMed]
- WHO. WHO Air Quality Guidelines for Particulate Matter, Ozone, Nitrogen Dioxide and Sulfur Dioxide; World Health Organization: Geneva, Switzerland, 2006. [Google Scholar]
- Maddalena, R.L.; Lunden, M.; Wilson, D.; Ceballos, C.; Kirchstetter, T.; Slack, J.L.; Dale, L. Quantifying Space Heating Stove Emissions Related to Different Use Patterns in Mongolia. Energy Environ. Res. 2014, 4, 147–157. [Google Scholar] [CrossRef]
- NSO. Minimum Temperature, by Month, by Aimags and Capital City. Mongolian Statistical Information Service, 2018. Available online: http://1212.mn (accessed on 13 March 2018).
- ASHRAE. ANSI/ASHRAE Standard 55-2013: Thermal Environmental Conditions for Human Occupancy; American Society of Heating, Refrigerating, Air Conditioning Engineers: Atlanta, GA, USA, 2013. [Google Scholar]





| Characteristic | Traditional Stove (n = 29) | Improved Stove (n = 31) | p-Value |
|---|---|---|---|
| Fuel type; Mixed fuels | 29 (100%) | 30 (96.4%) | - |
| Coal only | 0 (0%) | 1 (3.4%) | - |
| Amount of fuel (kg/day) | 13.1 ± 7.5 | 11.9 ± 5.6 | 0.681 |
| Frequency of adding fuel (event/day) | 3.5 ± 1.7 | 3.3 ± 1.9 | 0.846 |
| Use for cooking (event/day) | 2.0 ± 1.0 | 2.4 ± 1.7 | 0.433 |
| Number of family member | 4.0 ± 1.8 | 4.0 ± 1.4 | 0.539 |
| Smoking inside the ger | 3 (10.3%) | 4 (12.9%) | - |
| Temperature (°C) 1 | 22.3 ± 8.9 | 21.8 ± 8.1 | 0.105 |
| Relative humidity (%) 1 | 23.3 ± 8.8 | 18.6 ± 5.1 | 0.000 |
| PM2.5 concentration (μg/m3) | 203.9 ± 195.1 | 257.5 ± 204.4 | 0.000 |
| Indoor/Outdoor ratio of PM2.5 | 1.20 ± 0.68 | 1.50 ± 0.91 | 0.198 |
© 2018 by the authors. Licensee MDPI, Basel, Switzerland. This article is an open access article distributed under the terms and conditions of the Creative Commons Attribution (CC BY) license (http://creativecommons.org/licenses/by/4.0/).
Share and Cite
Lim, M.; Myagmarchuluun, S.; Ban, H.; Hwang, Y.; Ochir, C.; Lodoisamba, D.; Lee, K. Characteristics of Indoor PM2.5 Concentration in Gers Using Coal Stoves in Ulaanbaatar, Mongolia. Int. J. Environ. Res. Public Health 2018, 15, 2524. https://doi.org/10.3390/ijerph15112524
Lim M, Myagmarchuluun S, Ban H, Hwang Y, Ochir C, Lodoisamba D, Lee K. Characteristics of Indoor PM2.5 Concentration in Gers Using Coal Stoves in Ulaanbaatar, Mongolia. International Journal of Environmental Research and Public Health. 2018; 15(11):2524. https://doi.org/10.3390/ijerph15112524
Chicago/Turabian StyleLim, Miyoung, Sainnyambuu Myagmarchuluun, Hyunkyung Ban, Yunhyung Hwang, Chimedsuren Ochir, Delgerzul Lodoisamba, and Kiyoung Lee. 2018. "Characteristics of Indoor PM2.5 Concentration in Gers Using Coal Stoves in Ulaanbaatar, Mongolia" International Journal of Environmental Research and Public Health 15, no. 11: 2524. https://doi.org/10.3390/ijerph15112524
APA StyleLim, M., Myagmarchuluun, S., Ban, H., Hwang, Y., Ochir, C., Lodoisamba, D., & Lee, K. (2018). Characteristics of Indoor PM2.5 Concentration in Gers Using Coal Stoves in Ulaanbaatar, Mongolia. International Journal of Environmental Research and Public Health, 15(11), 2524. https://doi.org/10.3390/ijerph15112524

