Towards a Long-Term Strategy for Voluntary-Based Internal Radiation Contamination Monitoring: Representativeness of the Monitoring Results in Fukushima, Japan
Abstract
:1. Introduction
2. Materials and Methods
2.1. Setting
2.2. Data Collection
2.2.1. Whole Body Counter Database
2.2.2. Evacuation Database
2.3. Eligible Age Groups
2.4. Data Analysis
2.4.1. Modeled Estimates of the Probability of Cs Detection in the Whole Population (Objective#1)
2.4.2. Robustness of the Regression Models
2.4.3. Comparison between Population Mean of Modeled Probability of Cs Detection versus Actual Detection Rates in the WBC Participants (Objective#2)
2.4.4. Sub-Data Analysis
2.5. Ethics Approval
3. Results
3.1. Demographic Characteristics
3.2. Regression Models to Project the Probability of Cs Detection in the Whole Population
3.3. Robustness of the Regression Model
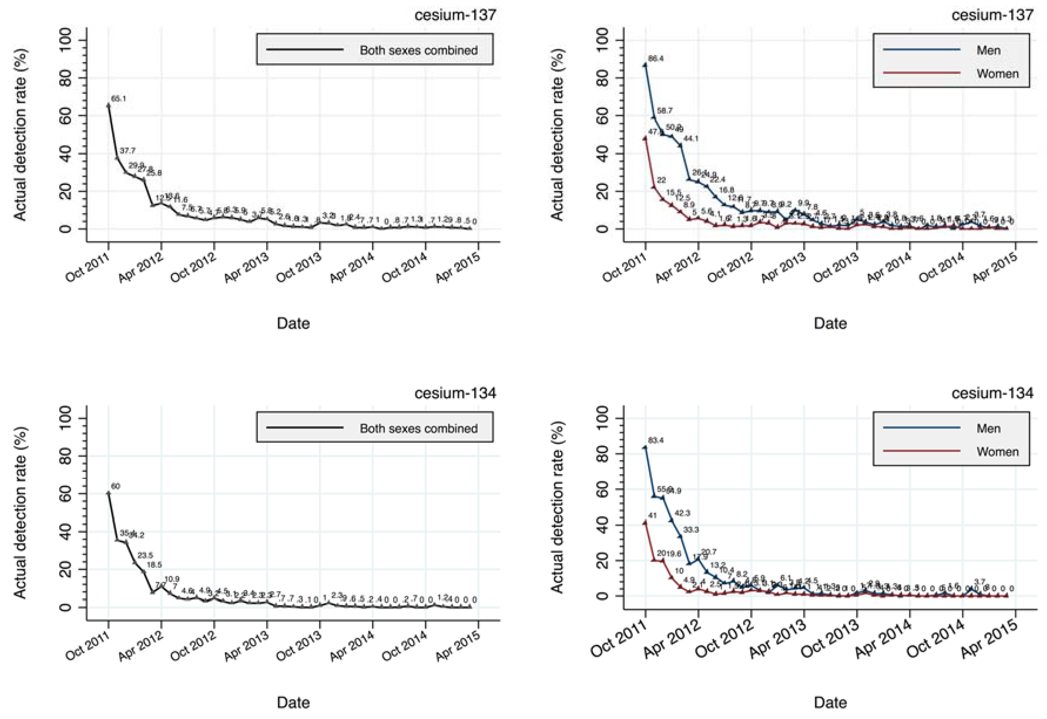
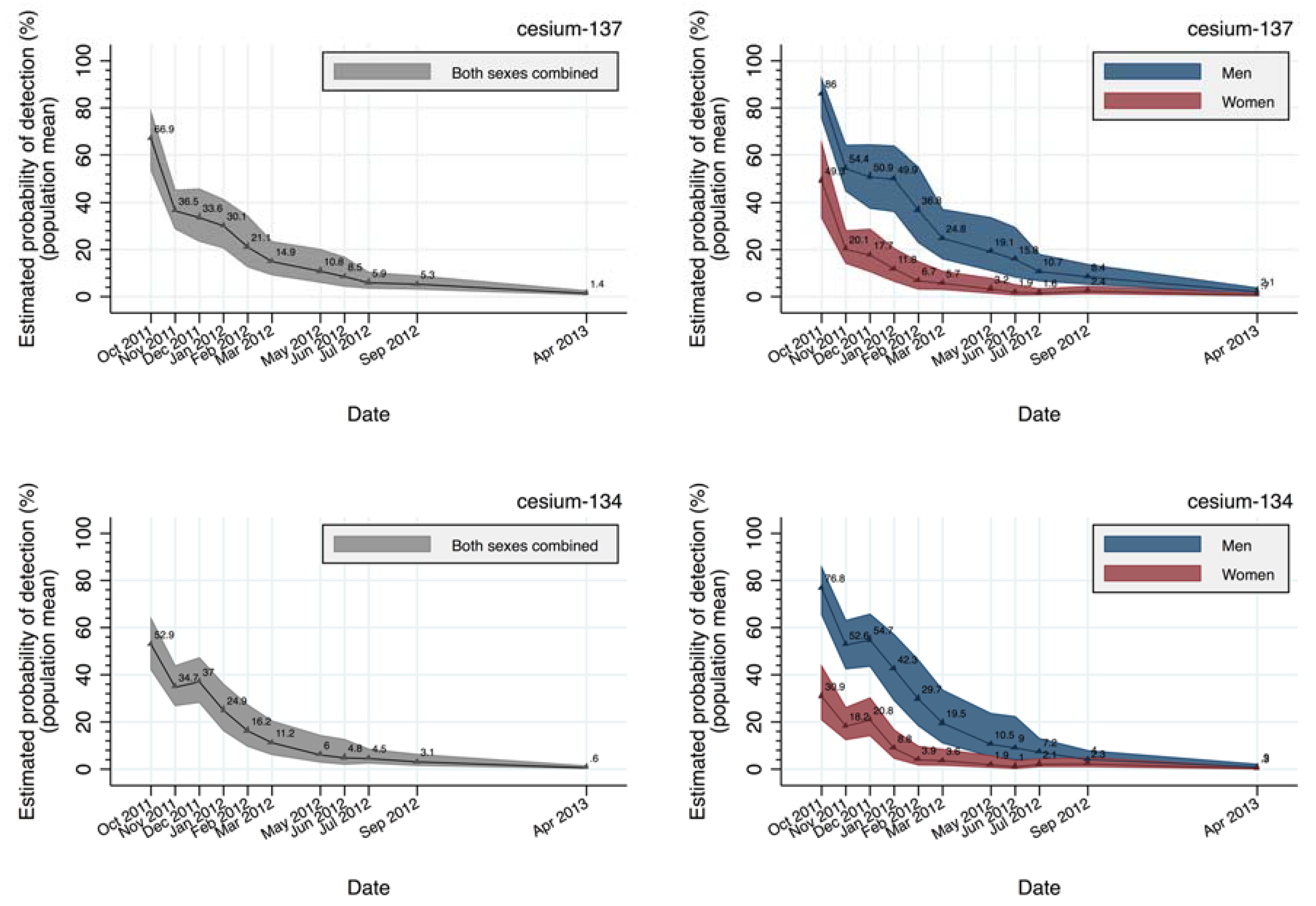
3.4. Modeled Estimates of the Probability of Cs Detection in the Whole Population (Objective#1)
3.5. Agreement between Modeled (Whole Population) versus Actually Measured (Voluntary Participants) Probability of Cs Detection (Objective#2)
3.6. Sub-Data Analysis
4. Discussion
4.1. Voluntary-Based Participation: Very Real Possible Default Setting for Individual Radiation Monitoring after a Nuclear Incident
4.2. Good Representativeness of the Voluntary Radiation Monitoring—Clinically Meaningful as a Screening and Dose Assessment Tool
4.3. Towards a Long-Term Strategy for Voluntary Radiation Monitoring, and Potential as a Risk Communication Tool for Mental Health
4.4. Limitations
5. Conclusions
Supplementary Materials
Acknowledgments
Author Contributions
Conflicts of Interest
References
- Tokyo Electric Power Company. Estimates of Radiation in the Air Released from the Fukushima Daiichi Nuclear Power Plant 2012. Available online: http://www.tepco.co.jp/cc/press/betu12_j/images/120524j0101.pdf (accessed on 12 April 2017). (In Japanese).
- Miyazaki, M.; Ohtsuru, A.; Ishikawa, T. An overview of internal dose estimation using whole-body counters in Fukushima Prefecture. Fukushima J. Med. Sci. 2014, 60, 95–100. [Google Scholar] [CrossRef] [PubMed]
- Miyazaki, M.; Hayano, R. Individual external dose monitoring of all citizens of Date City by passive dosimeter 5 to 51 months after the Fukushima NPP accident (series): 1. Comparison of individual dose with ambient dose rate monitored by aircraft surveys. J. Radiol. Prot. 2016, 37, 1–12. [Google Scholar] [CrossRef] [PubMed]
- United States Environmental Protection Agency. Protective Action Guides (PAGs). Radiation Protection. Available online: https://www.epa.gov/radiation/protective-action-guides-pags (accessed on 12 April 2017).
- Berends, G.; Kobayashi, M. Food after Fukushima–Japan’s regulatory response to the radioactive contamination of its food chain. Food Drug Law J. 2012, 67, 51–64. [Google Scholar] [PubMed]
- Gilmour, S.; Miyagawa, S.; Kasuga, F.; Shibuya, K. Current Measures on Radioactive Contamination in Japan: A Policy Situation Analysis. PLoS ONE 2016, 11, e0152040. [Google Scholar] [CrossRef] [PubMed]
- Galea, S.; Tracy, M. Participation rates in epidemiologic studies. Ann. Epidemiol. 2007, 17, 643–653. [Google Scholar] [CrossRef] [PubMed]
- Schneider, K.L.; Clark, M.A.; Rakowski, W.; Lapane, K.L. Evaluating the impact of non-response bias in the Behavioral Risk Factor Surveillance System (BRFSS). J. Epidemiol. Community Health 2012, 66, 290–295. [Google Scholar] [CrossRef] [PubMed]
- Goldberg, M.; Chastang, J.F.; Leclerc, A. Socioeconomic, demographic, occupational, and health factors associated with participation in a long-term epidemiologic survey: A prospective study of the French GAZEL cohort and its target population. Am. J. Epidemiol. 2001, 154, 373–384. [Google Scholar] [CrossRef] [PubMed]
- Murakami, M.; Tsubokura, M. Evaluating Risk Communication After the Fukushima Disaster Based on Nudge Theory. Asia Pac. J. Public Health 2017, 29, S193–S200. [Google Scholar] [CrossRef] [PubMed]
- Nomura, S.; Tsubokura, M.; Ozaki, A. Towards a Long-Term Strategy for Voluntary-Based Internal Radiation Contamination Monitoring: A Population-Level Analysis of Monitoring Prevalence and Factors Associated with Monitoring Participation Behavior in Fukushima, Japan. Int. J. Environ. Res. Public Health 2017, 14, 397. [Google Scholar] [CrossRef] [PubMed]
- World Health Organization (WHO). Health Risk Assessment from the Nuclear Accident after the 2011 Great East. Japan Earthquake and Tsunami, Based on a Preliminary Dose Estimation; World Health Organization: Geneva, Switzerland, 2013. [Google Scholar]
- United Nations Scientific Committee on the Effects of Atomic Radiation (UNSCEAR). Fukushima 2015 White Paper: Developments Since the 2013 UNSCEAR Report on the Levels and Effects of Radiation Exposure Due to the Nuclear Accident Following the Great East-Japan Earthquake and Tsunami; United Nations Scientific Committee on the Effects of Atomic Radiation: Vienna, Austria, 2015. [Google Scholar]
- Nomura, S.; Tsubokura, M.; Hayano, R. Comparison between direct measurements and modeled estimates of external radiation exposure among school children 18 to 30 months after the Fukushima nuclear accident in Japan. Environ. Sci. Technol. 2015, 49, 1009–1016. [Google Scholar] [CrossRef] [PubMed]
- Naito, W.; Uesaka, M.; Yamada, C.; Kurosawa, T.; Yasutaka, T.; Ishii, H. Relationship between Individual External Doses, Ambient Dose Rates and Individuals’ Activity-Patterns in Affected Areas in Fukushima following the Fukushima Daiichi Nuclear Power Plant. Accident. PLoS ONE 2016, 11, e0158879. [Google Scholar] [CrossRef] [PubMed]
- Tsubokura, M.; Gilmour, S.; Takahashi, K.; Oikawa, T.; Kanazawa, Y. Internal radiation exposure after the Fukushima nuclear power plant disaster. JAMA 2012, 308, 669–670. [Google Scholar] [CrossRef] [PubMed]
- Hayano, R.S.; Tsubokura, M.; Miyazaki, M. Internal radiocesium contamination of adults and children in Fukushima 7 to 20 months after the Fukushima NPP accident as measured by extensive whole-body-counter surveys. Proc. Jpn. Acad. Ser. B Phys. Biol. Sci. 2013, 89, 157–163. [Google Scholar] [CrossRef] [PubMed]
- Hayano, R.S.; Watanabe, Y.N.; Nomura, S. Whole-body counter survey results 4 months after the Fukushima Dai-ichi NPP accident in Minamisoma City, Fukushima. J. Radiol. Prot. 2014, 34, 787–799. [Google Scholar] [CrossRef] [PubMed]
- Shimmura, H.; Tsubokura, M.; Kato, S. Whole body counter assessment of internal radiocontamination in patients with end-stage renal disease living in areas affected by the Fukushima Daiichi nuclear power plant disaster: A retrospective observational study. BMJ Open 2015, 5, e009745. [Google Scholar] [CrossRef] [PubMed]
- Tsubokura, M.; Kato, S.; Morita, T. Assessment of the Annual Additional Effective Doses amongst Minamisoma Children during the Second Year after the Fukushima Daiichi Nuclear Power Plant Disaster. PLoS ONE 2015, 10, e0129114. [Google Scholar] [CrossRef] [PubMed]
- Murakami, M.; Sato, A.; Matsui, S. Communicating with Residents about Risks Following the Fukushima Nuclear Accident. Asia Pac. J. Public Health 2017, 29 (Suppl. 2), S74–S89. [Google Scholar] [CrossRef] [PubMed]
- The National Diet of Japan Fukushima Nuclear Accident Independent Investigation Commission. Overview of the Damage and How It Spread. The Official Report of the Fukushima Nuclear Accident Independent Investigation Commission. 2012. Available online: http://warp.da.ndl.go.jp/info:ndljp/pid/3856371/naiic.go.jp/wp-content/uploads/2012/08/NAIIC_Eng_Chapter4_web.pdf (accessed on 12 April 2017).
- Morita, T.; Nomura, S.; Furutani, T. Demographic transition and factors associated with remaining in place after the 2011 Fukushima nuclear disaster. PLoS ONE 2017. (under review). [Google Scholar]
- Nomura, S.; Tsubokura, M.; Gilmour, S. An evaluation of early countermeasures to reduce the risk of internal radiation exposure after the Fukushima nuclear incident in Japan. Health Policy Plan. 2016, 31, 425–433. [Google Scholar] [CrossRef] [PubMed]
- UNSCEAR. Annex D: Exposures from the Chernobyl Accident; United Nations: New York, NY, USA, 1988. [Google Scholar]
- Tsubokura, M.; Nomura, S.; Sakaihara, K. Estimated association between dwelling soil contamination and internal radiation contamination levels after the 2011 Fukushima Daiichi nuclear accident in Japan. BMJ Open 2016, 6, e010970. [Google Scholar] [CrossRef] [PubMed]
- International Commission on Radiological Protection (ICRP). Publication 56: Age-Dependent Doses to Members of the Public from Intake of Radionuclides; International Commission on Radiological Protection: Oxford, UK, 1990. [Google Scholar]
- ICRP. Publication 103: The 2007 Recommendations of the International Commission on Radiological Protection; International Commission on Radiological Protection: Oxford, UK, 2007. [Google Scholar]
- Nuclear Regulation Authority. Monitoring Information of Environmental Radioactivity level. Available online: http://radioactivity.nsr.go.jp/ja/list/362/list−1.html (accessed on 12 April 2017). (In Japanese)
- Geospatial Information Authority of Japan. Japan Profile for Geographic Information Standards. Available online: http://www.gsi.go.jp/ENGLISH/page_e30210.html (accessed on 12 April 2017).
- Tsubokura, M.; Shibuya, K.; Kato, S.; Oikawa, T.; Kanazawa, Y. Acute intake of radionuclides immediately after the incident as the main contributor of the internal radiation exposure after Fukushima Daiichi nuclear disaster. JAMA Pediatr. 2013, 167, 1169–1170. [Google Scholar] [CrossRef] [PubMed]
- Marcon, A.; Nguyen, G.; Rava, M.; Braggion, M.; Grassi, M.; Zanolin, M.E. A score for measuring health risk perception in environmental surveys. Sci. Total Environ. 2015, 527–528, 270–278. [Google Scholar] [CrossRef] [PubMed]
- Thaler, R.H.; Sunstein, C.R. Nudge: Improving Decisions about Health, Wealth, and Happiness; Yale University Press: New Haven, CT, USA, 2008. [Google Scholar]
- Bohannon, J. Government ‘nudges’ prove their worth. Science 2016, 352, 1042. [Google Scholar] [CrossRef] [PubMed]
- Harada, N.; Shigemura, J.; Tanichi, M.; Kawaida, K.; Takahashi, S.; Yasukata, F. Mental health and psychological impacts from the 2011 Great East Japan Earthquake Disaster: A systematic literature review. Disaster Mil. Med. 2015, 1, 17. [Google Scholar] [CrossRef] [PubMed]
- Leppold, C.; Tanimoto, T.; Tsubokura, M. Public health after a nuclear disaster: Beyond radiation risks. Bull. World Health Organ. 2016, 94, 859–860. [Google Scholar] [CrossRef] [PubMed]
- Suzuki, Y.; Yabe, H.; Yasumura, S. Psychological distress and the perception of radiation risks: The Fukushima health management survey. Bull. World Health Organ. 2015, 93, 598–605. [Google Scholar] [CrossRef] [PubMed]
- Hasegawa, A.; Tanigawa, K.; Ohtsuru, A. Health effects of radiation and other health problems in the aftermath of nuclear accidents, with an emphasis on Fukushima. Lancet 2015, 386, 479–488. [Google Scholar] [CrossRef]
- Tsubokura, M.; Kato, S.; Nomura, S.; Gilmour, S.; Nihei, M.; Sakuma, Y.; Oikawa, T.; Kanazawa, Y.; Kami, M.; Hayano, R. Reduction of high levels of internal radio-contamination by dietary intervention in residents of areas affected by the Fukushima Daiichi nuclear plant disaster: A case series. PLoS ONE 2014, 9, e100302. [Google Scholar] [CrossRef] [PubMed]




| Age Group (Year) | Men (% in Row) | Women (% in Row) | Total (% in Column) |
|---|---|---|---|
| 21–30 | 791 (38.2) | 1279 (61.8) | 2070 (7.7) |
| 31–40 | 1631 (41.6) | 2285 (58.4) | 3916 (14.5) |
| 41–50 | 1586 (41.7) | 2215 (58.3) | 3801 (14.1) |
| 51–60 | 2132 (40.2) | 3172 (59.8) | 5304 (19.7) |
| 61–70 | 3062 (45.2) | 3718 (54.8) | 6780 (25.1) |
| 71–80 | 1918 (47.0) | 2163 (53.0) | 4081 (15.1) |
| 81– | 473 (45.5) | 567 (54.5) | 1040 (3.9) |
| Total | 11,593 (42.9) | 15,399 (57.1) | 26,992 (100.0) |
| (A) Both Sexes Combined | ||||
|---|---|---|---|---|
| Cs-137 | ||||
| WBC Participants | Whole Population | |||
| Time Period | Actual Detection Rate (%) | Population Mean of Modeled probability of detection (%) (95% CI) * | Difference (%) (95% CI) ** | p-Value |
| October 2011 | 65.1 | 66.9 (66.7 to 67.0) | −1.8 (−4.6 to 0.9) | 0.19 |
| November 2011 | 37.7 | 36.5 (36.4 to 36.7) | 1.2 (−1.2 to 3.6) | 0.33 |
| December 2011 | 29.9 | 33.6 (33.5 to 33.8) | −3.7 (−6.1 to −1.4) | <0.01 |
| January 2012 | 27.8 | 30.1 (29.9 to 30.2) | −2.2 (−5.1 to 0.7) | 0.14 |
| February 2012 | 25.8 | 21.1 (21.0 to 21.3) | 4.6 (1.7 to 7.6) | <0.01 |
| March 2012 to April 2012 | 13.2 | 14.9 (14.7 to 15.0) | −1.6 (−3.5 to 0.3) | 0.12 |
| May 2012 | 11.6 | 10.8 (10.7 to 10.9) | 0.8 (−0.9 to 2.6) | 0.34 |
| June 2012 | 7.5 | 8.5 (8.5 to 8.6) | −1.0 (−2.4 to 0.3) | 0.16 |
| July 2012 to August 2012 | 6.2 | 5.9 (5.9 to 6.0) | 0.2 (−0.6 to 1.1) | 0.60 |
| September 2012 to March 2013 | 5.4 | 5.3 (5.2 to 5.3) | 0.1 (−0.7 to 0.9) | 0.78 |
| April 2013 to March 2015 | 1.6 | 1.4 (1.4 to 1.4) | 0.2 (0.0 to 0.5) | 0.05 |
| Cs-134 | ||||
| WBC Participants | Whole Population | |||
| Time Period | Actual Detection Rate (%) | Population Mean of Modeled Probability of Detection (%) (95% CI) * | Difference (%) (95% CI) ** | p-Value |
| October 2011 | 60.0 | 52.9 (52.7 to 53.1) | 7.1 (4.3 to 9.9) | <0.001 |
| November 2011 | 35.4 | 34.7 (34.5 to 34.9) | 0.7 (−1.7 to 3.1) | 0.57 |
| December 2011 | 34.2 | 37.0 (36.9 to 37.2) | −2.8 (−5.3 to −0.4) | <0.05 |
| January 2012 | 23.5 | 24.9 (24.7 to 25.0) | −1.3 (−4.1 to 1.4) | 0.34 |
| February 2012 | 18.5 | 16.2 (16.1 to 16.4) | 2.2 (−0.4 to 4.8) | 0.08 |
| March 2012 to April 2012 | 9.9 | 11.2 (11.1 to 11.3) | −1.3 (−3.0 to 0.4) | 0.15 |
| May 2012 | 7.0 | 6.0 (5.9 to 6.0) | 1.0 (−0.4 to 2.4) | 0.13 |
| June 2012 | 4.6 | 4.8 (4.8 to 4.9) | −0.2 (−1.3 to 0.9) | 0.73 |
| July 2012 to August 2012 | 4.4 | 4.5 (4.5 to 4.6) | −0.1 (−0.9 to 0.6) | 0.75 |
| September 2012 to March 2013 | 3.2 | 3.1 (3.1 to 3.1) | 0.1 (−0.5 to 0.8) | 0.69 |
| April 2013 to March 2015 | 0.6 | 0.6 (0.6 to 0.6) | 0.0 (−0.1 to 0.2) | 0.62 |
| (B) Men | ||||
| Cs-137 | ||||
| WBC Participants | Whole Population | |||
| Time Period | Actual Detection Rate (%) | Population Mean of Modeled Probability of Detection (%) (95% CI) * | Difference (%) (95% CI) ** | p-Value |
| October 2011 | 86.4 | 86.0 (85.9 to 86.1) | 0.4 (−2.6 to 3.4) | 0.79 |
| November 2011 | 58.7 | 54.4 (54.2 to 54.6) | 4.3 (0.5 to 8.0) | <0.05 |
| December 2011 | 50.2 | 50.9 (50.7 to 51.1) | −0.6 (−4.6 to 3.3) | 0.75 |
| January 2012 | 49.0 | 49.9 (49.8 to 50.1) | −0.9 (−5.9 to 4.0) | 0.71 |
| February 2012 | 44.1 | 36.8 (36.7 to 37.0) | 7.3 (2.4 to 12.1) | <0.01 |
| March 2012 to April 2012 | 25.2 | 24.8 (24.7 to 25.0) | 0.4 (−3.5 to 4.2) | 0.85 |
| May 2012 | 22.4 | 19.1 (19.0 to 19.2) | 3.3 (−0.2 to 6.7) | 0.05 |
| June 2012 | 16.8 | 15.8 (15.6 to 15.9) | 1.0 (−2.1 to 4.1) | 0.51 |
| July 2012 to August 2012 | 12.1 | 10.7 (10.6 to 10.8) | 1.4 (−0.4 to 3.3) | 0.10 |
| September 2012 to March 2013 | 9.0 | 8.4 (8.3 to 8.5) | 0.6 (−0.9 to 2.1) | 0.41 |
| April 2013 to March 2015 | 2.7 | 2.1 (2.0 to 2.1) | 0.6 (0.1 to 1.2) | <0.01 |
| Cs-134 | ||||
| WBC Participants | Whole population | |||
| Time Period | Actual Detection Rate (%) | Population Mean of Modeled Probability of Detection (%) (95% CI) * | Difference (%) (95% CI) ** | p-Value |
| October 2011 | 83.4 | 76.8 (76.7 to 76.9) | 6.5 (3.3 to 9.8) | <0.001 |
| November 2011 | 55.9 | 52.6 (52.5 to 52.8) | 3.2 (−0.5 to 7.0) | 0.10 |
| December 2011 | 54.9 | 54.7 (54.5 to 54.9) | 0.2 (−3.8 to 4.1) | 0.94 |
| January 2012 | 42.3 | 42.3 (42.1 to 42.5) | −0.1 (−4.9 to 4.8) | 0.98 |
| February 2012 | 33.3 | 29.7 (29.5 to 29.8) | 3.6 (−1.0 to 8.1) | 0.12 |
| March 2012 to April 2012 | 19.9 | 19.5 (19.4 to 19.6) | 0.4 (−3.1 to 4.0) | 0.81 |
| May 2012 | 13.2 | 10.5 (10.4 to 10.6) | 2.8 (−0.1 to 5.6) | <0.05 |
| June 2012 | 10.4 | 9.0 (8.9 to 9.0) | 1.4 (−1.1 to 3.9) | 0.24 |
| July 2012 to August 2012 | 7.6 | 7.2 (7.1 to 7.2) | 0.4 (−1.0 to 1.9) | 0.55 |
| September 2012 to March 2013 | 4.4 | 4.0 (3.9 to 4.0) | 0.4 (−0.7 to 1.5) | 0.44 |
| April 2013 to March 2015 | 1.0 | 0.9 (0.9 to 0.9) | 0.2 (−0.1 to 0.5) | 0.23 |
| (C) Women | ||||
| Cs-137 | ||||
| WBC Participants | Whole Population | |||
| Time Period | Actual Detection Rate (%) | Population Mean of Modeled Probability of Detection (%) (95% CI) * | Difference (%) (95% CI) ** | p-Value |
| October 2011 | 47.8 | 49.3 (49.1 to 49.4) | −1.5 (−5.4 to 2.4) | 0.45 |
| November 2011 | 22.0 | 20.1 (20.0 to 20.2) | 1.8 (−0.9 to 4.6) | 0.18 |
| December 2011 | 15.5 | 17.7 (17.6 to 17.8) | −2.2 (−4.6 to 0.2) | 0.09 |
| January 2012 | 12.5 | 11.8 (11.7 to 11.9) | 0.7 (−2.0 to 3.5) | 0.59 |
| February 2012 | 8.9 | 6.7 (6.6 to 6.7) | 2.2 (−0.4 to 4.8) | 0.06 |
| March 2012 to April 2012 | 5.4 | 5.7 (5.6 to 5.7) | −0.3 (−1.9 to 1.3) | 0.72 |
| May 2012 | 4.1 | 3.2 (3.2 to 3.2) | 0.8 (−0.6 to 2.2) | 0.19 |
| June 2012 | 1.6 | 1.9 (1.9 to 1.9) | −0.2 (−1.1 to 0.6) | 0.59 |
| July 2012 to August 2012 | 1.6 | 1.6 (1.6 to 1.6) | 0.0 (−0.6 to 0.6) | 0.91 |
| September 2012 to March 2013 | 2.2 | 2.4 (2.4 to 2.4) | −0.2 (−0.9 to 0.5) | 0.64 |
| April 2013 to March 2015 | 0.8 | 0.7 (0.7 to 0.7) | 0.1 (−0.2 to 0.3) | 0.58 |
| Cs-134 | ||||
| WBC Participants | Whole Population | |||
| Time period | Actual Detection Rate (%) | Population Mean of Modeled Probability of Detection (%) (95% CI) * | Difference (%) (95% CI) ** | p-Value |
| October 2011 | 41.0 | 30.9 (30.8 to 31.0) | 10.1 (6.3 to 13.9) | <0.001 |
| November 2011 | 20.0 | 18.2 (18.1 to 18.3) | 1.8 (−0.9 to 4.4) | 0.18 |
| December 2011 | 19.6 | 20.8 (20.7 to 20.9) | −1.2 (−3.8 to 1.5) | 0.39 |
| January 2012 | 10.0 | 8.8 (8.8 to 8.9) | 1.1 (−1.4 to 3.6) | 0.36 |
| February 2012 | 4.9 | 3.9 (3.8 to 3.9) | 1.0 (−1.0 to 3.0) | 0.27 |
| March 2012 to April 2012 | 3.4 | 3.6 (3.6 to 3.7) | −0.3 (−1.6 to 1.0) | 0.68 |
| May 2012 | 2.5 | 1.9 (1.9 to 1.9) | 0.7 (−0.4 to 1.8) | 0.18 |
| June 2012 | 1.0 | 1.0 (1.0 to 1.0) | 0.0 (−0.7 to 0.6) | 0.97 |
| July 2012 to August 2012 | 2.0 | 2.1 (2.1 to 2.1) | −0.1 (−0.8 to 0.5) | 0.70 |
| September 2012 to March 2013 | 2.2 | 2.3 (2.3 to 2.3) | −0.1 (−0.8 to 0.6) | 0.83 |
| April 2013 to March 2015 | 0.3 | 0.3 (0.3 to 0.3) | 0.0 (−0.2 to 0.1) | 0.87 |
| Variables | Cs-137 after April 2013 | Cs-134 after April 2013 |
|---|---|---|
| Whole body counter (WBC) monitoring participation before April 2013 | ||
| No | 1.28 (0.92–1.77) | 1.69 (1.00–2.84) |
| Yes | 1.00 | 1.00 |
| Age group (year) | ||
| 21–30 | 0.21 (0.05–0.89) * | NA |
| 31–40 | 0.30 (0.12–0.76) * | 0.32 (0.07–1.39) |
| 41–50 | 0.36 (0.16–0.81) * | 0.14 (0.02–1.02) |
| 51–60 | 0.42 (0.23–0.77) ** | 0.23 (0.07–0.77) * |
| 61–70 | 1.00 | 1.00 |
| 71–80 | 1.49 (1.01–2.21) * | 1.37 (0.76–2.47) |
| 81– | 0.93 (0.46–1.87) | 0.68 (0.22–2.08) |
| Sex | ||
| Men | 1.00 | 1.00 |
| Women | 0.25 (0.15–0.42) *** | 0.22 (0.10–0.50) *** |
| Height at WBC measurement | 0.98 (0.95–1.01) | 0.96 (0.91–1.01) |
| Weight at WBC measurement | 1.01 (0.99–1.02) | 1.02 (0.99–1.05) |
| Post-incident actual lived-at address | ||
| Inside Minamisoma City | 1.00 | 1.00 |
| Outside Minamisoma City but inside Fukushima Prefecture | 0.60 (0.28–1.32) | NA |
| Neighboring prefectures of Fukushima | 0.19 (0.03–1.36) | NA |
| Outside the neighboring prefectures | NA | NA |
| Air dose rate (μSv/h) as of 29 April 2011 at pre-incident residential address | 1.23 (1.13–1.33) *** | 1.23 (1.11–1.36) *** |
| Variables | Cs-137 before April 2013 | Cs-134 before April 2013 |
|---|---|---|
| Whole body counter (WBC) monitoring participation after April 2013 | ||
| No | 1.02 (0.92–1.13) | 1.11 (1.00–1.23) |
| Yes | 1.00 | 1.00 |
| Age group (year) | ||
| 21–30 | 0.59 (0.48–0.72) *** | 0.60 (0.49–0.74) *** |
| 31–40 | 0.69 (0.59–0.81) *** | 0.66 (0.56–0.78) *** |
| 41–50 | 0.78 (0.66–0.91) ** | 0.75 (0.63–0.88) ** |
| 51–60 | 0.84 (0.73–0.97) * | 0.88 (0.76–1.01) |
| 61–70 | 1.00 | 1.00 |
| 71–80 | 1.25 (1.07–1.45) ** | 1.20 (1.02–1.40) * |
| 81– | 1.53 (1.19–1.97) ** | 1.18 (0.90–1.54) |
| Sex | ||
| Men | 1.00 | 1.00 |
| Women | 0.27 (0.24–0.31) *** | 0.31 (0.27–0.35) *** |
| Height at WBC measurement | 1.00 (0.99–1.01) | 1.00 (0.99–1.01) |
| Weight at WBC measurement | 1.02 (1.02–1.02) *** | 1.02 (1.01–1.02) *** |
| Post-incident actual lived-at address | ||
| Inside Minamisoma City | 1.00 | 1.00 |
| Outside Minamisoma City but inside Fukushima Prefecture | 1.07 (0.93–1.24) | 1.14 (0.99–1.32) |
| Neighboring prefectures of Fukushima | 0.61 (0.50–0.74) *** | 0.57 (0.46–0.70) *** |
| Outside the neighboring prefectures | 0.31 (0.22–0.45) *** | 0.30 (0.20–0.43) *** |
| Air dose rate (μSv/h) as of 29 April 2011 at pre-incident residential address | 1.25 (1.17–1.34) *** | 1.27 (1.21–1.34) *** |
© 2017 by the authors. Licensee MDPI, Basel, Switzerland. This article is an open access article distributed under the terms and conditions of the Creative Commons Attribution (CC BY) license (http://creativecommons.org/licenses/by/4.0/).
Share and Cite
Nomura, S.; Tsubokura, M.; Murakami, M.; Ono, K.; Nishikawa, Y.; Oikawa, T. Towards a Long-Term Strategy for Voluntary-Based Internal Radiation Contamination Monitoring: Representativeness of the Monitoring Results in Fukushima, Japan. Int. J. Environ. Res. Public Health 2017, 14, 656. https://doi.org/10.3390/ijerph14060656
Nomura S, Tsubokura M, Murakami M, Ono K, Nishikawa Y, Oikawa T. Towards a Long-Term Strategy for Voluntary-Based Internal Radiation Contamination Monitoring: Representativeness of the Monitoring Results in Fukushima, Japan. International Journal of Environmental Research and Public Health. 2017; 14(6):656. https://doi.org/10.3390/ijerph14060656
Chicago/Turabian StyleNomura, Shuhei, Masaharu Tsubokura, Michio Murakami, Kyoko Ono, Yoshitaka Nishikawa, and Tomoyoshi Oikawa. 2017. "Towards a Long-Term Strategy for Voluntary-Based Internal Radiation Contamination Monitoring: Representativeness of the Monitoring Results in Fukushima, Japan" International Journal of Environmental Research and Public Health 14, no. 6: 656. https://doi.org/10.3390/ijerph14060656
APA StyleNomura, S., Tsubokura, M., Murakami, M., Ono, K., Nishikawa, Y., & Oikawa, T. (2017). Towards a Long-Term Strategy for Voluntary-Based Internal Radiation Contamination Monitoring: Representativeness of the Monitoring Results in Fukushima, Japan. International Journal of Environmental Research and Public Health, 14(6), 656. https://doi.org/10.3390/ijerph14060656

