Fate of Fecal Indicators in Resource-Oriented Sanitation Systems Using Nitrifying Bio-Treatment
Abstract
:1. Introduction
2. Materials and Methods
2.1. Sample Preparation
2.2. Analysis of Characteristics
3. Results
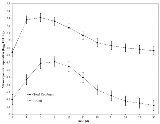
3.1. Fate of E. coli and Total Coliforms in Intact Feces
3.2. Effect of Adding Nitrifying Microorganisms on the Fate of E. coli and Total Coliforms
3.3. Comparison of Time Required for Removal of E. coli and Total Coliforms
4. Discussion
5. Conclusions
Acknowledgments
Author Contributions
Conflicts of Interest
References
- Han, M.; Hashemi, S. Sanitation revolution: From waste to resource. Desalin. Water Treat. 2017, 91, 305–310. [Google Scholar] [CrossRef]
- Han, M.; Hashemi, S.; Joo, S.H.; Kim, T. Novel integrated systems for controlling and prevention of mosquito-borne diseases caused by poor sanitation and improper water management. J. Environ. Chem. Eng. 2016, 4, 3718–3723. [Google Scholar] [CrossRef]
- Hashemi, S.; Han, M.; Kim, T.; Kim, Y. Innovative toilet technologies for smart and green cities. In Proceedings of the 8th Conference International Forum on Urbanism (IFoU), Incheon, Korea, 22–24 June 2015; pp. 873–879. [Google Scholar]
- Kim, Y.; Hashemi, S.; Han, M.; Kim, T.; Sohn, H.G. The waterless portable private toilet: An innovative sanitation solution in disaster zones. Disaster Med. Public Health Prep. 2016, 10, 281–285. [Google Scholar] [CrossRef] [PubMed]
- Flores, A.E. Towards Sustainable Sanitation: Evaluating the Sustainability of Resource-Oriented Sanitation. Doctoral Thesis, University of Cambridge, Cambridge, UK, 2011. [Google Scholar]
- Diener, S.; Semiyaga, S.; Niwagaba, C.B.; Muspratt, A.M.; Gning, J.B.; Mbéguéré, M.; Ennin, J.E.; Zurbrugg, C.; Strande, L. A value proposition: Resource recovery from faecal sludge—Can it be the driver for improved sanitation? Resour. Conserv. Recycl. 2014, 88, 32–38. [Google Scholar] [CrossRef]
- Drechsel, P.; Scott, C.A.; Raschid-Sally, L.; Redwood, M.; Bahri, A. Wastewater Irrigation and Health; Earthscan: London, UK, 2009. [Google Scholar]
- Shier, D.; Butler, J.; Lewis, R. Hole's Human Anatomy & Physiology, 14th ed.; McGraw-Hill College: New York, NY, USA, 2016. [Google Scholar]
- Niwagaba, C. Treatment Technologies for Human Faeces and Urine. Doctoral Thesis, Swedish University of Agricultural Sciences, Uppsala, Sweden, 2009. [Google Scholar]
- Magri, M.E.; Philippi, L.S.; Vinnerås, B. Inactivation of pathogens in feces by desiccation and urea treatment for application in urine-diverting dry toilets. Appl. Environ. Microbiol. 2013, 79, 2156–2163. [Google Scholar] [CrossRef] [PubMed]
- Hanajima, D.; Kuroda, K.; Fukumoto, Y.; Haga, K. Effect of addition of organic waste on reduction of escherichia coli during cattle feces composting under high-moisture condition. Bioresour. Technol. 2006, 97, 1626–1630. [Google Scholar] [CrossRef] [PubMed]
- Sikora, L.; Azad, M. Effect of compost-fertilizer combinations on wheat yields. Compost Sci. Util. 1993, 1, 93–96. [Google Scholar] [CrossRef]
- Sheludchenko, M.; Padovan, A.; Katouli, M.; Stratton, H. Removal of fecal indicators, pathogenic bacteria, adenovirus, cryptosporidium and giardia (oo)cysts in waste stabilization ponds in northern and eastern australia. Int. J. Environ. Res. Public Health 2016, 13, 96. [Google Scholar] [CrossRef] [PubMed]
- Chung, H.J.; Bang, W.; Drake, M.A. Stress response of escherichia coli. Compr. Rev. Food Sci. Food Saf. 2006, 5, 52–64. [Google Scholar] [CrossRef]
- Marois-Fiset, J.-T.; Carabin, A.; Lavoie, A.; Dorea, C.C. Effects of temperature and ph on reduction of bacteria in a point-of-use drinking water treatment product for emergency relief. Appl. Environ. Microbiol. 2013, 79, 2107–2109. [Google Scholar] [CrossRef] [PubMed]
- Hyde, K.; Smith, A.; Smith, M.; Henningsson, S. The challenge of waste minimisation in the food and drink industry: A demonstration project in east anglia, UK. J. Clean. Prod. 2001, 9, 57–64. [Google Scholar] [CrossRef]
- Hashemi, S.; Han, M. Effect of nitrosomonas europaea bio-seed addition on the fate of carbon and nitrogen compounds in human feces. Waste Biomass Valorization 2017, in press. [Google Scholar] [CrossRef]
- Hashemi, S.; Han, M. Optimizing source-separated feces degradation and fertility using nitrifying microorganisms. J. Environ. Manag. 2018, 206, 540–546. [Google Scholar] [CrossRef] [PubMed]
- Grady, C.L., Jr.; Daigger, G.T.; Love, N.G.; Filipe, C.D. Biological Wastewater Treatment, 3rd ed.; CRC Press: Boca Raton, FL, USA, 2011. [Google Scholar]
- International Organization for Standardization (ISO). 6222: Water Quality—Enumeration of Culturable Micro-Organisms—Colony Count by Inoculation in a Nutrient Agar Culture Medium (ISO 6222:1999), 2nd ed.; ISO: Geneva, Switzerland, 1999. [Google Scholar]
- Leejeerajumnean, A.; Ames, J.; Owens, J. Effect of ammonia on the growth of bacillus species and some other bacteria. Lett. Appl. Microbiol. 2000, 30, 385–389. [Google Scholar] [CrossRef] [PubMed]
- Bearson, S.; Bearson, B.; Foster, J.W. Acid stress responses in enterobacteria. FEMS Microbiol. Lett. 1997, 147, 173–180. [Google Scholar] [CrossRef] [PubMed]
- Small, P.; Blankenhorn, D.; Welty, D.; Zinser, E.; Slonczewski, J.L. Acid and base resistance in escherichia coli and shigella flexneri: Role of rpos and growth ph. J. Bacteriol. 1994, 176, 1729–1737. [Google Scholar] [CrossRef] [PubMed]




| Parameters | Average | Standard Deviation |
|---|---|---|
| pH | 7.8 | 0.22 |
| log10 CFU E. coli/g | 6.2 | 0.12 |
| log10 CFU Total Coliforms/g | 6.9 | 0.10 |
© 2018 by the authors. Licensee MDPI, Basel, Switzerland. This article is an open access article distributed under the terms and conditions of the Creative Commons Attribution (CC BY) license (http://creativecommons.org/licenses/by/4.0/).
Share and Cite
Hashemi, S.; Han, M.; Namkung, E. Fate of Fecal Indicators in Resource-Oriented Sanitation Systems Using Nitrifying Bio-Treatment. Int. J. Environ. Res. Public Health 2018, 15, 164. https://doi.org/10.3390/ijerph15010164
Hashemi S, Han M, Namkung E. Fate of Fecal Indicators in Resource-Oriented Sanitation Systems Using Nitrifying Bio-Treatment. International Journal of Environmental Research and Public Health. 2018; 15(1):164. https://doi.org/10.3390/ijerph15010164
Chicago/Turabian StyleHashemi, Shervin, Mooyoung Han, and Eun Namkung. 2018. "Fate of Fecal Indicators in Resource-Oriented Sanitation Systems Using Nitrifying Bio-Treatment" International Journal of Environmental Research and Public Health 15, no. 1: 164. https://doi.org/10.3390/ijerph15010164
APA StyleHashemi, S., Han, M., & Namkung, E. (2018). Fate of Fecal Indicators in Resource-Oriented Sanitation Systems Using Nitrifying Bio-Treatment. International Journal of Environmental Research and Public Health, 15(1), 164. https://doi.org/10.3390/ijerph15010164

