Sodium p-Aminosalicylic Acid Reverses Sub-Chronic Manganese-Induced Impairments of Spatial Learning and Memory Abilities in Rats, but Fails to Restore γ-Aminobutyric Acid Levels
Abstract
:1. Introduction
2. Materials and Methods
2.1. Ethics Statement
2.2. Experimental Animals
2.3. Experimental Design
2.4. Morris Water Maze (MWM) Test
2.5. Tissue Extraction and Preparation
2.6. Determination of GABA Levels
2.7. Determination of Glu Decarboxylase (GAD) Activity
2.8. Determination of GABA-Transaminase (GABA-T) Activity
2.9. Real-Time Polymerase Chain Reaction (RT-PCR) and Western Blot Analysis
2.10. Statistical Analysis
3. Results
3.1. PAS-Na Treatment Recovered Sub-Chronic Mn Exposure Induced Impairments of Spatial Learning and Memory Abilities
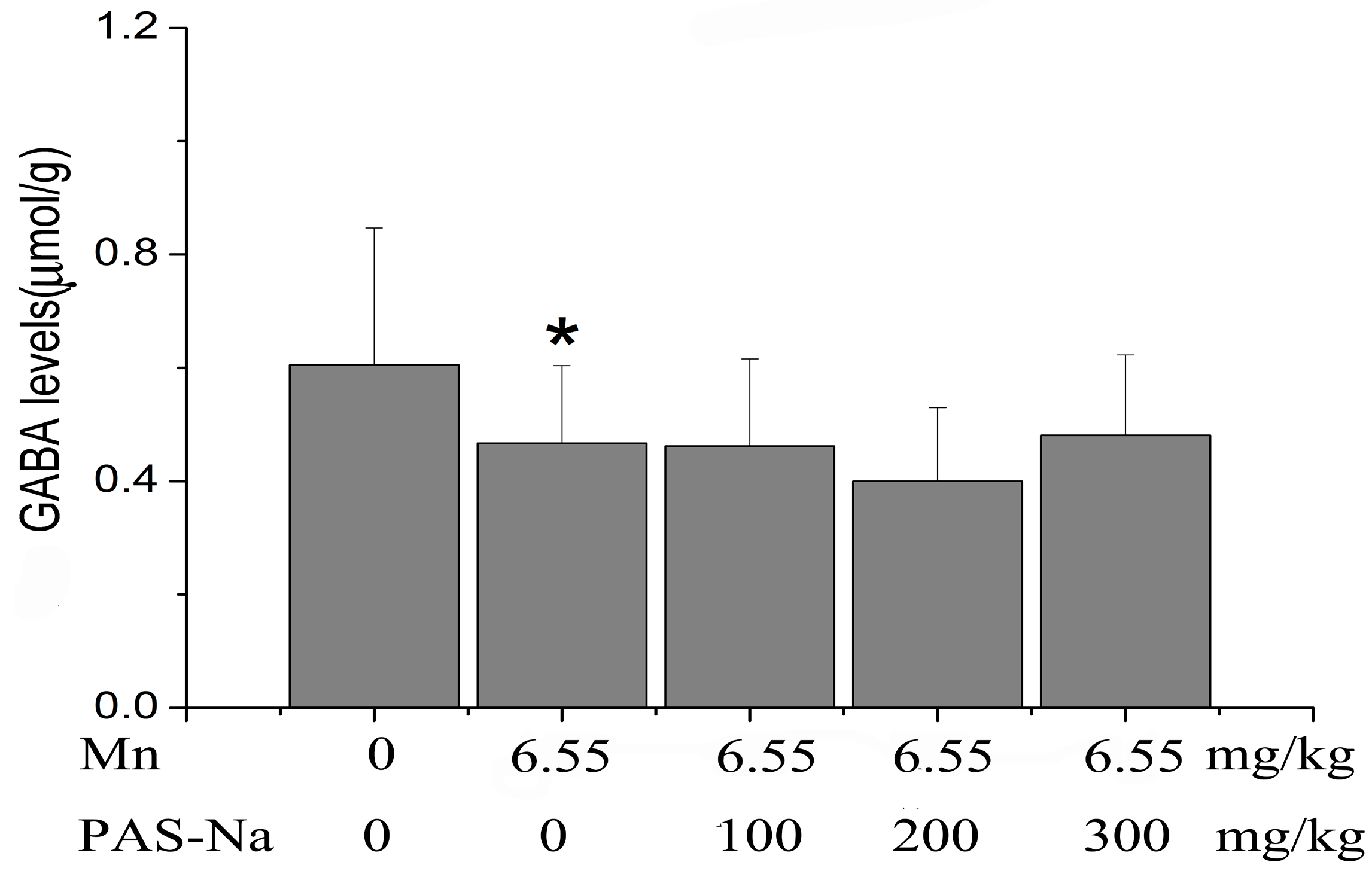
3.2. PAS-Na Treatment Failed to Restore Mn-Induced Decrease in GABA Levels in the Basal Ganglia
3.3. PAS-Na Treatment Restored Mn-Induced Changes of GABA Enzymes
3.4. PAS-Na Prevented Mn-Induced Transcriptional Changes in GABAA and GAT-1 Expression
4. Discussion
5. Conclusions
Acknowledgments
Author Contributions
Conflicts of Interest
References
- Takeda, A. Function and toxicity of trace metals in the central nervous system. Clin. Calcium 2004, 14, 45–49. [Google Scholar] [PubMed]
- Prohaska, J.R. Functions of trace elements in brain metabolism. Physiol. Rev. 1987, 67, 858–901. [Google Scholar] [PubMed]
- Kwakye, G.F.; Paoliello, M.M.; Mukhopadhyay, S.; Bowman, A.B.; Aschner, M. Manganese-Induced Parkinsonism and Parkinson’s Disease: Shared and Distinguishable Features. Int. J. Environ. Res. Public Health 2015, 12, 7519–7540. [Google Scholar] [CrossRef] [PubMed]
- Dydak, U.; Jiang, Y.M.; Long, L.L.; Zhu, H.; Chen, J.; Li, W.M.; Edden, R.A.; Hu, S.; Fu, X.; Long, Z.; et al. In vivo measurement of brain GABA concentrations by magnetic resonance spectroscopy in smelters occupationally exposed to manganese. Environ. Health Perspect. 2011, 119, 219–224. [Google Scholar] [CrossRef] [PubMed]
- Criswell, R.S.; Perlmutter, J.S.; Huang, J.L.; Golchin, N.; Flores, H.P.; Hobson, A.; Aschner, M.; Erikson, K.M.; Checkoway, H.; Racette, B.A. Basal ganglia intensity indices and diffusion weighted imaging in manganese-exposed welders. Occup. Environ. Med. 2012, 69, 437–443. [Google Scholar] [CrossRef] [PubMed]
- Aschner, M. Manganese: Brain transport and emerging research needs. Environ. Health Perspect. 2000, 108 (Suppl. 3), 429–432. [Google Scholar] [CrossRef] [PubMed]
- Beaudin, A.S.; Strupp, B.J.; Lasley, S.M.; Fornal, C.A.; Mandal, S.; Smith, D.R. Oral methylphenidate alleviates the fine motor dysfunction caused by chronic postnatal manganese exposure in adult rats. Toxicol. Sci. 2015, 144, 318–327. [Google Scholar] [CrossRef] [PubMed]
- Defazio, G.; Soleo, L.; Zefferino, R.; Livrea, P. Manganese toxicity in serumless dissociated mesencephalic and striatal primary culture. Brain Res. Bull. 1996, 40, 257–262. [Google Scholar] [CrossRef]
- Crooks, R.D.; Welch, N.; Smith, D.R. Low-level manganese exposure alters glutamate metabolism in GABAergic AF5 cells. Neurotoxicology 2007, 28, 548–554. [Google Scholar] [CrossRef] [PubMed]
- Gwiazda, H.R.; Lee, D.; Sheridan, J.; Smith, D.R. Low cumulative manganese exposure affects striatal GABA but not dopamine. Neurotoxicology 2002, 23, 69–76. [Google Scholar] [CrossRef]
- Godinho, F.A.; Souza, A.C.D.; Carvalho, C.C.; Horta, D.F.; de Fraia, D.; Anselmo, F.; Chaguri, J.L.; Faria, C.A. Memory impairment due to fipronil pesticide exposure occurs at the GABAA receptor level, in rats. Physiol. Behav. 2016, 165, 28–34. [Google Scholar] [CrossRef] [PubMed]
- Davis, M. The role of the amygdala in emotional learning. Int. Rev. Neurobiol. 1994, 36, 225–266. [Google Scholar] [PubMed]
- Ade, K.K.; Janssen, M.J.; Ortinski, P.I.; Vicini, S. Differential tonic GABA conductances in striatal medium spiny neurons. J. Neurosci. 2008, 28, 1185–1197. [Google Scholar] [CrossRef] [PubMed]
- Michels, L.; Martin, E.; Klaver, P.; Edden, R.; Zelaya, F.; Lythgoe, D.J.; Luchinger, R.; Brandeis, D.; O’Gorman, R.L. Frontal GABA levels change during working memory. PLoS ONE 2012, 7, e31933. [Google Scholar] [CrossRef] [PubMed]
- Sidoryk-Wegrzynowicz, M.; Aschner, M. Role of astrocytes in manganese mediated neurotoxicity. BMC Pharmacol. Toxicol. 2013, 14, 23. [Google Scholar] [CrossRef] [PubMed]
- Lai, C.J.; Leung, T.K.; Lim, L. Brain regional distribution of glutamic acid decarboxylase, choline acetyltransferase, and acetylcholinesterase in the rat: Effects of chronic manganese chloride administration after two years. J. Neurochem. 1981, 36, 1443–1448. [Google Scholar] [CrossRef] [PubMed]
- Chandra, V.S.; Malhotra, K.M.; Shukla, G.S. GABAergic neurochemistry in manganese exposed rats. Acta Pharmacol. Toxicol. 1982, 51, 456–458. [Google Scholar] [CrossRef]
- Tomas-Camardiel, M.; Herrera, A.J.; Venero, J.L.; Sanchez-Hidalgo, M.C.; Cano, J.; Machado, A. Differential regulation of glutamic acid decarboxylase mRNA and tyrosine hydroxylase mRNA expression in the aged manganese-treated rats. Brain Res. Mol. Brain Res. 2002, 103, 116–129. [Google Scholar] [CrossRef]
- Laprade, N.; Soghomonian, J.J. Gene expression of the GAD67 and GAD65 isoforms of glutamate decarboxylase is differentially altered in subpopulations of striatal neurons in adult rats lesioned with 6-OHDA as neonates. Synapse 1999, 33, 36–48. [Google Scholar] [CrossRef]
- Chu, N.S. Effect of levodopa treatment for parkinsonism in welders: A double-blind study. Neurology 2004, 62, 730–733. [Google Scholar] [CrossRef]
- Nachtman, J.P.; Delor, S.; Brennan, C.E. Manganese neurotoxicity: Effects of varying oxygen tension and EDTA on dopamine auto-oxidation. Neurotoxicology 1987, 8, 249–253. [Google Scholar] [PubMed]
- Li, J.S.; Meng, H.Y.; Deng, X.F.; Fu, X.; Chen, J.W.; Huang, S.; Huang, Y.S.; Luo, H.L.; Ou, S.Y.; Jiang, Y.M. Protective effects of sodium p-aminosalicylic acid on learning and memory via increasing the number of basal forebrain choline acetyltransferase neurons in manganese-exposed rats. Hum. Exp. Toxicol. 2015, 34, 240–248. [Google Scholar] [CrossRef] [PubMed]
- Ky, Q.S.; Deng, H.S.; Xie, P.Y.; Hu, W. A report of two cases of chronic serious manganese poisoning treated with sodium para-aminosalicylic acid. Br. J. Ind. Med. 1992, 49, 66–69. [Google Scholar] [CrossRef] [PubMed]
- Tandon, K.S.; Singh, J. Removal of manganese by chelating agents from brain and liver of manganese treated rats: As in vitro and an in vivo study. Toxicology 1975, 5, 237–241. [Google Scholar] [CrossRef]
- Zheng, W.; Jiang, Y.M.; Zhang, Y.; Jiang, W.; Wang, X.; Cowan, D.M. Chelation therapy of manganese intoxication with para-aminosalicylic acid (PAS) in Sprague-Dawley rats. Neurotoxicology 2009, 30, 240–248. [Google Scholar] [CrossRef] [PubMed]
- Schneider, S.J.; Decamp, E.; Clark, K.; Bouquio, C.; Syversen, T.; Guilarte, T.R. Effects of chronic manganese exposure on working memory in non-human primates. Brain Res. 2009, 1258, 86–95. [Google Scholar] [CrossRef] [PubMed]
- Schneider, S.J.; Williams, C.; Ault, M.; Guilarte, T.R. Effects of chronic manganese exposure on attention and working memory in non-human primates. Neurotoxicology 2015, 48, 217–222. [Google Scholar] [CrossRef] [PubMed]
- Jiang, M.Y.; Mo, X.A.; Du, F.Q.; Fu, X.; Zhu, X.Y.; Gao, H.Y.; Xie, J.L.; Liao, F.L.; Pira, E.; Zheng, W. Effective treatment of manganese-induced occupational Parkinsonism with p-aminosalicylic acid: A case of 17-year follow-up study. J. Occup. Environ. Med. 2006, 48, 644–649. [Google Scholar] [CrossRef] [PubMed]
- Tandon, S.K. Chelation in metal intoxication. VI. Influence of PAS and CDTA on the excretion of manganese in rabbits given MnO2. Toxicology 1978, 9, 379–385. [Google Scholar] [CrossRef]
- Sanchez, J.D.; Gomez, M.; Domingo, J.L.; Llobet, J.M.; Corbella, J. Relative efficacy of chelating agents on excretion and tissue distribution of manganese in mice. J. Appl. Toxicol. 1995, 15, 285–288. [Google Scholar] [CrossRef] [PubMed]
- Ou, Y.C.; Luo, Y.N.; He, S.N.; Deng, X.F.; Luo, H.L.; Yuan, Z.X.; Meng, H.Y.; Mo, Y.H.; Li, S.J.; Jiang, Y.M. Sodium p-Aminosalicylic Acid Improved Manganese-Induced Learning and Memory Dysfunction via Restoring the Ultrastructural Alterations and gamma-Aminobutyric Acid Metabolism Imbalance in the Basal Ganglia. Biol. Trace Elem. Res. 2017, 176, 143–153. [Google Scholar] [CrossRef] [PubMed]
- Li, J.S.; Li, Y.; Chen, J.W.; Yuan, Z.X.; Mo, Y.H.; Lu, G.D.; Jiang, Y.M.; Ou, C.Y.; Wang, F.; Huang, X.W.; et al. Sodium Para-aminosalicylic Acid Protected Primary Cultured Basal Ganglia Neurons of Rat from Manganese-Induced Oxidative Impairment and Changes of Amino Acid Neurotransmitters. Biol. Trace Elem. Res. 2016, 170, 357–365. [Google Scholar] [CrossRef] [PubMed]
- Wasserman, A.G.; Liu, X.; Parvez, F.; Ahsan, H.; Levy, D.; Factor-Litvak, P.; Kline, J.; van Geen, A.; Slavkovich, V.; LoIacono, N.J.; et al. Water manganese exposure and children’s intellectual function in Araihazar, Bangladesh. Environ. Health Perspect. 2006, 114, 124–129. [Google Scholar] [CrossRef] [PubMed]
- Bolte, S.; Normandin, L.; Kennedy, G.; Zayed, J. Human exposure to respirable manganese in outdoor and indoor air in urban and rural areas. J. Toxicol. Environ. Health A 2004, 67, 459–467. [Google Scholar] [CrossRef] [PubMed]
- Dorman, C.D.; Struve, M.F.; Vitarella, D.; Byerly, F.L.; Goetz, J.; Miller, R. Neurotoxicity of manganese chloride in neonatal and adult CD rats following subchronic (21-day) high-dose oral exposure. J. Appl. Toxicol. 2000, 20, 179–187. [Google Scholar] [CrossRef]
- Yuan, X.Z.; Chen, H.B.; Li, S.J.; Huang, X.W.; Mo, Y.H.; Luo, Y.N.; He, S.N.; Deng, X.F.; Lu, G.D.; Jiang, Y.M. The influence of manganese treatment on the distribution of metal elements in rats and the protection by sodium para-amino salicylic acid. J. Trace Elem. Med. Biol. 2016, 36, 84–89. [Google Scholar] [CrossRef] [PubMed]
- Santos-Burgoa, C.; Rios, C.; Mercado, L.A.; Arechiga-Serrano, R.; Cano-Valle, F.; Eden-Wynter, R.A.; Texcalac-Sangrador, J.L.; Villa-Barragan, J.P.; Rodriguez-Agudelo, Y.; Montes, S. Exposure to manganese: Health effects on the general population, a pilot study in central Mexico. Environ. Res. 2001, 85, 90–104. [Google Scholar] [CrossRef] [PubMed]
- Gulson, B.; Mizon, K.; Taylor, A.; Korsch, M.; Stauber, J.; Davis, J.M.; Louie, H.; Wu, M.; Swan, H. Changes in manganese and lead in the environment and young children associated with the introduction of methylcyclopentadienyl manganese tricarbonyl in gasoline—Preliminary results. Environ. Res. 2006, 100, 100–114. [Google Scholar] [CrossRef] [PubMed]
- Cortez-Lugo, M.; Rodriguez-Dozal, S.; Rosas-Perez, I.; Alamo-Hernandez, U.; Riojas-Rodriguez, H. Modeling and estimating manganese concentrations in rural households in the mining district of Molango, Mexico. Environ. Monit. Assess. 2015, 187, 752. [Google Scholar] [CrossRef] [PubMed]
- Takser, L.; Mergler, D.; Hellier, G.; Sahuquillo, J.; Huel, G. Manganese, monoamine metabolite levels at birth, and child psychomotor development. Neurotoxicology 2003, 24, 667–674. [Google Scholar] [CrossRef]
- Liang, G.; Zhang, L.; Ma, S.; Lv, Y.; Qin, H.; Huang, X.; Qing, L.; Li, Q.; Chen, K.; Xiong, F.; et al. Manganese accumulation in hair and teeth as a biomarker of manganese exposure and neurotoxicity in rats. Environ. Sci. Pollut. Res. Int. 2016, 23, 12265–122371. [Google Scholar] [CrossRef] [PubMed]
- Pentikainen, P.; Wan, S.H.; Azarnoff, D.L. Bioavailability studies on p-aminosalicylic acid and its various salts in man. II. Comparison of parasal and pascorbic. Am. Rev. Respir. Dis. 1973, 108, 1340–1370. [Google Scholar] [PubMed]
- Peloquin, A.C.; Zhu, M.; Adam, R.D.; Singleton, M.D.; Nix, D.E. Pharmacokinetics of para-aminosalicylic acid granules under four dosing conditions. Ann. Pharmacother. 2001, 35, 1332–1338. [Google Scholar] [CrossRef] [PubMed]
- Okada, T.; Sugishita, T.; Murakami, T.; Murai, H.; Saikusa, T.; Horino, T.; Onoda, A.; Kajimoto, O.; Takahashi, R.; Takahashi, T. Effect of the Defatted Rice Germ Enriched with GABA for Sleepness,Depression,Autonomic Discorder by Oral Administration. Nippon Shokuhin Kagaku Kogaku Kaishi 2000, 47, 596–603. [Google Scholar] [CrossRef]
- Long, Z.; Medlock, C.; Dzemidzic, M.; Shin, Y.W.; Goddard, A.W.; Dydak, U. Decreased GABA levels in anterior cingulate cortex/medial prefrontal cortex in panic disorder. Prog. Neuropsychopharmacol. Biol. Psychiatry 2013, 44, 131–135. [Google Scholar] [CrossRef] [PubMed]
- Tong, Q.; Xu, Q.; Xia, Q.; Yuan, Y.; Zhang, L.; Sun, H.; Shan, H.; Zhang, K. Correlations between plasma levels of amino acids and nonmotor symptoms in Parkinson’s disease. J. Neural Transm. 2015, 122, 411–417. [Google Scholar] [CrossRef] [PubMed]
- Buchanan, J.R.; Gjini, K.; Darrow, D.; Varga, G.; Robinson, J.L.; Nadasdy, Z. Glutamate and GABA concentration changes in the globus pallidus internus of Parkinson’s patients during performance of implicit and declarative memory tasks: A report of two subjects. Neurosci. Lett. 2015, 589, 73–78. [Google Scholar] [CrossRef] [PubMed]
- Erikson, M.K.; Aschner, M. Manganese neurotoxicity and glutamate-GABA interaction. Neurochem. Int. 2003, 43, 475–480. [Google Scholar] [CrossRef]
- Bonilla, E. Increased GABA content in caudate nucleus of rats after chronic manganese chloride administration. J. Neurochem. 1978, 31, 551–552. [Google Scholar] [CrossRef] [PubMed]
- Zwingmann, C.; Leibfritz, D.; Hazell, A.S. Nmr spectroscopic analysis of regional brain energy metabolism in manganese neurotoxicity. Glia 2007, 55, 1610–1617. [Google Scholar] [CrossRef] [PubMed]
- Struve, F.M.; McManus, B.E.; Wong, B.A.; Dorman, D.C. Basal ganglia neurotransmitter concentrations in rhesus monkeys following subchronic manganese sulfate inhalation. Am. J. Ind. Med. 2007, 50, 772–778. [Google Scholar] [CrossRef] [PubMed]
- Gottesfeld, Z.; Samuel, D.; Icekson, Y. Glutamate and GABA levels and glutamate decarboxylase activity in brain regions of rats after prolonged treatment with alkali cations. Experientia 1973, 29, 68–69. [Google Scholar] [CrossRef] [PubMed]
- Sidoryk-Wegrzynowicz, M.; Aschner, M. Manganese toxicity in the central nervous system: The glutamine/glutamate-gamma-aminobutyric acid cycle. J. Intern. Med. 2013, 273, 466–477. [Google Scholar] [CrossRef] [PubMed]
- Luchetti, S.; Huitinga, I.; Swaab, D.F. Neurosteroid and GABA-A receptor alterations in Alzheimer’s disease, Parkinson’s disease and multiple sclerosis. Neuroscience 2011, 191, 6–21. [Google Scholar] [CrossRef] [PubMed]
- Chiu, S.C.; Brickley, S.; Jensen, K.; Southwell, A.; McKinney, S.; Cull-Candy, S.; Mody, I.; Lester, H.A. GABA transporter deficiency causes tremor, ataxia, nervousness, and increased GABA-induced tonic conductance in cerebellum. J. Neurosci. 2005, 25, 3234–3245. [Google Scholar] [CrossRef] [PubMed]
- Mombereau, C.; Kaupmann, K.; Gassmann, M.; Bettler, B.; van der Putten, H.; Cryan, J.F. Altered anxiety and depression-related behaviour in mice lacking GABAB(2) receptor subunits. Neuroreport 2005, 16, 307–310. [Google Scholar] [CrossRef] [PubMed]
- Anderson, G.J.; Cooney, P.T.; Erikson, K.M. Brain manganese accumulation is inversely related to gamma-amino butyric acid uptake in male and female rats. Toxicol. Sci. 2007, 95, 188–195. [Google Scholar] [CrossRef] [PubMed]
- Anderson, G.J.; Fordahl, S.C.; Cooney, P.T.; Weaver, T.L.; Colyer, C.L.; Erikson, K.M. Manganese exposure alters extracellular GABA, GABA receptor and transporter protein and mRNA levels in the developing rat brain. Neurotoxicology 2008, 29, 1044–1053. [Google Scholar] [CrossRef] [PubMed]
- Calne, B.D.; Chu, N.S.; Huang, C.C.; Lu, C.S.; Olanow, W. Manganism and idiopathic parkinsonism: Similarities and differences. Neurology 1994, 44, 1583–1586. [Google Scholar] [CrossRef] [PubMed]
- Pal, K.P.; Samii, A.; Calne, D.B. Manganese neurotoxicity: A review of clinical features, imaging and pathology. Neurotoxicology 1999, 20, 227–238. [Google Scholar] [PubMed]
- Li, J.S.; Luo, Y.N.; Li, Y.; Chen, J.W.; Mo, Y.H.; Yuan, Z.X.; Ou, S.Y.; Ou, C.Y.; Jiang, Y.M.; Deng, X.F. Sodium para-aminosalicylate protected cultured basal ganglia astrocytes from manganese-induced DNA damages and alteration of amino acid neurotransmitter levels. J. Toxicol. Sci. 2016, 41, 573–581. [Google Scholar] [CrossRef] [PubMed]
- Nelson, M.; Huggins, T.; Licorish, R.; Carroll, M.A.; Catapane, E.J. Effects of p-Aminosalicylic acid on the neurotoxicity of manganese on the dopaminergic innervation of the cilia of the lateral cells of the gill of the bivalve mollusc, Crassostrea virginica. Comp. Biochem. Physiol. C Toxicol. Pharmacol. 2010, 151, 264–270. [Google Scholar] [CrossRef] [PubMed]
- Yoon, H.; Kim, D.S.; Lee, G.H.; Kim, J.Y.; Kim, D.H.; Kim, K.W.; Chae, S.W.; You, W.H.; Lee, Y.C.; Park, S.J. Protective effects of sodium para-amino salicylate on manganese-induced neuronal death: The involvement of reactive oxygen species. J. Pharm. Pharmacol. 2009, 61, 1563–1569. [Google Scholar] [CrossRef] [PubMed]






© 2017 by the authors. Licensee MDPI, Basel, Switzerland. This article is an open access article distributed under the terms and conditions of the Creative Commons Attribution (CC BY) license (http://creativecommons.org/licenses/by/4.0/).
Share and Cite
Li, S.-J.; Ou, C.-Y.; He, S.-N.; Huang, X.-W.; Luo, H.-L.; Meng, H.-Y.; Lu, G.-D.; Jiang, Y.-M.; Vieira Peres, T.; Luo, Y.-N.; et al. Sodium p-Aminosalicylic Acid Reverses Sub-Chronic Manganese-Induced Impairments of Spatial Learning and Memory Abilities in Rats, but Fails to Restore γ-Aminobutyric Acid Levels. Int. J. Environ. Res. Public Health 2017, 14, 400. https://doi.org/10.3390/ijerph14040400
Li S-J, Ou C-Y, He S-N, Huang X-W, Luo H-L, Meng H-Y, Lu G-D, Jiang Y-M, Vieira Peres T, Luo Y-N, et al. Sodium p-Aminosalicylic Acid Reverses Sub-Chronic Manganese-Induced Impairments of Spatial Learning and Memory Abilities in Rats, but Fails to Restore γ-Aminobutyric Acid Levels. International Journal of Environmental Research and Public Health. 2017; 14(4):400. https://doi.org/10.3390/ijerph14040400
Chicago/Turabian StyleLi, Shao-Jun, Chao-Yan Ou, Sheng-Nan He, Xiao-Wei Huang, Hai-Lan Luo, Hao-Yang Meng, Guo-Dong Lu, Yue-Ming Jiang, Tanara Vieira Peres, Yi-Ni Luo, and et al. 2017. "Sodium p-Aminosalicylic Acid Reverses Sub-Chronic Manganese-Induced Impairments of Spatial Learning and Memory Abilities in Rats, but Fails to Restore γ-Aminobutyric Acid Levels" International Journal of Environmental Research and Public Health 14, no. 4: 400. https://doi.org/10.3390/ijerph14040400
APA StyleLi, S.-J., Ou, C.-Y., He, S.-N., Huang, X.-W., Luo, H.-L., Meng, H.-Y., Lu, G.-D., Jiang, Y.-M., Vieira Peres, T., Luo, Y.-N., & Deng, X.-F. (2017). Sodium p-Aminosalicylic Acid Reverses Sub-Chronic Manganese-Induced Impairments of Spatial Learning and Memory Abilities in Rats, but Fails to Restore γ-Aminobutyric Acid Levels. International Journal of Environmental Research and Public Health, 14(4), 400. https://doi.org/10.3390/ijerph14040400

