The Influence of Quercetin on Maternal Immunity, Oxidative Stress, and Inflammation in Mice with Exposure of Fine Particulate Matter during Gestation
Abstract
:1. Introduction
2. Materials and Methods
2.1. Preparation of PM2.5 and Chemicals
2.2. Animals and Treatment
2.3. Biochemical Analysis of the Maternal Serum
2.4. Organ Index and Lung Histology
2.5. Flow Cytometric Analysis
2.6. Statistical Analysis
3. Results
3.1. Morphology of PM2.5 Particles
3.2. Body Weight and Food Utilization
3.3. Histological Lung Injury Score
3.4. Organ Coefficient of Spleen and Thymus
3.5. The Lymphocyte Subsets in Peripheral Blood
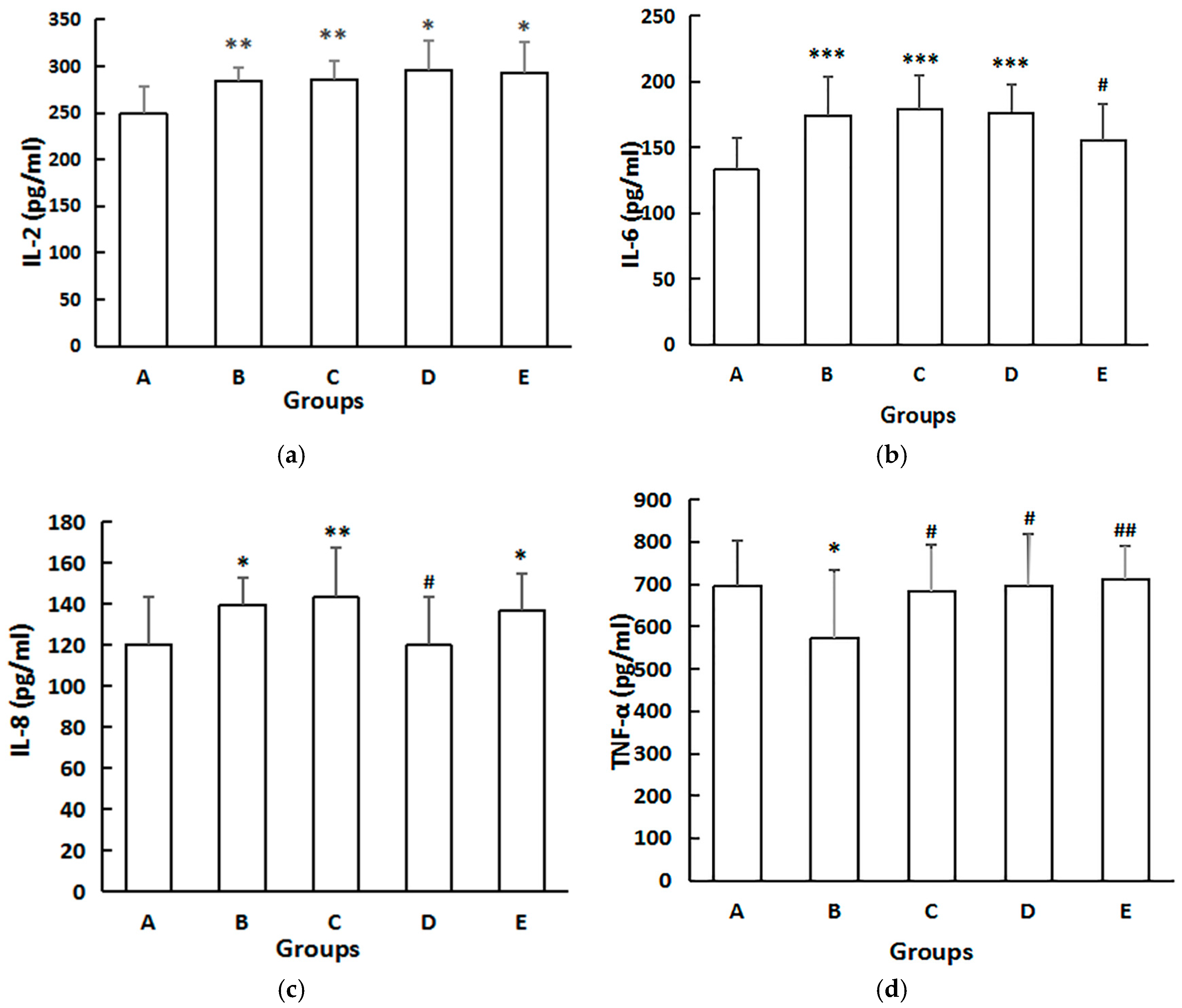
3.6. Serum Cytokines
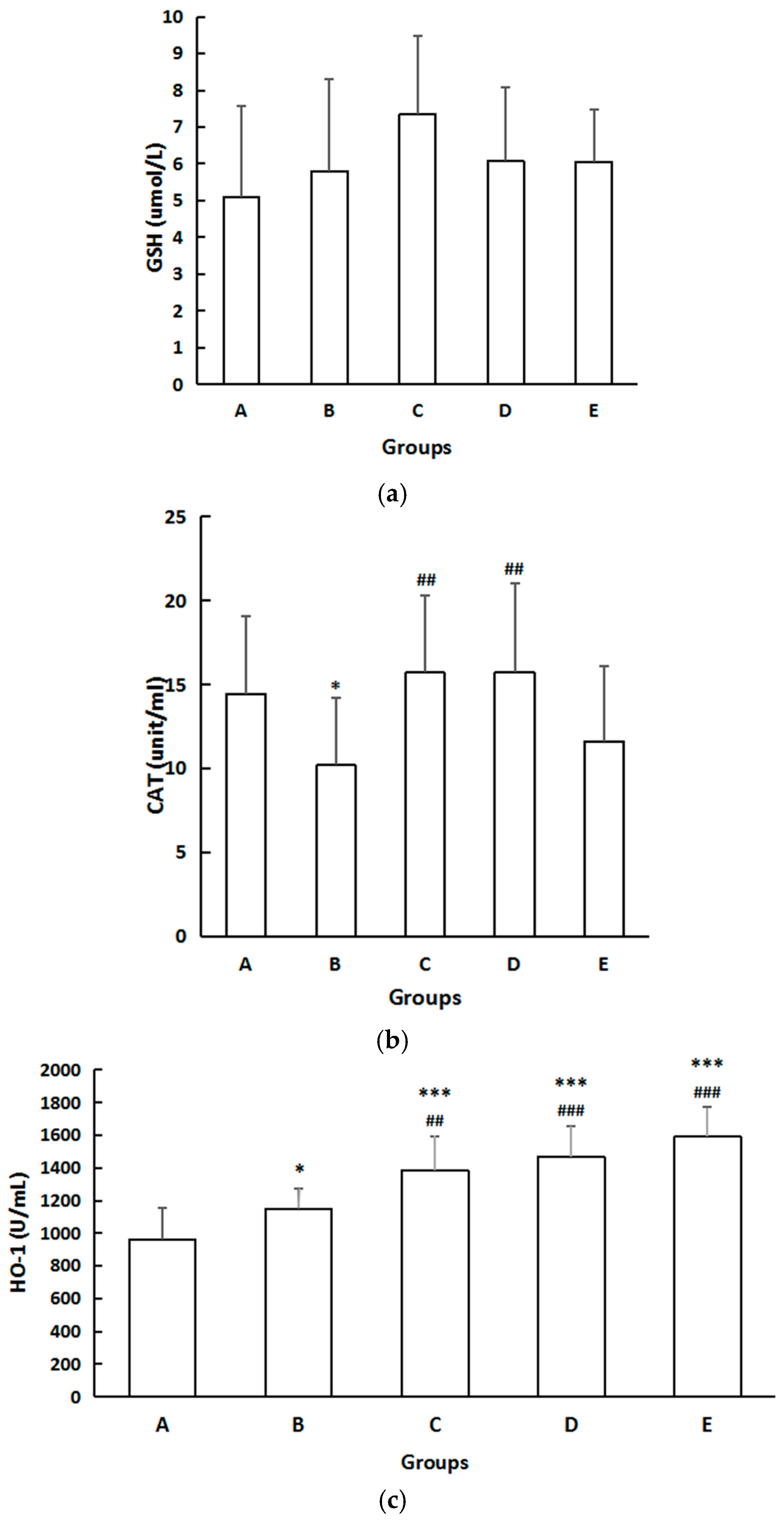
3.7. Biomarkers of Systemic Oxidative Injuries
4. Discussion
5. Conclusions
Acknowledgments
Author Contributions
Conflicts of Interest
Abbreviations
| PM2.5 | fine particulate matter |
| PBS | phosphate-buffered saline |
| GD | gestational day |
| CMCS | carboxymethyl cellulose sodium |
| IL-2 | interleukin-2 |
| IL-6 | interleukin-6 |
| IL-8 | interleukin-8 |
| TNF-α | tumor necrosis factor α |
| CAT | catalase |
| GSH | glutathione |
| HO-1 | heme oxygenase 1 |
| ROS | reactive oxygen species |
| PBS | phosphate-buffered saline |
| SEM | scanning electron microscope |
| H&E | hematoxylin and eosin |
| ELISA | enzyme-linked immunosorbent assay |
| ANOVA | one-way analysis of variance |
References
- Malmqvist, E.; Larsson, H.E.; Jonsson, I.; Rignell-Hydbom, A.; Ivarsson, S.A.; Tinnerberg, H.; Stroh, E.; Rittner, R.; Jakobsson, K.; Swietlicki, E.; et al. Maternal exposure to air pollution and type 1 diabetes—Accounting for genetic factors. Environ. Res. 2015, 140, 268–274. [Google Scholar] [CrossRef] [PubMed]
- Dales, R.; Chen, L.; Frescura, A.M.; Liu, L.; Villeneuve, P.J. Acute effects of outdoor air pollution on forced expiratory volume in 1 s: A panel study of schoolchildren with asthma. Eur. Respir. J. 2009, 34, 316–323. [Google Scholar] [CrossRef] [PubMed]
- Lim, S.S.; Vos, T.; Flaxman, A.D.; Danaei, G.; Shibuya, K.; Adair-Rohani, H.; Amann, M.; Anderson, H.R.; Andrews, K.G.; Aryee, M.; et al. A comparative risk assessment of burden of disease and injury attributable to 67 risk factors and risk factor clusters in 21 regions, 1990–2010: A systematic analysis for the Global Burden of Disease Study 2010. Lancet 2012, 380, 2224–2260. [Google Scholar] [CrossRef]
- Sillanpää, M.; Hillamo, R.; Saarikoski, S.; Frey, A.; Pennanen, A.; Makkonen, U.; Spolnik, Z.; Grieken, R.V.; Braniš, M.; Brunekreef, B. Chemical composition and mass closure of particulate matter at six urban sites in Europe. Atmos. Environ. 2006, 40, 212–223. [Google Scholar] [CrossRef]
- Bjorksten, B. Environmental influences on the development of the immune system: Consequences for disease outcome. In The Window of Opportunity: Pre-Pregnancy to 24 Months of Age; Karger Publishers: Basel, Switzerland, 2008; Volume 61, pp. 243–254. [Google Scholar] [CrossRef]
- Deiuliis, J.A.; Kampfrath, T.; Zhong, J.; Oghumu, S.; Maiseyeu, A.; Chen, L.C.; Sun, Q.; Satoskar, A.R.; Rajagopalan, S. Pulmonary T cell activation in response to chronic particulate air pollution. Am. J. Physiol. Lung Cell. Mol. Physiol. 2012, 302, L399–L409. [Google Scholar] [CrossRef] [PubMed]
- Herr, C.E.; Dostal, M.; Ghosh, R.; Ashwood, P.; Lipsett, M.; Pinkerton, K.E.; Sram, R.; Hertz-Picciotto, I. Air pollution exposure during critical time periods in gestation and alterations in cord blood lymphocyte distribution: A cohort of livebirths. Environ. Health 2010, 9, 46. [Google Scholar] [CrossRef] [PubMed]
- Delfino, R.J.; Staimer, N.; Tjoa, T.; Gillen, D.L.; Schauer, J.J.; Shafer, M.M. Airway inflammation and oxidative potential of air pollutant particles in a pediatric asthma panel. J. Expo. Sci. Environ. Epidemiol. 2013, 23, 466–473. [Google Scholar] [CrossRef] [PubMed]
- Nachman, R.M.; Mao, G.; Zhang, X.; Hong, X.; Chen, Z.; Soria, C.S.; He, H.; Wang, G.; Caruso, D.; Pearson, C. Intrauterine Inflammation and Maternal Exposure to Ambient PM2.5 during Preconception and Specific Periods of Pregnancy: The Boston Birth Cohort. Environ. Health Perspect. 2016, 124, 1608–1615. [Google Scholar] [CrossRef] [PubMed]
- Brook, R.D.; Rajagopalan, S.; Pope, C.R.; Brook, J.R.; Bhatnagar, A.; Diez-Roux, A.V.; Holguin, F.; Hong, Y.; Luepker, R.V.; Mittleman, M.A. Particulate matter air pollution and cardiovascular disease: An update to the scientific statement from the American Heart Association. Circulation 2010, 121, 2331–2378. [Google Scholar] [CrossRef] [PubMed]
- Wan, Q.; Cui, X.; Shao, J.; Zhou, F.; Jia, Y.; Sun, X.; Zhao, X.; Chen, Y.; Diao, J.; Zhang, L. Beijing ambient particle exposure accelerates atherosclerosis in ApoE knockout mice by upregulating visfatin expression. Cell Stress Chaperones 2014, 19, 715–724. [Google Scholar] [CrossRef] [PubMed]
- Luo, B.; Shi, H.; Wang, L.; Shi, Y.; Wang, C.; Yang, J.; Wan, Y.; Niu, J. Rat lung response to PM2.5 exposure under different cold stresses. Int. J. Environ. Res. Public Health 2014, 11, 12915–12926. [Google Scholar] [CrossRef] [PubMed]
- Pei, Y.; Jiang, R.; Zou, Y.; Wang, Y.; Zhang, S.; Wang, G.; Zhao, J.; Song, W. Effects of Fine Particulate Matter (PM2.5) on Systemic Oxidative Stress and Cardiac Function in ApoE(−/−) Mice. Int. J. Environ. Res. Public Health 2016, 13, 484. [Google Scholar] [CrossRef] [PubMed]
- Fialova, L.; Malbohan, I.; Kalousova, M.; Soukupova, J.; Krofta, L.; Stipek, S.; Zima, T. Oxidative stress and inflammation in pregnancy. Scand. J. Clin. Lab. Investig. 2006, 66, 121–127. [Google Scholar] [CrossRef] [PubMed]
- Grevendonk, L.; Janssen, B.G.; Vanpoucke, C.; Lefebvre, W.; Hoxha, M.; Bollati, V.; Nawrot, T.S. Mitochondrial oxidative DNA damage and exposure to particulate air pollution in mother-newborn pairs. Environ. Health-Glob. 2016, 15, 10. [Google Scholar] [CrossRef] [PubMed]
- Gruse, J.; Kanitz, E.; Weitzel, J.M.; Tuchscherer, A.; Stefaniak, T.; Jawor, P.; Wolffram, S.; Hammon, H.M. Quercetin feeding in newborn dairy calves cannot compensate colostrum deprivation: Study on metabolic, antioxidative and inflammatory traits. PLoS ONE 2016, 11, e146932. [Google Scholar] [CrossRef] [PubMed]
- Djouossi, M.G.; Tamokou, J.D.; Ngnokam, D.; Kuiate, J.R.; Tapondjou, L.A.; Harakat, D.; Voutquenne-Nazabadioko, L. Antimicrobial and antioxidant flavonoids from the leaves of Oncoba spinosa Forssk. (Salicaceae). BMC Complement. Altern. Med. 2015, 15, 134. [Google Scholar] [CrossRef] [PubMed]
- Upadhyay, N.K.; Kumar, R.; Siddiqui, M.S.; Gupta, A. Mechanism of Wound-Healing activity of hippophae rhamnoides l. Leaf extract in experimental burns. Evid. Based Complement. Alternat. Med. 2011, 2011, 659705. [Google Scholar] [CrossRef] [PubMed]
- Mouat, M.F.; Kolli, K.; Orlando, R.; Hargrove, J.L.; Grider, A. The effects of quercetin on SW480 human colon carcinoma cells: A proteomic study. Nutr. J. 2005, 4, 11. [Google Scholar] [CrossRef] [PubMed]
- Lee, J.; Choi, J.W.; Sohng, J.K.; Pandey, R.P.; Park, Y.I. The immunostimulating activity of quercetin 3-O-xyloside in murine macrophages via activation of the ASK1/MAPK/NF-kappaB signaling pathway. Int. Immunopharmacol. 2016, 31, 88–97. [Google Scholar] [CrossRef] [PubMed]
- Zhong, J.; Colicino, E.; Lin, X.; Mehta, A.; Kloog, I.; Zanobetti, A.; Byun, H.M.; Bind, M.A.; Cantone, L.; Prada, D. Cardiac autonomic dysfunction: Particulate air pollution effects are modulated by epigenetic immunoregulation of toll-like receptor 2 and dietary flavonoid intake. J. Am. Heart Assoc. Cardiovasc. Cerebrovasc. Dis. 2015, 4, e1423. [Google Scholar] [CrossRef] [PubMed]
- Hayashi, Y.; Matsushima, M.; Nakamura, T.; Shibasaki, M.; Hashimoto, N.; Imaizumi, K.; Shimokata, K.; Hasegawa, Y.; Kawabe, T. Quercetin protects against pulmonary oxidant stress via heme oxygenase-1 induction in lung epithelial cells. Biochem. Biophys. Res. Commun. 2012, 417, 169–174. [Google Scholar] [CrossRef] [PubMed]
- Hasegawa-Baba, Y.; Kubota, H.; Takata, A.; Miyagawa, M. Intratracheal instillation methods and the distribution of administered material in the lung of the rat. J. Toxicol. Pathol. 2014, 27, 197–204. [Google Scholar] [CrossRef] [PubMed]
- Rudmann, D.G.; Preston, A.M.; Moore, M.W.; Beck, J.M. Susceptibility to Pneumocystis carinii in mice is dependent on simultaneous deletion of IFN-gamma and type 1 and 2 TNF receptor genes. J. Immunol. 1998, 161, 360–366. [Google Scholar] [PubMed]
- Robledo, C.A.; Mendola, P.; Yeung, E.; Mannisto, T.; Sundaram, R.; Liu, D.; Ying, Q.; Sherman, S.; Grantz, K.L. Preconception and early pregnancy air pollution exposures and risk of gestational diabetes mellitus. Environ. Res. 2015, 137, 316–322. [Google Scholar] [CrossRef] [PubMed]
- DeFranco, E.; Hall, E.; Hossain, M.; Chen, A.; Haynes, E.N.; Jones, D.; Ren, S.; Lu, L.; Muglia, L. Air pollution and stillbirth risk: Exposure to airborne particulate matter during pregnancy is associated with fetal death. PLoS ONE 2015, 10, e120594. [Google Scholar] [CrossRef] [PubMed]
- Shi, Y.; Ji, Y.; Sun, H.; Hui, F.; Hu, J.; Wu, Y.; Fang, J.; Lin, H.; Wang, J.; Duan, H. Nanoscale characterization of PM2.5 airborne pollutants reveals high adhesiveness and aggregation capability of soot particles. Sci. Rep. 2015, 5, 11232. [Google Scholar] [CrossRef] [PubMed]
- Hong, Z.; Zhengyan, Z.; Youjun, J. Multifactorial analysis of effects of mothers’ autoimmune thyroid disease on their infants’ intellectual development. Chin. J. Pediatr. 2005, 43, 340–344. [Google Scholar]
- Liu, Y.; Wang, L.; Wang, F.; Li, C. Effect of Fine Particulate Matter (PM2.5) on Rat Placenta Pathology and Perinatal Outcomes. Med. Sci. Monit. Int. Med. J. Exp. Clin. Res. 2016, 22, 3274–3280. [Google Scholar] [CrossRef]
- Fuentes-Arderiu, X.; Mestre, M. Description of flow cytometry examinations related to human cell differentiation molecules in clinical immunology. Cytom. B Clin. Cytom. 2009, 76, 291–293. [Google Scholar] [CrossRef] [PubMed]
- Dietert, R.R.; Etzel, R.A.; Chen, D.; Halonen, M.; Holladay, S.D.; Jarabek, A.M.; Landreth, K.; Peden, D.B.; Pinkerton, K.; Smialowicz, R.J. Workshop to identify critical windows of exposure for children’s health: Immune and respiratory systems work group summary. Environ. Health Perspect. 2000, 108, 483–490. [Google Scholar] [CrossRef] [PubMed]
- Aztatzi-Aguilar, O.G.; Uribe-Ramírez, M.; Narváez-Morales, J.; De Vizcaya-Ruiz, A.; Barbier, O. Early kidney damage induced by subchronic exposure to PM2.5 in rats. Part. Fibre Toxicol. 2016, 13, 68. [Google Scholar] [CrossRef] [PubMed]
- Abraham, N.G.; Kappas, A. Pharmacological and clinical aspects of heme oxygenase. Pharmacol. Rev. 2008, 60, 79–127. [Google Scholar] [CrossRef] [PubMed]
- Paine, A.; Eiz-Vesper, B.; Blasczyk, R.; Immenschuh, S. Signaling to heme oxygenase-1 and its anti-inflammatory therapeutic potential. Biochem. Pharmacol. 2010, 80, 1895–1903. [Google Scholar] [CrossRef] [PubMed]
- Soares, M.P.; Marguti, I.; Cunha, A.; Larsen, R. Immunoregulatory effects of HO-1: How does it work? Curr. Opin. Pharmacol. 2009, 9, 482–489. [Google Scholar] [CrossRef] [PubMed]
- Boots, A.W.; Haenen, G.R.; Bast, A. Health effects of quercetin: From antioxidant to nutraceutical. Eur. J. Pharmacol. 2008, 585, 325–337. [Google Scholar] [CrossRef] [PubMed]
- Willhite, C.C. Teratogenic potential of quercetin in the rat. Food Chem. Toxicol. Int. J. Publ. Br. Ind. Biol. Res. Assoc. 1982, 20, 75. [Google Scholar] [CrossRef]
- Xu, H.; Wu, Z.H.; Xu, Y.J. Effects of quercetin in pregnant and lactation period on weight and expression of insulin-like growth factors-1 mRNA of obese female rats offspring. Beijing Da Xue Xue Bao 2014, 46, 347–354. [Google Scholar] [PubMed]
- Sun, G.Y.; Chen, Z.; Jasmer, K.J.; Chuang, D.Y.; Gu, Z.; Hannink, M.; Simonyi, A. Quercetin attenuates inflammatory responses in BV-2 microglial cells: Role of MAPKs on the Nrf2 pathway and induction of heme oxygenase-1. PLoS ONE 2015, 10, e141509. [Google Scholar] [CrossRef] [PubMed]
- Mo, S.F.; Zhou, F.; Lv, Y.Z.; Hu, Q.H.; Zhang, D.M.; Kong, L.D. Hypouricemic action of selected flavonoids in mice: Structure-activity relationships. Biol. Pharm. Bull. 2007, 30, 1551–1556. [Google Scholar] [CrossRef] [PubMed]
- Johnson, M.K.; Loo, G. Effects of epigallocatechin gallate and quercetin on oxidative damage to cellular DNA. Mutat. Res. 2000, 459, 211–218. [Google Scholar] [CrossRef]
- Fan, P.; Lou, H. Effects of polyphenols from grape seeds on oxidative damage to cellular DNA. Mol. Cell. Biochem. 2004, 267, 67–74. [Google Scholar] [CrossRef] [PubMed]
- Vanhees, K.; Godschalk, R.W.; Sanders, A.; van Waalwijk, V.D.S.; van Schooten, F.J. Maternal quercetin intake during pregnancy results in an adapted iron homeostasis at adulthood. Toxicology 2011, 290, 350–358. [Google Scholar] [CrossRef] [PubMed]








| Group | Intervention | N | PM2.5 (mg/kg) | Quercetin (mg/kg) |
|---|---|---|---|---|
| A | Normal control | 10 | - | - |
| B | PM2.5 model control | 10 | 15 | - |
| C | low-dosage quercetin | 10 | 15 | quercetin (50) |
| D | middle-dosage quercetin | 10 | 15 | quercetin (100) |
| E | high-dosage quercetin | 10 | 15 | quercetin (200) |
| A | Pulmonary Inflammation Score Criteria |
| 0 | No lesions |
| 1 | Minimal lymphocytic inflammation restricted to perivascular and peribronchiolar regions |
| 2 | Moderate perivascular and peribronchiolar inflammation with mildly increased numbers of alveolar macrophages, lymphocytes, and eosinophils |
| 3 | Marked perivascular and peribronchiolar inflammation with moderately increased numbers of alveolar macrophages, lymphocytes, eosinophils, and multinucleated giant cells |
| 4 | Severe perivascular and peribronchiolar inflammation with markedly increased numbers of alveolar macrophages, eosinophils, lymphocytes and multinucleated giant cells |
| 5 | Severe perivascular and peribronchiolar inflammation with effacement of alveolar parenchyma and small airways by sheets of inflammatory cells |
| B | Interstitial Congestion and Hyaline Membrane Formation |
| 1 | Normal lung |
| 2 | Moderate (<25% of lung section) |
| 3 | Intermediate (25–50% of lung section) |
| 4 | Severe (>50% of lung section) |
| C | Hemorrhage |
| 0 | Absent |
| 1 | Present |
| Group | Spleen Index (mg/g) | Thymus Index (mg/g) |
|---|---|---|
| A | 2.09 ± 0.40 | 1.01 ± 0.15 |
| B | 2.04 ± 0.49 | 1.09 ± 0.18 |
| C | 2.21 ± 0.54 | 1.15 ± 0.22 |
| D | 2.18 ± 0.24 | 1.02 ± 0.17 |
| E | 2.18 ± 0.45 | 1.16 ± 0.26 |
| Group | CD3+ | CD3+CD4+ | CD3+CD8+ | CD19+ | CD19+CD5− | CD19+CD5+ |
|---|---|---|---|---|---|---|
| A | 29.82 ± 13.38 | 19.91 ± 8.60 | 7.56 ± 5.13 | 28.56 ± 14.13 | 97.27 ± 1.71 | 2.73 ± 1.71 |
| B | 42.91 ± 13.70 ** | 32.29 ± 9.87 ** | 12.61 ± 3.62 ** | 31.81 ± 15.67 | 96.98 ± 1.34 | 3.02 ± 1.34 |
| C | 41.09 ± 10.32 * | 28.36 ± 6.70 * | 12.17 ± 3.14 * | 22.12 ± 7.06 | 97.68 ± 1.09 | 2.32 ± 1.09 |
| D | 32.86 ± 5.65 # | 23.03 ± 3.38 # | 8.28 ± 3.43 # | 26.24 ± 7.37 | 97.43 ± 0.57 | 2.58 ± 0.57 |
| E | 39.98 ± 10.71 * | 27.86 ± 6.48 * | 12.09 ± 5.19 * | 23.63 ± 11.55 | 97.49 ± 0.81 | 2.53 ± 0.83 |
© 2017 by the authors. Licensee MDPI, Basel, Switzerland. This article is an open access article distributed under the terms and conditions of the Creative Commons Attribution (CC BY) license (http://creativecommons.org/licenses/by/4.0/).
Share and Cite
Liu, W.; Zhang, M.; Feng, J.; Fan, A.; Zhou, Y.; Xu, Y. The Influence of Quercetin on Maternal Immunity, Oxidative Stress, and Inflammation in Mice with Exposure of Fine Particulate Matter during Gestation. Int. J. Environ. Res. Public Health 2017, 14, 592. https://doi.org/10.3390/ijerph14060592
Liu W, Zhang M, Feng J, Fan A, Zhou Y, Xu Y. The Influence of Quercetin on Maternal Immunity, Oxidative Stress, and Inflammation in Mice with Exposure of Fine Particulate Matter during Gestation. International Journal of Environmental Research and Public Health. 2017; 14(6):592. https://doi.org/10.3390/ijerph14060592
Chicago/Turabian StyleLiu, Wei, Minjia Zhang, Jinqiu Feng, Aiqin Fan, Yalin Zhou, and Yajun Xu. 2017. "The Influence of Quercetin on Maternal Immunity, Oxidative Stress, and Inflammation in Mice with Exposure of Fine Particulate Matter during Gestation" International Journal of Environmental Research and Public Health 14, no. 6: 592. https://doi.org/10.3390/ijerph14060592
APA StyleLiu, W., Zhang, M., Feng, J., Fan, A., Zhou, Y., & Xu, Y. (2017). The Influence of Quercetin on Maternal Immunity, Oxidative Stress, and Inflammation in Mice with Exposure of Fine Particulate Matter during Gestation. International Journal of Environmental Research and Public Health, 14(6), 592. https://doi.org/10.3390/ijerph14060592
