Life Course Effects of Socioeconomic and Lifestyle Factors on Metabolic Syndrome and 10-Year Risk of Cardiovascular Disease: A Longitudinal Study in Taiwan Adults
Abstract
1. Introduction
2. Materials and Methods
2.1. Data Source
2.2. Study Sample
2.3. Response Variables
2.4. Explanatory Variables
2.5. Statistical Analyses
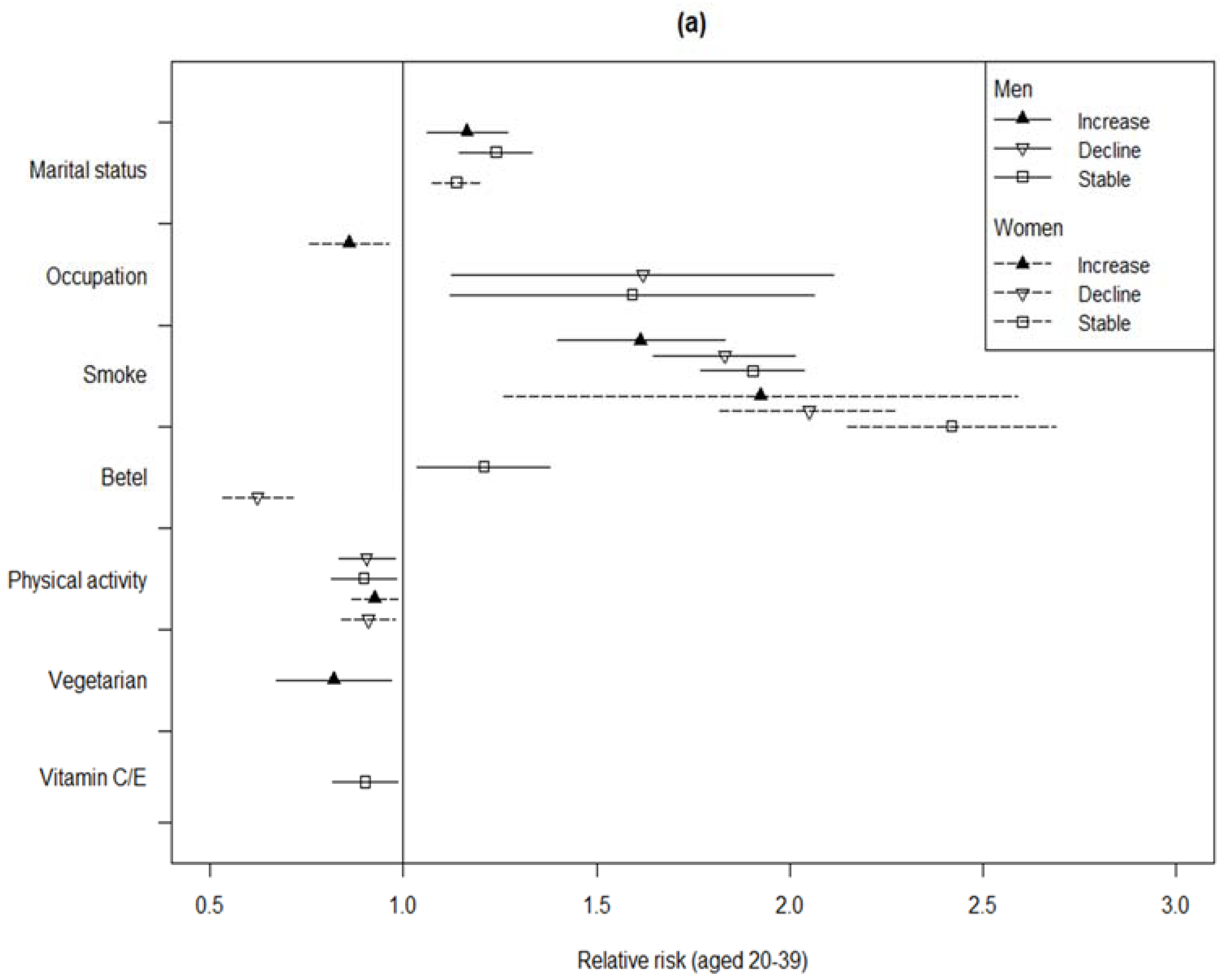
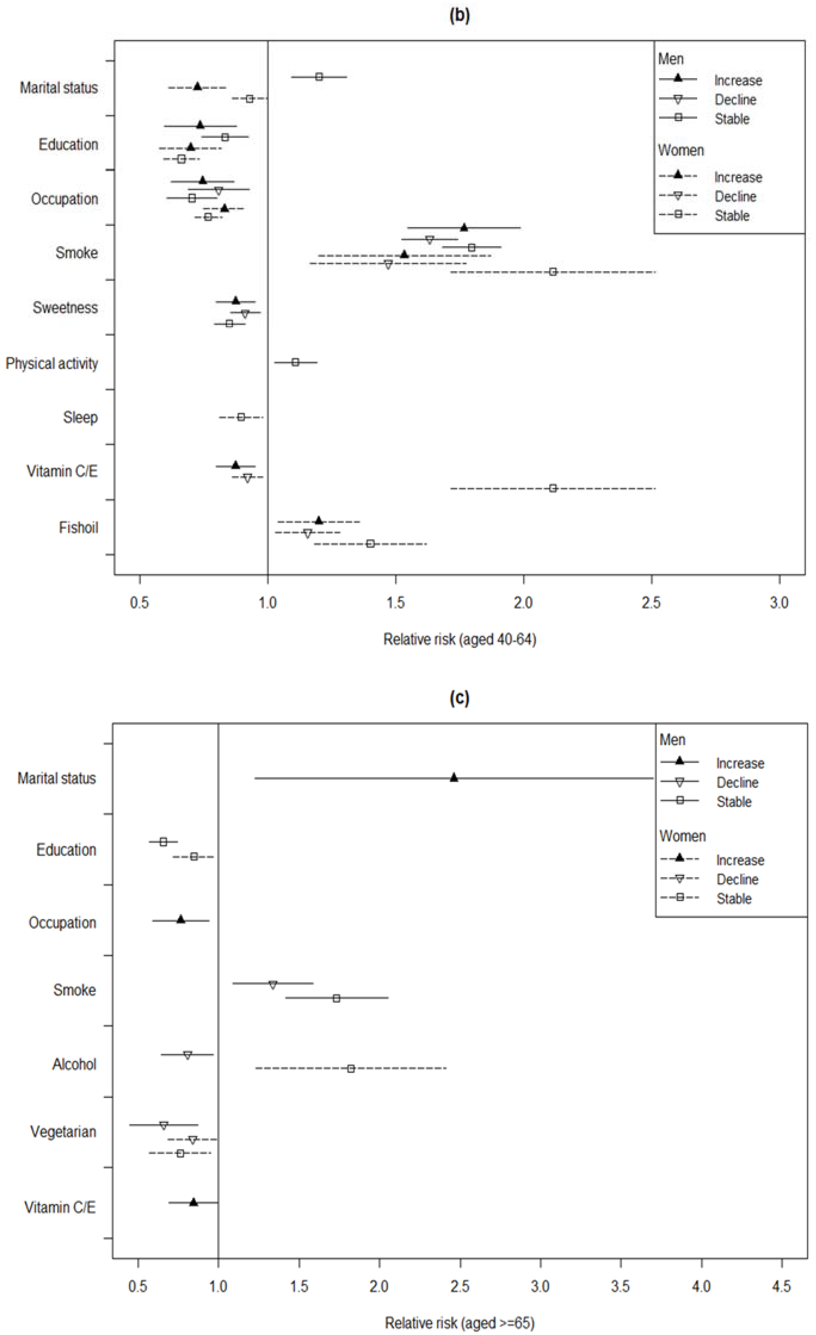
3. Results
3.1. Descriptive Statistics
3.2. Association of SES and Lifestyle Habits with Risk of MS or CVD
4. Discussion
5. Conclusions
Author Contributions
Funding
Acknowledgments
Conflicts of Interest
References
- Expert Panel on Detection, Evaluation, and Treatment of High Blood Cholesterol in Adults. JAMA 2001, 285, 2486–2497. [CrossRef]
- Laaksonen, D.E.; Lakka, H.M.; Niskanen, L.K.; Kaplan, G.A.; Salonen, J.T.; Lakka, T.A. Metabolic syndrome and development of diabetes mellitus: Application and validation of recently suggested definitions of the metabolic syndrome in a prospective cohort study. Am. J. Epidemiol. 2002, 156, 1070–1077. [Google Scholar] [CrossRef] [PubMed]
- Lorenzo, C.; Okoloise, M.; Williams, K.; Stern, M.P.; Haffner, S.M. The metabolic syndrome as predictor of type 2 diabetes: The San Antonio heart study. Diabetes Care 2003, 26, 3153–3159. [Google Scholar] [CrossRef] [PubMed]
- Eckel, R.H.; Grundy, S.M.; Zimmet, P.Z. The metabolic syndrome. Lancet 2015, 365, 1415–1428. [Google Scholar] [CrossRef]
- Wannamethee, S.G.; Shaper, A.G.; Lennon, L.; Morris, R.W. Metabolic Syndrome vs. Framingham Risk Score for Prediction of Coronary Heart Disease, Stroke, and Type 2 Diabetes Mellitus. Arch. Intern. Med. 2006, 165, 2644–2650. [Google Scholar] [CrossRef] [PubMed]
- He, Y.; Jiang, B.; Wang, J.; Feng, K.; Chang, Q.; Fan, L.; Li, X.; Hu, F.B. Prevalence of the metabolic syndrome and its relation to cardiovascular disease in an elderly Chinese population. J. Am. Coll. Cardiol. 2006, 47, 1588–1594. [Google Scholar] [CrossRef] [PubMed]
- Grundy, S.M. Metabolic syndrome pandemic. Arterioscler. Thomb. Vasc. Biol. 2008, 28, 629–636. [Google Scholar] [CrossRef] [PubMed]
- Sun, F.; Zhan, S.Y.; Tao, Q.S. An accurate risk score for estimation 5-year risk of type 2 diabetes based on a health screening population in Taiwan. Diabetes Res. Clin. Pract. 2009, 3, 90–95. [Google Scholar] [CrossRef] [PubMed]
- Mottillo, S.; Filion, K.B.; Genest, J.; Joseph, L.; Pilote, L.; Poirier, P.; Rinfret, S.; Schiffrin, E.L.; Eisenberg, M.J. The metabolic syndrome and cardiovascular risk: A systematic review and meta-analysis. J. Am. Coll. Cardiol. 2010, 56, 1113–1132. [Google Scholar] [CrossRef] [PubMed]
- Jahangiry, L.; Shojaeizadeh, D.; Montazeri, A.; Najafi, M.; Mohammad, K.; Farhangi, M.A. Modifiable lifestyle risk factors and metabolic syndrome: Opportunities for a web based preventive program. J. Res. Health Sci. 2014, 14, 303–307. [Google Scholar] [PubMed]
- Holme, I.; Tonstad, S.; Sogaard, A.J.; Larsen, P.G.; Haheim, L.L. Leisure time physical activity in middle age predicts the metabolic syndrome in old age: Results of a 28-year follow-up of men in the Oslo study. BMC Public Health 2007, 7, 154. [Google Scholar] [CrossRef] [PubMed]
- Racette, S.B.; Deusinger, S.S.; Inman, C.L.; Burlis, T.L.; Highstein, G.R.; Buskirk, T.D.; Steger-May, K.; Peterson, L.R. Worksite Opportunities for Wellness (WOW): Effects on cardiovascular disease risk factors after 1 year. Prev. Med. 2009, 49, 108–114. [Google Scholar] [CrossRef] [PubMed]
- Kim, J.; Choi, YH. Physical activity, dietary vitamin C, and metabolic syndrome in Korean adults: The Korea National Health and Nutrition Examination Survey 2008 to 2012. Public Health 2016, 135, 30–37. [Google Scholar] [CrossRef] [PubMed]
- Li, Y.; Guo, H.; Wu, M.; Liu, M. Serum and dietary antioxidant status is associated with lower prevalence of the metabolic syndrome in a study in Shanghai, China. Asia. Pac. J. Clin. Nutr. 2013, 22, 60–68. [Google Scholar] [PubMed]
- Suzuki, K.; Ito, Y.; Inoue, T.; Hamajima, N. Inverse association of serum carotenoids with prevalence of metabolic syndrome among Japanese. Clin. Nutr. 2011, 30, 69–75. [Google Scholar] [CrossRef] [PubMed]
- Johnston, C.S.; Corte, C.; Swan, P.D. Marginal vitamin C status is associated with reduced fat oxidation during submaximal exercise in young adults. Nutr. Metab. 2006, 3, 35. [Google Scholar] [CrossRef] [PubMed]
- Loucks, E.B.; Magnusson, K.T.; Cook, S.; Rehkopf, D.H.; Ford, E.S.; Berkman, L.F. Socioeconomic position and the metabolic syndrome in early, middle, and late life: Evidence from NHANES 1999–2002. Ann. Epidemiol. 2007, 17, 782–790. [Google Scholar] [CrossRef] [PubMed]
- Loucks, E.B.; Rehkopf, D.H.; Thurston, R.C.; Kawachi, I. Socioeconomic disparities in metabolic syndrome differ by gender: Evidence from NHANES III. Ann. Epidemiol. 2007, 17, 19–26. [Google Scholar] [CrossRef] [PubMed]
- Marquezine, G.F.; Oliveira, C.M.; Pereira, A.C.; Krieger, J.E.; Mill, J.G. Metabolic syndrome determinants in an urban population from Brazil: Social class and gender-specific interaction. Int. J. Cardiol. 2008, 129, 259–265. [Google Scholar] [CrossRef] [PubMed]
- Yoo, S.; Cho, H.J.; Khang, Y.H. General and abdominal obesity in South Korea, 1998–2007: Gender and socioeconomic differences. Prev. Med. 2010, 51, 460–465. [Google Scholar] [CrossRef] [PubMed]
- Kim, J.Y.; Kim, S.H.; Cho, Y.J. Socioeconomic status in association with metabolic syndrome and coronary heart disease risk. Korean J. Fam. Med. 2013, 34, 131–138. [Google Scholar] [CrossRef] [PubMed]
- Kuh, D.; Ben-Shlomo, Y.; Lynch, J.; Hallqvist, J.; Power, C. Life course epidemiology. J. Epidemiol. Community Health 2003, 57, 778–783. [Google Scholar] [CrossRef] [PubMed]
- Camelo, L.V.; Giatti, L.; Chor, D.; Griep, R.H.; Benseñor, I.M.; Santos, I.S.; Kawachi, I.; Barreto, S.M. Associations of life course socioeconomic position and job stress with carotid intima-media thickness. The Brazilian Longitudinal Study of Adult Health (ELSA-Brasil). Soc. Sci. Med. 2015, 141, 91–99. [Google Scholar] [CrossRef] [PubMed]
- Tiikkaja, S.; Hemström, Ö.; Vågerö, D. Intergenerational class mobility and cardiovascular mortality among Swedish women: A population-based register study. Soc Sci Med. 2009, 68, 733–739. [Google Scholar] [CrossRef] [PubMed]
- Hoffmann, R.; Kröger, H.; Pakpahan, E. Pathways between socioeconomic status and health: Does health selection or social causation dominate in Europe? Adv. Life Course Res. 2018, 36, 23–36. [Google Scholar] [CrossRef]
- Karlamangla, A.S.; Singer, B.H.; Williams, D.R.; Schwartz, J.E.; Matthews, K.A.; Kiefe, C.I.; Seeman, T.E. Impact of socioeconomic status on longitudinal accumulation of cardiovascular risk in young adults: The CARDIA Study (USA). Soc. Sci. Med. 2005, 60, 999–1015. [Google Scholar] [CrossRef] [PubMed]
- De Sousa Andrade, D.R.; Camelo, L.V.; dos Reis, R.C.P.; Santos, I.S.; Ribeiro, A.L.; Giatti, L.; Barreto, S.M. Life course socioeconomic adversities and 10-year risk of cardiovascular disease: Cross-sectional analysis of the Brazilian Longitudinal Study of Adult Health. Int. J. Public Health. 2017, 62, 283–292. [Google Scholar] [CrossRef] [PubMed]
- Yang, X.; Tao, Q.; Sun, F.; Zhan, S. The impact of socioeconomic status on the incidence of metabolic syndrome in a Taiwanese health screening population. Int. J. Public Health 2012, 57, 551–559. [Google Scholar] [CrossRef] [PubMed]
- Huang, K.C.; Lee, L.T.; Chen, C.Y.; Sung, P.K. All-cause and cardiovascular disease mortality increased with metabolic syndrome in Taiwanese. Obesity 2008, 1, 1–6. [Google Scholar] [CrossRef] [PubMed]
- Grundy, S.M.; Cleeman, J.I.; Daniels, S.R.; Donato, K.A.; Eckel, R.H.; Franklin, B.A.; Gordon, D.J.; Krauss, R.M.; Savage, P.J.; Smith, S.C.; et al. Diagnosis and management of the metabolic syndrome: An American Heart Association/National Heart, Lung, and Blood Institute Scientific Statement. Circulation 2005, 112, 2735–2752. [Google Scholar] [CrossRef] [PubMed]
- Liu, J.; Hong, Y.; D’Agostino, R.B.; Wu, Z.; Wang, W.; Sun, J.; Wilson, P.W.F.; Kannel, W.B.; Zhao, D. Predictive value for the Chinese population of the Framingham CHD risk assessment tool compared with the Chinese Multi-Provincial Cohort Study. JAMA 2004, 291, 2735–2752. [Google Scholar] [CrossRef] [PubMed]
- Kaur, J. A Comprehensive Review on Metabolic Syndrome. Cardiol. Res. Pract. 2014, 943162. [Google Scholar] [CrossRef] [PubMed]
- Li, H.; Yan, X.; Deng, X.; Yang, L.; Zhao, S.; Zou, J.; Luo, Y.; Cao, S. Magnitude of and gender differences in cardiovascular risk profiles among community residents in Shenzhen, China. Public Health 2017, 147, 59–65. [Google Scholar] [CrossRef] [PubMed]
- Karlamangla, A.S.; Merkin, S.S.; Crimmins, E.M.; Seeman, T.E. Socioeconomic and ethnic disparities in cardiovascular risk in the United States, 2001–2006. Ann. Epidemiol. 2010, 20, 617–662. [Google Scholar] [CrossRef] [PubMed]
- Galobardes, B.; Smith, G.D.; Lynch, J.W. Systematic review of the influence of childhood socioeconomic circumstances on risk for cardiovascular disease in adulthood. Ann. Epidemiol. 2006, 16, 91–104. [Google Scholar] [CrossRef] [PubMed]
- Power, C.; Atherton, K.; Strachan, D.; Shepherd, P.; Fuller, E.; Davis, A. Life-course influences on health in British adults: Effects of socio-economic position in childhood and adulthood. Int. J. Epidemiol. 2007, 36, 532–539. [Google Scholar] [CrossRef] [PubMed]
- Danese, A.; McEwen, B.S. Adverse childhood experiences, allostasis, allostatic load, and age-related disease. Physiol. Behav. 2012, 106, 29–39. [Google Scholar] [CrossRef] [PubMed]
- Zhang, Z.; Hayward, M.D. Gender, the Marital Life Course, and Cardiovascular Disease in Late Midlife. J. Marriage Fam. 2006, 68, 639–657. [Google Scholar] [CrossRef]
- Lam, J.C.; Ip, M.S. Sleep and the metabolic syndrome. Indian. J. Med. Res. 2010, 131, 206–216. [Google Scholar] [PubMed]
- Maume, D.; Hewitt, B.; Ruppanner, L. Gender equality and restless sleep among partnered Europeans. J. Marriage Fam. 2018, 80. [Google Scholar] [CrossRef]
- Taylor, S.E.; Klein, L.C.; Lewis, B.P.; Gruenewald, T.L.; Gurung, R.A.; Updegraff, J.A. Biobehavioral responses to stress in females: Tend-and-befriend, not fight-or-flight. Psychol. Rev. 2000, 107, 411–429. [Google Scholar] [CrossRef] [PubMed]
- Chau, J.Y.; Grunseit, A.C.; Chey, T.; Stamatakis, E.; Brown, W.J.; Matthews, C.E.; Bauman, A.E.; Van der Ploeg, H.P. Daily Sitting Time and All-Cause Mortality: A Meta-Analysis. PLoS ONE 2013, 8, e80000. [Google Scholar] [CrossRef] [PubMed]
- Hamer, M.; Sabia, S.; Batty, G.D.; Shipley, M.J.; Tabak, A.G.; Singh-Manoux, A.; Kimaki, M. Physical activity and inflammatory markers over 10 years: Follow-up in men and women from the Whitehall II cohort study. Circulation 2012, 126, 928–933. [Google Scholar] [CrossRef] [PubMed]
- William, L.; Lee, I.M.; Pate, R.R.; Powell, K.E.; Blair, S.N.; Franklin, B.A.; Macera, C.A. Physical Activity and Public Health: Updated Recommendation for Adults From the American College of Sports Medicine and the American Heart Association. Circulation 2007, 116, 1081–1093. [Google Scholar]
- Shafique, K.; Zafar, M.; Ahmed, Z.; Khan, N.A.; Mughal, M.A.; Imtiaz, F. Areca nut chewing and metabolic syndrome: Evidence of a harmful relationship. Nutr. J. 2013, 12, 67. [Google Scholar] [CrossRef] [PubMed]
- Ando, K.; Fujita, T. Metabolic syndrome and oxidative stress. Free Radic. Biol. Med. 2009, 47, 213–218. [Google Scholar] [CrossRef] [PubMed]
- Mandavia, C.H.; Pulakat, L.; DeMarco, V.; Sowers, J.R. Overnutrition and metabolic cardiomyopathy. Metabolism 2012, 61, 1205–1210. [Google Scholar] [CrossRef] [PubMed]
- Monsen, E.R. Dietary reference intakes for the antioxidant nutrients: Vitamin C, vitamin E, selenium, and carotenoids. J. Am. Diet. Assoc. 2000, 100, 637–640. [Google Scholar] [CrossRef]
- United States Department of Agriculture Research Service. Available online: http://ndb.nal.usda.gov/ (accessed on 3 August 2018).
- Steele, R.M.; Brage, S.; Corder, K.; Wareham, N.J.; Ekelund, U. Physical activity, cardiorespiratory fitness, and the metabolic syndrome in youth. J. Appl. Physiol. 2008, 105, 342–351. [Google Scholar] [CrossRef] [PubMed]
- Pollitt, R.A.; Rose, K.M.; Kaufman, J.S. Evaluating the evidence for models of life course socioeconomic factors and cardiovascular outcomes: A systematic review. BMC Public Health 2005, 20, 7. [Google Scholar] [CrossRef] [PubMed]


| Characteristics | MS in 2006–2008 | MS in 2009–2011 | MS in 2012–2014 |
|---|---|---|---|
| n (%) | n (%) | n (%) | |
| Sex | |||
| Male | 2097 (31.70) | 2555 (38.62) | 2956 (44.68) |
| Female | 799 (12.77) | 1031 (16.60) | 1327 (21.37) |
| Age (years) | |||
| 20–39 | 863 (13.14) | 856 (16.84) | 735 (19.77) |
| 40–64 | 1741 (29.95) | 2299 (32.32) | 2966 (35.83) |
| ≥65 | 292 (65.47) | 431 (68.74) | 582 (70.21) |
| Socioeconomic status | |||
| Marital status | |||
| Unmarried | 572 (17.11) | 639 (22.37) | 723 (28.17) |
| Married | 2324 (24.51) | 2947 (29.56) | 3560 (34.70) |
| Education (years) | |||
| <12 | 448 (52.03) | 513 (59.51) | 570 (65.74) |
| 12–15 | 1135 (21.76) | 1429 (28.16) | 1666 (33.49) |
| ≥16 | 1313 (19.45) | 1644 (23.87) | 2047 (29.31) |
| Income (NTD/year) | 378 (26.81) | 434 (33.80) | 550 (42.80) |
| <400,000 | 649 (19.42) | 785 (26.45) | 828 (30.53) |
| 400,000–800,000 | 1869 (23.15) | 2367 (27.61) | 2905 (32.91) |
| >800,000 | |||
| Occupation | |||
| Unemployment | 634 (29.71) | 787 (35.24) | 999 (42.37) |
| Managed | 443 (28.00) | 550 (32.62) | 696 (39.08) |
| Non-managed | 1819 (19.97) | 2249 (25.25) | 2588 (29.80) |
| Life style | |||
| Smoke (pack /week) | |||
| None | 2353 (21.32) | 2977 (26.41) | 3640 (31.89) |
| 1–6 | 421 (28.47) | 475 (36.43) | 499 (43.26) |
| ≥7 | 122 (39.61) | 134 (53.82) | 144 (56.69) |
| Alcohol (cup/week) | |||
| None | 2332 (20.84) | 2932 (26.17) | 3504 (31.46) |
| 1–6 | 260 (29.78) | 323 (37.65) | 387 (42.02) |
| ≥7 | 304 (39.95) | 331 (43.27) | 392 (51.17) |
| Sweetened beverage (cup/week) | |||
| None | 981 (25.00) | 1713 (31.21) | 2249 (35.33) |
| 1–6 | 1370 (22.24) | 1420 (26.20) | 1549 (31.64) |
| ≥7 | 545 (19.89) | 453 (23.63) | 485 (31.03) |
| Chewing betel nut | |||
| No | 2699 (21.87) | 3359 (27.10) | 4050 (32.66) |
| Yes | 197 (40.87) | 227 (52.91) | 233 (55.08) |
| Physical activity (h/week) | |||
| <1 | 961 (18.63) | 1427 (24.49) | 1653 (31.02) |
| 1–6 | 1757 (24.33) | 1810 (29.99) | 2226 (34.14) |
| ≥7 | 178 (39.91) | 349 (36.28) | 404 (41.39) |
| Sleep (h/day) | |||
| <6 | 637 (25.24) | 892 (31.11) | 1210 (37.51) |
| 6 | 2075 (21.89) | 1862 (28.38) | 2117 (32.57) |
| ≥7 | 184 (22.36) | 832 (24.48) | 956 (30.85) |
| Vegetarian diet | |||
| Yes | 61 (18.77) | 70 (18.82) | 97 (23.15) |
| No | 2835 (22.68) | 3516 (28.23) | 4186 (33.74) |
| Vitamin C, E intake | |||
| Yes | 474 (19.94) | 496 (23.85) | 577 (29.85) |
| No | 2422 (23.18) | 3090 (28.76) | 3706 (34.02) |
| Fish oil | |||
| Yes | 304 (33.85) | 369 (36.79) | 527 (39.56) |
| No | 2592 (21.73) | 3217 (27.21) | 3756 (32.68) |
| Indicators | MS in 2006–2008 | MS in 2009–2011 | MS in 2012–2014 |
|---|---|---|---|
| n (%) | n (%) | n (%) | |
| BMI | |||
| <24 | 942 (11.14) | 1145 (14.13) | 1359 (17.64) |
| 24–26.9 | 978 (33.53) | 1280 (41.78) | 1483 (45.84) |
| ≥27 | 976 (67.17) | 1161 (70.02) | 1441 (76.49) |
| Waist (cm) | |||
| <80(F); <90(M) | 1582 (14.37) | 1989 (18.41) | 2300 (22.08) |
| Otherwise | 1314 (72.24) | 1597 (79.06) | 1983 (82.28) |
| Fasting glucose (mg/dL) | |||
| <100 | 657 (7.69) | 743 (9.68) | 768 (11.34) |
| ≥100 | 2239 (52.24) | 2843 (55.24) | 3515 (58.10) |
| Triglyceride (mg/dL) | |||
| <150 | 1475 (13.98) | 1836 (17.73) | 2305 (22.62) |
| ≥150 | 1421 (62.52) | 1750 (70.91) | 1978 (75.09) |
| HDL (mg/dL) | |||
| ≥40 (M); ≥50(F) | 2367 (22.47) | 3213 (27.85) | 3807 (33.22) |
| Otherwise | 529 (23.09) | 373 (28.98) | 476 (34.87) |
| LDL (mg/dL) | |||
| <130 | 1771 (19.19) | 2372 (24.67) | 2359 (27.98) |
| ≥130 | 1125 (31.28) | 1214 (37.81) | 1924 (43.79) |
| TC (mg/dL) | |||
| <200 | 1340 (16.85) | 1650 (21.56) | 1960 (27.15) |
| 200–239 | 1156 (29.44) | 1463 (35.13) | 1775 (40.10) |
| ≥240 | 400 (42.24) | 473 (47.02) | 548 (46.44) |
| Hypertension | |||
| Normal | 1088 (10.59) | 1537 (15.09) | 1911 (19.47) |
| High normal | 975 (63.93) | 1109 (72.82) | 1210 (74.46) |
| Phase 1 | 679 (80.26) | 779 (83.76) | 940 (82.89) |
| Phase 2–3 | 147 (84.48) | 153 (86.44) | 217 (88.21) |
| Other | 7 (77.78) | 8 (88.89) | 5 (71.43) |
| Medicine | |||
| Antihyperglycemic drug | |||
| Yes | 188 (100.00) | 282 (100.00) | 372 (100.00) |
| No | 2708 (21.43) | 3304 (26.34) | 3911 (31.41) |
| Antihyperlipidemic drug | |||
| Yes | 184 (100.00) | 300 (100.00) | 410 (100.00) |
| No | 2712 (21.45) | 3286 (26.24) | 3873 (31.20) |
| Antihypertensive drug | |||
| Yes | 733 (100.00) | 995 (100.00) | 1237 (100.00) |
| No | 2163 (17.89) | 2591 (21.90) | 3046 (26.29) |
| Framingham CVD score | |||
| Mean (standard deviation) | 0.014 (0.015) | 0.014 (0.014) | 0.015 (0.016) |
| Medium | 0.009 | 0.009 | 0.010 |
| Heading | Without MS in 2006–2008 (n = 9929) | MS in 2006–2008 (n = 2896) | ||||||
|---|---|---|---|---|---|---|---|---|
| Worse (NNP/NPP vs NNN) | Unstable (NPN vs NNN) | Improve (PNN/PPN vs PPP) | Unstable (PNP vs PPP) | |||||
| AOR | 95% CI | AOR | 95% CI | AOR | 95% CI | AOR | 95% CI | |
| Male (vs female) | 2.30 | (1.99, 2.65) | 3.01 | (2.32, 3.89) | 1.05 | (0.71, 1.55) | 0.88 | (0.63, 1.21) |
| Age in 2006–2008 (vs 20–39) | ||||||||
| 40–64 | 1.67 | (1.44, 1.95) | 1.55 | (1.17, 2.05) | 0.51 | (0.36, 0.72) | 0.80 | (0.52, 1.20) |
| ≥65 | 2.25 | (1.50, 3.28) | 3.30 | (1.80, 6.02) | 0.47 | (0.26, 0.86) | 0.42 | (0.21, 0.87) |
| BMI (vs Normal) | ||||||||
| Increase | 5.51 | (4.71, 6.44) | 2.69 | (1.98, 3.66) | 0.19 | (0.12, 0.30) | 1.01 | (0.66, 1.56) |
| Decline | 1.09 | (0.74, 1.59) | 1.62 | (0.96, 2.71) | 1.44 | (0.98, 2.11) | 1.00 | (0.54, 1.68) |
| Stable overweight/obesity | 6.24 | (5.36, 7.28) | 4.03 | (3.10, 5.25) | 0.23 | (0.17, 0.31) | 0.54 | (0.38, 0.77) |
| Unstable condition | 3.39 | (2.53, 4.55) | 5.49 | (3.68, 8.16) | 0.51 | (0.31, 0.85) | 0.74 | (0.38, 1.42) |
| Socioeconomics | ||||||||
| Marital status (vs unmarried) | ||||||||
| Get married | 1.02 | (0.79, 1.31) | 1.03 | (0.66, 1.60) | 0.62 | (0.34, 1.13) | 0.93 | (0.48, 1.79) |
| Divorced/widowed | 1.06 | (0.66, 1.70) | 1.39 | (0.67, 2.90) | 0.71 | (0.29, 1.71) | 0.55 | (0.18, 1.70) |
| Married | 0.97 | (0.81, 1.16) | 0.92 | (0.67, 1.25) | 0.87 | (0.61, 1.22) | 0.88 | (0.58, 1.32) |
| Unstable condition | 1.08 | (0.41, 2.82) | 4.11 | (1.44, 11.68) | 0.77 | (0.58, 1.32) | <0.001 | - |
| Education (vs <12 years) | ||||||||
| Increase | 0.45 | (0.28, 0.73) | 0.60 | (0.26, 1.40) | 1.46 | (0.58, 3.66) | 2.18 | (0.81, 5.89) |
| Stable medium/high education | 0.48 | (0.35, 0.66) | 0.61 | (0.35, 1.07) | 1.17 | (0.70, 1.94) | 1.31 | (0.73, 2.33) |
| Others | 0.56 | (0.30, 1.02) | 0.62 | (0.21, 1.81) | 0.88 | (0.29, 2.69) | 0.89 | (0.23, 3.43) |
| Income (vs <400,000 NTD) | ||||||||
| Increase | 1.11 | (0.78, 1.59) | 1.43 | (0.76,2.72) | 0.86 | (0.44, 1.67) | 0.67 | (0.39, 1.31) |
| Decline | 1.16 | (0.79, 1.68) | 1.40 | (0.72,2.73) | 1.24 | (0.64, 2.41) | 0.54 | (0.26, 1.15) |
| Stable medium/high income | 1.07 | (0.76, 1.50) | 1.17 | (0.63,2.18) | 0.94 | (0.51, 1.74) | 0.46 | (0.24, 0.87) |
| Unstable condition | 0.89 | (0.61, 1.31) | 0.94 | (0.46,1.89) | 1.54 | (0.79, 3.02) | 0.89 | (0.44, 1.81) |
| Occupation (vs unemployed) | ||||||||
| Promotion | 0.65 | (0.47, 0.89) | 0.75 | (0.43, 1.31) | 1.76 | (0.93, 3.33) | 1.03 | (0.51, 2.06) |
| Demotion | 0.90 | (0.67, 1.17) | 0.60 | (0.35, 1.03) | 1.35 | (0.78, 2.36) | 0.60 | (0.43, 1.31) |
| Stable position | 0.68 | (0.54, 0.86) | 0.85 | (0.56, 1.29) | 1.18 | (0.72, 1.93) | 0.64 | (0.38, 1.08) |
| Unstable condition | 0.71 | (0.51, 1.00) | 0.93 | (0.53, 1.64) | 1.29 | (0.64, 2.59) | 0.65 | (0.29, 1.45) |
| Lifestyle | ||||||||
| Smoking (vs none) | ||||||||
| Increase | 0.64 | (0.39, 1.04) | 0.60 | (0.23, 1.55) | 1.74 | (0.85, 3.54) | 0.38 | (0.09, 1.65) |
| Decline | 1.10 | (0.83, 1.45) | 1.26 | (0.80, 1.97) | 1.17 | (0.71, 1.94) | 1.24 | (0.69, 2.22) |
| Stable intake | 1.19 | (0.95, 1.47) | 1.30 | (0.91, 1.87) | 0.58 | (0.38, 0.89) | 0.89 | (0.56, 1.40) |
| Unstable condition | 0.89 | (0.54, 1.49) | 1.00 | (0.41, 2.38) | 0.40 | (0.15, 1.06) | 0.41 | (0.12, 1.46) |
| Alcohol intake (vs none) | ||||||||
| Increase | 1.17 | (0.92, 1.49) | 0.99 | (0.66, 1.50) | 0.92 | (0.58, 1.48) | 0.99 | (0.56, 1.75) |
| Decline | 1.00 | (0.76, 1.29) | 0.73 | (0.45, 1.18) | 1.33 | (0.86, 2.06) | 0.99 | (0.56, 1.75) |
| Stable intake | 1.69 | (1.22, 2.33) | 0.67 | (0.33, 1.37) | 0.58 | (0.33, 1.01) | 0.76 | (0.39, 1.46) |
| Unstable condition | 0.96 | (0.72, 1.29) | 0.74 | (0.44, 1.26) | 0.83 | (0.50, 1.37) | 1.35 | (0.80, 2.27) |
| Sweetened beverage intake (vs none) | ||||||||
| Increase | 1.20 | (0.94, 1.52) | 1.13 | (0.76, 1.69) | 1.17 | (0.75, 1.88) | 1.57 | (0.92, 2.67) |
| Decline | 1.11 | (0.92, 1.34) | 1.08 | (0.79, 1.48) | 0.97 | (0.69, 1.37) | 0.98 | (0.64, 1.51) |
| Stable intake | 1.17 | (0.96, 1.44) | 0.99 | (0.70, 1.42) | 1.21 | (0.82, 1.77) | 1.33 | (0.84, 2.12) |
| Unstable condition | 1.17 | (0.95, 1.45) | 1.00 | (0.69, 1.45) | 1.00 | (0.66, 1.48) | 1.23 | (0.76, 1.99) |
| Betel nut chewing (vs none) | ||||||||
| Increase | 1.19 | (0.63, 2.28) | 1.07 | (0.36, 3.18) | 1.25 | (0.37, 4.16) | 0.42 | (0.05, 3.45) |
| Decline | 1.34 | (0.76, 2.33) | 0.58 | (0.17, 1.96) | 0.90 | (0.35, 2.34) | 1.23 | (0.50, 3.04) |
| Stable intake | 1.40 | (0.94, 2.08) | 1.44 | (0.75, 2.75) | 1.45 | (0.78, 2.70) | 0.78 | (0.35, 1.78) |
| Unstable condition | 1.38 | (0.73, 2.60) | 0.86 | (0.25, 2.94) | 0.55 | (0.15, 2.05) | 0.27 | (0.04, 2.15) |
| Physical activity (vs none) | ||||||||
| Increase | 0.89 | (0.73, 1.08) | 0.99 | (0.70, 1.40) | 1.43 | (0.95, 2.16) | 0.92 | (0.57, 1.48) |
| Decline | 0.95 | (0.78, 1.15) | 0.90 | (0.63, 1.28) | 1.74 | (1.16, 2.60) | 1.15 | (0.73, 1.81) |
| Stable medium/high | 0.80 | (0.66, 0.97) | 1.06 | (0.77, 1.47) | 1.54 | (1.04, 2.27) | 1.03 | (0.66, 1.60) |
| Unstable condition | 0.85 | (0.70, 1.04) | 0.91 | (0.64, 1.29) | 1.05 | (0.69, 1.60) | 0.81 | (0.50, 1.30) |
| Sleep (vs <6 h) | ||||||||
| Increase | 1.02 | (0.81, 1.29) | 1.53 | (0.99, 2.37) | 1.12 | (0.72, 1.75) | 1.27 | (0.74, 2.18) |
| Decline | 0.91 | (0.70, 1.17) | 1.37 | (0.85, 2.21) | 0.97 | (0.60, 1.57) | 1.20 | (0.67, 2.13) |
| Stable medium/high | 0.94 | (0.75, 1.181 | 1.18 | (0.77, 1.83) | 1.18 | (0.77, 1.83) | 1.38 | (0.82, 2.34) |
| Unstable condition | 0.88 | (0.69, 1.13) | 1.03 | (0.65, 1.65) | 0.92 | (0.57, 1.48) | 1.36 | (0.77, 2.39) |
| Vegetarian diet (vs not) | ||||||||
| Increase | 1.12 | (0.67, 1.88) | 1.19 | (0.51, 2.81) | 2.39 | (0.78, 7.31) | 1.69 | (0.42, 6.80) |
| Decline | 0.63 | (0.29, 1.36) | 1.19 | (0.40, 3.53) | 0.27 | (0.03, 2.36) | 0.79 | (0.15, 4.10) |
| Stable intake | 0.61 | (0.37, 1.01) | 0.43 | (0.15, 1.20) | 2.81 | (1.21, 6.55) | 3.03 | (1.19, 7.75) |
| Unstable condition | 0.84 | (0.35, 2.01) | 0.49 | (0.07, 3.67) | <0.001 | - | 0.78 | (0.09, 6.56) |
| Vitamin C, E intake (vs none) | ||||||||
| Increase | 0.97 | (0.78, 1.21) | 0.95 | (0.65, 1.40) | 1.26 | (0.84, 1.88) | 1.67 | (1.05, 2.67) |
| Decline | 0.84 | (0.69, 1.06) | 0.72 | (0.50, 1.04) | 1.20 | (0.83, 1.74) | 1.32 | (0.85, 2.03) |
| Stable intake | 0.97 | (0.79, 1.19) | 1.18 | (0.84, 1.65) | 1.68 | (1.12, 2.52) | 1.42 | (0.87, 2.31) |
| Unstable condition | 0.81 | (0.39, 1.23) | 1.71 | (0.98, 3.01) | 1.37 | (0.71, 2.67) | 1.11 | (0.45, 2.78 |
| Fish oil intake (vs none) | ||||||||
| Increase | 1.10 | (0.87, 1.39) | 1.07 | (0.72, 1.58) | 0.76 | (0.49, 1.17) | 0.73 | (0.43, 1.25) |
| Decline | 1.34 | (0.99, 1.81) | 0.96 | (0.55, 1.65) | 0.67 | (0.37, 1.17) | 0.84 | (0.44, 1.60) |
| Stable intake | 1.10 | (0.67, 1.79) | 0.98 | (0.41, 2.34) | 1.05 | (0.43, 1.25) | 0.51 | (0.18, 1.47) |
| Unstable condition | 0.93 | (0.66, 1.31) | 0.83 | (0.45, 1.52) | 0.84 | (0.48, 1.47) | 0.85 | (0.43, 1.68) |
© 2018 by the authors. Licensee MDPI, Basel, Switzerland. This article is an open access article distributed under the terms and conditions of the Creative Commons Attribution (CC BY) license (http://creativecommons.org/licenses/by/4.0/).
Share and Cite
Liao, C.-M.; Lin, C.-M. Life Course Effects of Socioeconomic and Lifestyle Factors on Metabolic Syndrome and 10-Year Risk of Cardiovascular Disease: A Longitudinal Study in Taiwan Adults. Int. J. Environ. Res. Public Health 2018, 15, 2178. https://doi.org/10.3390/ijerph15102178
Liao C-M, Lin C-M. Life Course Effects of Socioeconomic and Lifestyle Factors on Metabolic Syndrome and 10-Year Risk of Cardiovascular Disease: A Longitudinal Study in Taiwan Adults. International Journal of Environmental Research and Public Health. 2018; 15(10):2178. https://doi.org/10.3390/ijerph15102178
Chicago/Turabian StyleLiao, Chen-Mao, and Chih-Ming Lin. 2018. "Life Course Effects of Socioeconomic and Lifestyle Factors on Metabolic Syndrome and 10-Year Risk of Cardiovascular Disease: A Longitudinal Study in Taiwan Adults" International Journal of Environmental Research and Public Health 15, no. 10: 2178. https://doi.org/10.3390/ijerph15102178
APA StyleLiao, C.-M., & Lin, C.-M. (2018). Life Course Effects of Socioeconomic and Lifestyle Factors on Metabolic Syndrome and 10-Year Risk of Cardiovascular Disease: A Longitudinal Study in Taiwan Adults. International Journal of Environmental Research and Public Health, 15(10), 2178. https://doi.org/10.3390/ijerph15102178

