Bioaccessibility and Human Exposure Assessment of Cadmium and Arsenic in Pakchoi Genotypes Grown in Co-Contaminated Soils
Abstract
1. Introduction
2. Materials and Methods
2.1. Plant Material
2.2. Greenhouse Experiment
2.3. Sample Preparation
2.4. Determination of Cd and As Concentrations
2.5. In Vitro Evaluation of Bioaccessibility
2.6. Health Risk Assessment
2.7. Statistical Analysis
3. Results and Discussion
3.1. Shoot Biomass
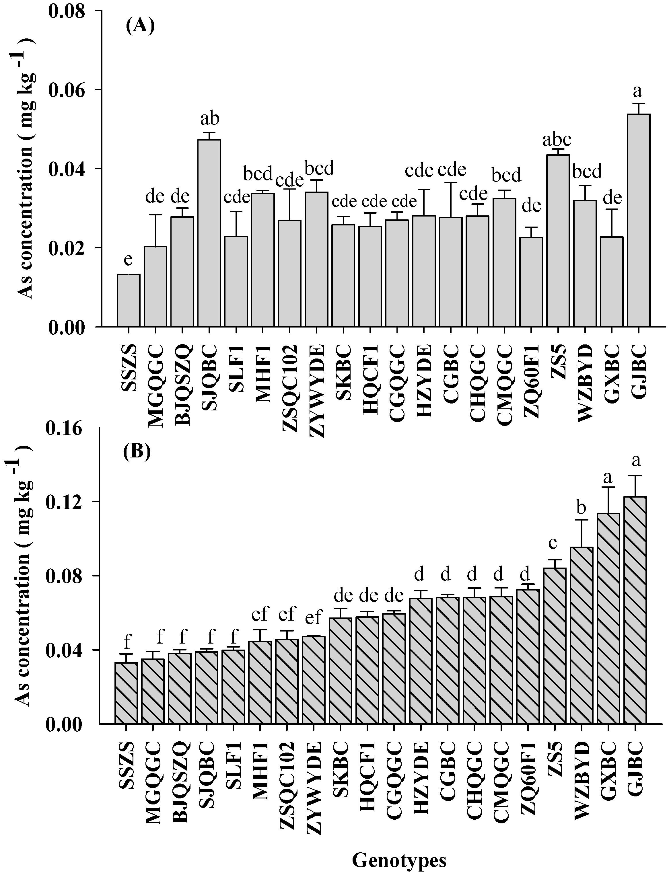
3.2. Concentrations of Cd and As in Pakchoi Shoots
3.3. Bioaccessibility of Cd and As in 20 Pakchoi Genotypes
3.4. Health Risk Assessment of Cd and As in Pakchoi
4. Conclusions
Acknowledgments
Author Contributions
Conflicts of Interest
References
- Franco, C.; Soares, A.; Delgado, J. Geostatistical modelling of heavy metal contamination in the topsoil of Guadiamar river margins (S Spain) using a stochastic simulation technique. Geoderma 2006, 136, 852–864. [Google Scholar] [CrossRef]
- Lim, H.S.; Lee, J.S.; Chon, H.T.; Sager, M. Heavy metal contamination and health risk assessment in the vicinity of the abandoned Songcheon Au–Ag mine in Korea. J. Geochem. Explor. 2008, 96, 223–230. [Google Scholar] [CrossRef]
- Ngoc, K.C.; Van Nguyen, N.; Dinh, B.N.; Le Thanh, S.; Tanaka, S.; Kang, Y.; Sakurai, K.; Iwasaki, K. Arsenic and heavy metal concentrations in agricultural soils around tin and tungsten mines in the Dai Tu district, N. Vietnam. Water Air Soil Pollut. 2009, 197, 75–89. [Google Scholar] [CrossRef]
- Teng, Y.; Wu, J.; Lu, S.; Wang, Y.; Jiao, X.; Song, L. Soil and soil environmental quality monitoring in China: A review. Environ. Int. 2014, 69, 177–199. [Google Scholar] [CrossRef] [PubMed]
- Li, Z.; Ma, Z.; van der Kuijp, T.J.; Yuan, Z.; Huang, L. A review of soil heavy metal pollution from mines in China: Pollution and health risk assessment. Sci. Total Environ. 2014, 468, 843–853. [Google Scholar] [CrossRef] [PubMed]
- Ministry of Environmental Protection of the People’s Republic of China (MEPPRC). Farmland Environmental Quality Evaluation Standards for Edible Argricultural Products; HJ/T 332-2006; Ministry of Environmental Protection of the People’s Republic of China: Beijing, China, 2006.
- Li, M.S.; Luo, Y.P.; Su, Z.Y. Heavy metal concentrations in soils and plant accumulation in a restored manganese mineland in Guangxi, South China. Environ. Pollut. 2007, 147, 168–175. [Google Scholar] [CrossRef] [PubMed]
- Punshon, T.; Jackson, B.P.; Meharg, A.A.; Warczack, T.; Scheckel, K.; Guerinot, M.L. Understanding arsenic dynamics in agronomic systems to predict and prevent uptake by crop plants. Sci. Total Environ. 2017, 581, 209–220. [Google Scholar] [CrossRef] [PubMed]
- Zhao, F.J.; Ma, Y.; Zhu, Y.G.; Tang, Z.; McGrath, S.P. Soil contamination in China: Current status and mitigation strategies. Environ. Sci. Technol. 2014, 49, 750–759. [Google Scholar] [CrossRef] [PubMed]
- Yu, Y.; Huang, Y.; Song, B.; Xu, T.; Lu, S.; Yuan, Z. Heavy metal content in soil, food products and its health risk as affected by mining activities in Nandan county. Environ. Chem. 2015, 34, 2133–2135. (In Chinese) [Google Scholar] [CrossRef]
- Ministry of Health of the People’s Republic of China (MHPRC). National Food Safe Standard. Maximum Levels of Contaminants in Foods; GB 2762-2012; Ministry of Health of the People’s Republic of China: Beijing, China, 2012.
- Patrick, L. Toxic metals and antioxidants: Part II the role of antioxidants in arsenic and cadmium toxicity. (Toxic Metals Part II). Altern. Med. Rev. 2003, 8, 106–129. [Google Scholar] [PubMed]
- Rochfort, S.J.; Imsic, M.; Jones, R.; Trenerry, V.C.; Tomkins, B. Characterization of flavonol conjugates in immature leaves of pak choi [Brassica rapa L. Ssp. chinensis L.(Hanelt.)] by HPLC-DAD and LC-MS/MS. J. Agric. Food Chem. 2006, 54, 4855–4860. [Google Scholar] [CrossRef] [PubMed]
- Huang, R.Q.; Gao, S.F.; Wang, W.L.; Staunton, S.; Wang, G. Soil arsenic availability and the transfer of soil arsenic to crops in suburban areas in Fujian Province, Southeast China. Sci. Total Environ. 2006, 368, 531–541. [Google Scholar] [CrossRef] [PubMed]
- Liu, C.P.; Luo, C.L.; Gao, Y.; Li, F.B.; Lin, L.W.; Wu, C.A.; Li, X.D. Evaluating the potential health risk of toxic trace elements in vegetables: Accounting for variations in soil factors. Sci. Total Environ. 2017, 584, 942–949. [Google Scholar] [CrossRef] [PubMed]
- Lombi, E.; Zhao, F.J.; Dunham, S.J.; McGrath, S.P. Phytoremediation of heavy metal-contaminated soils. J. Environ. Qual. 2001, 30, 1919–1926. [Google Scholar] [CrossRef] [PubMed]
- Wang, J.; Yuan, J.; Yang, Z.; Huang, B.; Zhou, Y.; Xin, J.; Gong, Y.; Yu, H. Variation in cadmium accumulation among 30 cultivars and cadmium subcellular distribution in 2 selected cultivars of water spinach (Ipomoea aquatica Forsk.). J. Agric. Food Chem. 2009, 57, 8942–8949. [Google Scholar] [CrossRef] [PubMed]
- Yan, S.; Ling, Q.; Bao, Z.; Chen, Z.; Yan, S.; Dong, Z.; Zhang, B.; Deng, B. Cadmium accumulation in pakchoi (Brassica chinensis L.) and estimated dietary intake in the suburb of Hangzhou city, China. Food Addit. Contam. B 2009, 2, 74–78. [Google Scholar] [CrossRef] [PubMed]
- Ma, R.R.; Bu, Y.S.; Shi, X.K. Effects of fertilization and exogenous arsenic on resistance physiology and growth of pak-choi. Plant Nutr. Fertil. Sci. 2012, 5, 22–24. (In Chinese) [Google Scholar]
- Oomen, A.G.; Hack, A.; Minekus, M.; Zeijdner, E.; Cornelis, C.; Schoeters, G.; Verstraete, W.; Van de Wiele, T.; Wragg, J.; Rompelberg, C.J.M.; et al. Comparison of five in vitro digestion models to study the bioaccessibility of soil contaminants. Environ. Sci. Technol. 2002, 36, 3326–3334. [Google Scholar] [CrossRef] [PubMed]
- Luo, X.S.; Yu, S.; Li, X.D. Distribution, availability, and sources of trace metals in different particle size fractions of urban soils in Hong Kong: Implications for assessing the risk to human health. Environ. Pollut. 2011, 159, 1317–1326. [Google Scholar] [CrossRef] [PubMed]
- Yang, L.S.; Zhang, X.W.; Li, Y.H.; Li, H.R.; Wang, Y.; Wang, W.Y. Bioaccessibility and risk assessment of cadmium from uncooked rice using an in vitro digestion model. Biol. Trace Elem. Res. 2011, 145, 81–86. [Google Scholar] [CrossRef] [PubMed]
- Hu, J.; Wu, F.; Wu, S.; Cao, Z.; Lin, X.; Wong, M.H. Bioaccessibility, dietary exposure and human risk assessment of heavy metals from market vegetables in Hong Kong revealed with an in vitro gastrointestinal model. Chemosphere 2013, 91, 455–461. [Google Scholar] [CrossRef] [PubMed]
- Ruby, M.V.; Davis, A.; Schoof, R.; Eberle, S.; Sellstone, C.M. Estimation of lead and arsenic bioavailability using a physiologically based extraction test. Environ. Sci. Technol. 1996, 30, 422–430. [Google Scholar] [CrossRef]
- Van de Wiele, T.R.; Oomen, A.G.; Wragg, J.; Cave, M.; Minekus, M.; Hack, A.; Cornelis, C.; Rompelberg, C.J.M.; De Zwart, L.L.; Klinck, B.; et al. Comparison of five in vitro digestion models to in vivo experimental results: Lead bioaccessibility in the human gastrointestinal tract. J. Environ. Sci. Health Part A 2007, 42, 1203–1211. [Google Scholar] [CrossRef] [PubMed]
- Zhuang, P.; Zhang, C.; Li, Y.; Zou, B.; Mo, H.; Wu, K.; Wu, J.; Li, Z. Assessment of influences of cooking on cadmium and arsenic bioaccessibility in rice, using an in vitro physiologically-based extraction test. Food Chem. 2016, 213, 206–214. [Google Scholar] [CrossRef] [PubMed]
- Sun, G.X.; de Wiele, T.V.; Alava, P.; Tack, F.; Laing, G.D. Arsenic in cooked rice: Effect of chemical, enzymatic and microbial processes on bioaccessibility and speciation in the human gastrointestinal tract. Environ. Pollut. 2012, 162, 241–246. [Google Scholar] [CrossRef] [PubMed]
- Llorente-Mirandes, T.; Llorens-Muñoz, M.; Funes-Collado, V.; Sahuquillo, A.; López-Sánchez, J.F. Assessment of arsenic bioaccessibility in raw and cooked edible mushrooms by a PBET method. Food Chem. 2016, 194, 849–856. [Google Scholar] [CrossRef] [PubMed]
- Laparra, J.M.; Vélez, D.; Montoro, R.; Barberá, R.; Farré, R. Estimation of arsenic bioaccessibility in edible seaweed by an in vitro digestion method. J. Agric. Food Chem. 2003, 51, 6080–6085. [Google Scholar] [CrossRef] [PubMed]
- Laparra, J.M.; Vélez, D.; Montoro, R.; Barberá, R.; Farré, R. Bioaccessibility of inorganic arsenic species in raw and cooked Hizikia fusiformeseaweed. Appl. Organomet. Chem. 2004, 18, 662–669. [Google Scholar] [CrossRef]
- Maulvault, A.L.; Machado, R.; Afonso, C.; Lourenco, H.M.; Nunes, M.L.; Coelho, I.; Langerholc, T.; Marques, A. Bioaccessibility of Hg, Cd and As in cooked black scabbard fish and edible crab. Food Chem. Toxicol. 2011, 49, 2808–2815. [Google Scholar] [CrossRef] [PubMed]
- Intawongse, M.; Dean, J.R. Use of the physiologically-based extraction test to assess the oral bioaccessibility of metals in vegetable plants grown in contaminated soil. Environ. Pollut. 2008, 152, 60–72. [Google Scholar] [CrossRef] [PubMed]
- Pelfrene, A.; Waterlot, C.; Guerin, A.; Proix, N.; Richard, A.; Douay, F. Use of an in vitro digestion method to estimate human bioaccessibility of Cd in vegetables grown in smelter-impacted soils: The influence of cooking. Environ. Geochem. Health 2015, 37, 767–778. [Google Scholar] [CrossRef] [PubMed]
- Xiao, X.; Chen, T.; Liao, X.; Wu, B.; Yan, X.; Zhai, L.; Xie, H.; Wang, L. Regional distribution of arsenic contained minerals and arsenic pollution in China. Geogr. Res. 2008, 27, 201–212. (In Chinese) [Google Scholar]
- Khan, S.; Reid, B.J.; Li, G.; Zhu, Y.G. Application of biochar to soil reduces cancer risk via rice consumption: A case study in Miaoqian village, Longyan, China. Environ. Int. 2014, 68, 154–161. [Google Scholar] [CrossRef] [PubMed]
- Frontela, C.; Haro, J.F.; Ros, G.; Martínez, C. Effect of dephytinization and follow-on formula addition on in vitro iron, calcium, and zinc availability from infant cereals. J. Agric. Food Chem. 2008, 56, 3805–3811. [Google Scholar] [CrossRef] [PubMed]
- Song, B.; Lei, M.; Chen, T.; Zheng, Y.; Xie, Y.; Li, X.; Gao, D. Assessing the health risk of heavy metals in vegetables to the general population in Beijing, China. J. Environ. Sci. 2009, 21, 1702–1709. [Google Scholar] [CrossRef]
- Harmanescu, M.; Alda, L.M.; Bordean, D.M.; Gogoasa, I.; Gergen, I. Heavy metals health risk assessment for population via consumption of vegetables grown in old mining area; a case study: Banat County, Romania. Chem. Cent. J. 2011, 5, 64. [Google Scholar] [CrossRef] [PubMed]
- State of Oregon Department of Environmental Quality. Risk-Based Concentration Table; United States Environmental Protection Agency: Philadelphia, CA, USA, 2000.
- Zhang, K.; Yuan, J.; Kong, W.; Yang, Z. Genotype variations in cadmium and lead accumulations of leafy lettuce (Lactuca sativa L.) and screening for pollution-safe cultivars for food safety. Environ. Sci. Proc. Impacts 2013, 15, 1245–1255. [Google Scholar] [CrossRef] [PubMed]
- Lai, H.Y.; Chen, B.C. The dynamic growth exhibition and accumulation of cadmium of pak choi (Brassica campestris L. ssp. chinensis) grown in contaminated soils. Int. J. Environ. Res. Public Health 2013, 10, 5284–5298. [Google Scholar] [CrossRef] [PubMed]
- Liu, H.; Probst, A.; Liao, B. Metal contamination of soils and crops affected by the Chenzhou lead/zinc mine spill (Hunan, China). Sci. Total Environ. 2005, 339, 153–166. [Google Scholar] [CrossRef] [PubMed]
- Yang, Y.; Zhang, F.S.; Li, H.F.; Jiang, R.F. Accumulation of cadmium in the edible parts of six vegetable species grown in Cd-contaminated soils. J. Environ. Manag. 2009, 90, 1117–1122. [Google Scholar] [CrossRef] [PubMed]
- Hu, P.; Li, Z.; Yuan, C.; Ouyang, Y.; Zhou, L.; Huang, J.; Huang, Y.; Luo, Y.; Christie, P.; Wu, L. Effect of water management on cadmium and arsenic accumulation by rice (Oryza sativa L.) with different metal accumulation capacities. J. Soil Sediments 2013, 13, 916–924. [Google Scholar] [CrossRef]
- Chaturvedi, I. Effects of arsenic concentrations and forms on growth and arsenic uptake and accumulation by Indian mustard (Brassica juncea L.) genotypes. J. Cent. Eur. Agric. 2006, 7, 31–40. [Google Scholar]
- Fu, J.; Cui, Y. In vitro digestion/Caco-2 cell model to estimate cadmium and lead bioaccessibility/bioavailability in two vegetables: The influence of cooking and additives. Food Chem. Toxicol. 2013, 59, 215–221. [Google Scholar] [CrossRef] [PubMed]
- Hall, J.L. Cellular mechanisms for heavy metal detoxification and tolerance. J. Exp. Bot. 2002, 53, 1–11. [Google Scholar] [CrossRef] [PubMed]
- Hur, S.J.; Lim, B.O.; Decker, E.A.; McClements, D.J. In vitro human digestion models for food applications. Food Chem. 2011, 125, 1–12. [Google Scholar] [CrossRef]
- Koch, I.; Dee, J.; House, K.; Sui, J.; Zhang, J.; McKnight-Whitford, A.; Reimer, K.J. Bioaccessibility and speciation of arsenic in country foods from contaminated sites in Canada. Sci. Total Environ. 2013, 449, 1–8. [Google Scholar] [CrossRef] [PubMed]
- Joint FAO/WHO Expert Committee on Food Additives (JECFA). Joint FAO/WHO Expert Committee on Food Additive 79th Meeting. Available online: http://www.fao.org/documents/card/en/c/bcc0100e-ec7f-42b4-a64f-6edbe564d44b (accessed on 14 November 2015).






| Genotypes | Abbreviations | Genotypes | Abbreviations |
|---|---|---|---|
| Bujieqiusuzhouqing | BJQSZQ | MinhuangF1 | MHF1 |
| Changgengbaicai | CGBC | Shuikoubaicai | SKBC |
| Chunguanqinggengcai | CGQGC | Sijiqingbaicai | SJQBC |
| Chunhuaqinggengcai | CHQGC | ShengliF1 | SLF1 |
| Chunmanqinggengcai | CMQGC | Shensizisong | SSZS |
| Gaojiaobaicai | GJBC | Wenzhoubaiyoudong | WZBYD |
| Ganxuanheiyebaicai | GXBC | Ziseqingcai102 | ZSQC102 |
| HuoqingcaiF1 | HQCF1 | Zaoshu5 | ZS5 |
| Hangzhouyoudonger | HZYDE | Zhenqing60F1 | ZQ60F1 |
| Meiguanqinggengcai | MGQGC | Zhouyewuyoudonger | ZYWYDE |
| Source of Variation | df | Shoot Biomass | Cd Concentration | As Concentration | Cd Bioaccessibility in Gastric Phase |
|---|---|---|---|---|---|
| Genotypes (G) | 19 | 151.61 b | 114.77 b | 35.792 b | 53.56 b |
| Soil treatments (S) | 1 | 752.97 b | 3693.83 b | 788.76 b | 533.39 b |
| G × S | 19 | 20.63 b | 95.26 b | 20.65 b | 15.65 b |
| Cd bioaccessibility in gastrointestinal phase | As bioaccessibility in gastric phase | As bioaccessibility in gastrointestinal phase | |||
| Genotypes (G) | 19 | 78.26 b | 25.01 b | 44.94 b | |
| Soil treatments (S) | 1 | 994.35 b | 550.02 b | 908.47 b | |
| G × S | 19 | 29.50 b | 46.72 b | 38.82 b |
| Genotypes | BEDI of Cd in Vegetables | BEDI of As in Vegetables | ||||||
|---|---|---|---|---|---|---|---|---|
| L-C Soil | H-C Soil | L-C Soil | H-C Soil | |||||
| Adult | Children | Adult | Children | Adult | Children | Adult | Children | |
| MGQGC | 0.09 | 0.11 | 0.31 | 0.37 | 0.05 | 0.06 | 0.14 | 0.16 |
| ZQ60F1 | 0.18 | 0.22 | 0.34 | 0.41 | 0.04 | 0.05 | 0.14 | 0.16 |
| GXBC | 0.12 | 0.15 | 0.41 | 0.49 | 0.07 | 0.09 | 0.54 | 0.65 |
| SLF1 | 0.24 | 0.29 | 0.50 | 0.60 | 0.04 | 0.05 | 0.22 | 0.26 |
| SJQBC | 0.26 | 0.31 | 0.62 | 0.74 | 0.10 | 0.12 | 0.17 | 0.21 |
| ZSQC102 | 0.17 | 0.20 | 0.66 | 0.79 | 0.09 | 0.11 | 0.19 | 0.23 |
| SSZS | 0.33 | 0.40 | 0.66 | 0.79 | 0.05 | 0.06 | 0.15 | 0.18 |
| ZYWYDE | 0.09 | 0.11 | 0.67 | 0.81 | 0.11 | 0.13 | 0.17 | 0.20 |
| CHQGC | 0.63 | 0.76 | 0.73 | 0.88 | 0.06 | 0.08 | 0.22 | 0.27 |
| GJBC | 0.35 | 0.42 | 0.74 | 0.89 | 0.15 | 0.18 | 0.32 | 0.39 |
| HZYDE | 0.15 | 0.18 | 0.83 | 0.99 | 0.08 | 0.10 | 0.21 | 0.25 |
| WZBYD | 0.15 | 0.18 | 1.05 | 1.27 | 0.07 | 0.08 | 0.35 | 0.42 |
| ZS5 | 0.16 | 0.20 | 1.06 | 1.28 | 0.11 | 0.14 | 0.27 | 0.32 |
| SKBC | 0.38 | 0.45 | 1.08 | 1.30 | 0.08 | 0.10 | 0.23 | 0.27 |
| CMQGC | 0.38 | 0.45 | 1.18 | 1.42 | 0.04 | 0.05 | 0.26 | 0.32 |
| MHF1 | 0.43 | 0.52 | 1.18 | 1.42 | 0.12 | 0.14 | 0.14 | 0.17 |
| BJQSZQ | 0.43 | 0.52 | 1.24 | 1.49 | 0.06 | 0.07 | 0.15 | 0.18 |
| CGQGC | 0.55 | 0.66 | 1.54 | 1.85 | 0.06 | 0.08 | 0.31 | 0.38 |
| CGBC | 0.70 | 0.84 | 0.89 | 1.08 | 0.08 | 0.09 | 0.23 | 0.27 |
| HQCF1 | 0.77 | 0.93 | 2.11 | 2.54 | 0.06 | 0.07 | 0.15 | 0.18 |
| Safe Value | 0.83 a | 3 b | ||||||
© 2017 by the authors. Licensee MDPI, Basel, Switzerland. This article is an open access article distributed under the terms and conditions of the Creative Commons Attribution (CC BY) license (http://creativecommons.org/licenses/by/4.0/).
Share and Cite
Wei, Y.; Zheng, X.; Shohag, M.J.I.; Gu, M. Bioaccessibility and Human Exposure Assessment of Cadmium and Arsenic in Pakchoi Genotypes Grown in Co-Contaminated Soils. Int. J. Environ. Res. Public Health 2017, 14, 977. https://doi.org/10.3390/ijerph14090977
Wei Y, Zheng X, Shohag MJI, Gu M. Bioaccessibility and Human Exposure Assessment of Cadmium and Arsenic in Pakchoi Genotypes Grown in Co-Contaminated Soils. International Journal of Environmental Research and Public Health. 2017; 14(9):977. https://doi.org/10.3390/ijerph14090977
Chicago/Turabian StyleWei, Yanyan, Xiaoman Zheng, Md. Jahidul Islam Shohag, and Minghua Gu. 2017. "Bioaccessibility and Human Exposure Assessment of Cadmium and Arsenic in Pakchoi Genotypes Grown in Co-Contaminated Soils" International Journal of Environmental Research and Public Health 14, no. 9: 977. https://doi.org/10.3390/ijerph14090977
APA StyleWei, Y., Zheng, X., Shohag, M. J. I., & Gu, M. (2017). Bioaccessibility and Human Exposure Assessment of Cadmium and Arsenic in Pakchoi Genotypes Grown in Co-Contaminated Soils. International Journal of Environmental Research and Public Health, 14(9), 977. https://doi.org/10.3390/ijerph14090977

