Impacts of Small-Scale Industrialized Swine Farming on Local Soil, Water and Crop Qualities in a Hilly Red Soil Region of Subtropical China
Abstract
:1. Introduction
2. Materials and Methods
2.1. General Situation of Study Area
2.2. Research Methods
2.2.1. Data and Sample Collection
2.2.2. Sample Analysis
2.2.3. Data Analysis
2.2.4. Statistical Analysis
3. Results and Discussion
3.1. General Information on Small-Scale Pig Farming
3.2. Annual Output of Wastes and Major Pollutants from Sample Pig Farms
3.3. Impacts of Small-Scale Pig Farming on Surface and Groundwater
3.4. Impacts of Small-Scale Pig Farming on Soil Environment
3.5. Impacts of Small-Scale Pig Farming on Crop Safety
3.6. Impact Factors on Soil and Water Environment
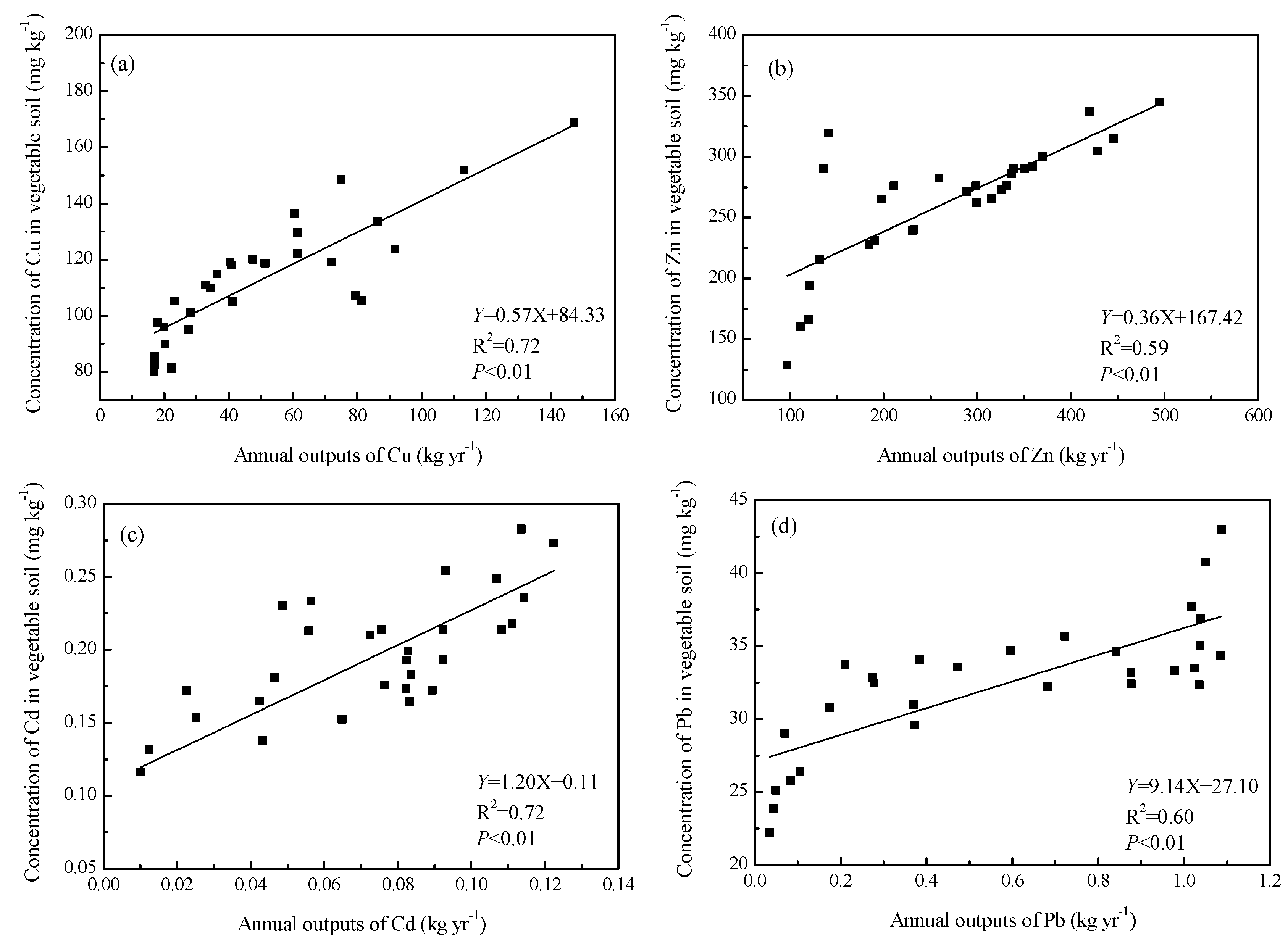
3.7. The Relationship between Outputs of Pollutants from Pig Farm and Soil Heavy Metals in the Vicinity of Sample Pig Farms
3.8. The Relationship between Outputs of Pollutants from Pig Farm and Quality of the Waterenvironment in the Vicinity of Sample Pig Farms
4. Conclusions
Acknowledgments
Author Contributions
Conflicts of Interest
References
- National Bureau of Statistics. Statistical Communiqué on National Economic and Social Development of China in 2013; National Bureau of Statistics: Beijing, China, 2014.
- Zhang, X.D. The Study on the Production Fluctuation Analysis, Forecasting and Warning for the Pig Industry in China. Ph.D. Thesis, Northeast Agricultural University, Haerbin, China, 2013. (In Chinese). [Google Scholar]
- Shen, Y.S.; Wu, J.X. Comparative analysis on the development of scale pig farming between America and China. World Agric. 2012, 4, 4–8. [Google Scholar]
- Kunavongkrit, A.; Heard, T.W. Pig reproduction in South East Asia. Anim. Reprod. Sci. 2000, 60, 527–533. [Google Scholar] [CrossRef]
- Herold, P.; Roessler, R.; Willam, A.; Momm, H.; Valle Zárate, A. Breeding and supply chain systems incorporating local pig breeds for small-scale pig producers in Northwest Vietnam. Livest. Sci. 2010, 129, 63–72. [Google Scholar] [CrossRef]
- Zhou, Z.G.; Li, Z.P.; He, Y.Q.; Wang, X.X. Scale pig farming and its impacts on soil and water environment in red soil hilly regions: A case study of Yujiang County, Jiangxi Province, China. Acta Pedol. Sin. 2013, 50, 703–711. (In Chinese) [Google Scholar]
- Nahm, K.H. Efficient feed nutrient utilization to reduce pollutants in poultry and swine manure. Crit. Rev. Environ. Sci. Technol. 2002, 32, 1–16. [Google Scholar] [CrossRef]
- Petersen, S.O.; Sommer, S.G.; Béline, F.; Burton, C.; Dach, J.; Dourmad, J.Y.; Leip, A.; Misselbrook, T.; Nicholson, F.; Poulsen, H.D.; et al. Recycling of livestock manure in a whole-farm perspective. Livest. Sci. 2007, 112, 180–191. [Google Scholar] [CrossRef]
- Eriksson, I.S.; Elmquist, H.; Stern, S.; Nybrant, T. Environmental systems analysis of pig production: The impact of feed choice. Int. J. Life Cycle Assess. 2005, 10, 143–154. [Google Scholar] [CrossRef]
- Liu, W.; Qiu, R.L. Mini-review water eutrophication in China and the combating strategies. J. Chem. Technol. Biotechnol. 2007, 82, 781–786. [Google Scholar] [CrossRef]
- Le, C.; Zha, Y.; Li, Y.; Sun, D.; Lu, H.; Yin, B. Eutrophication of lake waters in China: Cost, causes, and control. Environ. Manag. 2010, 45, 662–668. [Google Scholar] [CrossRef] [PubMed]
- Li, X.F.; Zhu, J.Z.; Gu, X.J.; Zhu, J.J. Current situation and control of agricultural non-point source pollution. China Popul. Resour. Environ. 2010, 20, 82–84. [Google Scholar]
- VanGrinsven, H.J.M.; Ward, M.H.; Benjamin, N.; de Kok, T.M. Does the evidence about health risks associated with nitrate ingestion warrant an increase of the nitrate standard for drinking water? Environ. Health-Glob. 2006, 5, 26. [Google Scholar] [CrossRef] [PubMed]
- Zhu, J.G.; Han, Y.; Liu, G.; Zhang, Y.L.; Shao, X.H. Nitrogen in percolation water in paddy fields with a rice/wheat rotation. Nutr. Cycl. Agroecosyst. 2000, 57, 75–82. [Google Scholar] [CrossRef]
- Khurana, M.P.S.; Aulakh, M.S. Influence of Wastewater Application and Fertilizer Use on the Quality of Irrigation Water, Soil and Food Crops: Case Studies from Northwestern India. In Proceedings of the 19th World Congress of Soil Science, Soil Solutions for a Changing World, Brisbane, Australia, 1–6 August 2010. [Google Scholar]
- Shi, J.C.; Yu, X.Y.; Zhang, M.K.; Lu, S.G.; Wu, W.H.; Wu, J.J.; Xu, J.M. Potential risks of copper, zinc, and cadmium pollution due to pig manure application in a soil-rice system under intensive farming: A case study of Nanhu, China. J. Environ. Qual. 2011, 40, 1695–1704. [Google Scholar] [CrossRef] [PubMed]
- Cang, L.; Wang, Y.J.; Zhou, D.M.; Dong, Y.H. Heavy metals pollution in poultry and livestock feeds and manures under intensive farming in Jiangsu Province, China. J. Environ. Sci. 2004, 16, 371–374. [Google Scholar]
- Meng, X.H. Study on Prevention Problem of China Livestock Environmental Pollution. Ph.D. Thesis, Huazhong Agricultural University, Wuhan, China, 2014. (In Chinese). [Google Scholar]
- Schaffner, M.; Bader, H.P.; Scheidegger, R. Modeling the contribution of pig farming to pollution of the Thachin River. Clean Technol. Environ. Policy 2010, 12, 407–425. [Google Scholar] [CrossRef]
- Hong, H.S.; Zeng, Y.; Zhang, L.P.; Chen, N.W.; Li, Y.Y.; Zheng, Y. Nutrient losses of livestock farms in Jiulong River watershed. J. Xiamen Univ. 2004, 43, 542–546. [Google Scholar]
- Bureau of Statistics of Yujiang County. Statistical Communiqué on National Economic and Social Development of Yujiang County in 2011; Bureau of Statistics of Yujiang County: Yujiang, China, 2012.
- State Environmental Protection Administration. Methods of Monitoring and Analyzing Water Andwastewater, 4th ed.; China Environmental Science Press: Beijing, China, 2002; pp. 200–415. (In Chinese) [Google Scholar]
- Lu, R.K. Analytical Methods for Soil and Agro-Chemistry; China Agricultural Science and Technology Press: Beijing, China, 2000; pp. 146–179. (In Chinese) [Google Scholar]
- Lammers, P.J.; Kenealy, M.D.; Kliebenstein, J.B.; Harmon, J.D.; Helmers, M.J.; Honeyman, M.S. Energy use in pig production: An examination of current Iowa systems. J. Anim. Sci. 2012, 90, 1056–1068. [Google Scholar] [CrossRef] [PubMed]
- Li, Y.; McCrory, D.F.; Powell, J.M.; Saam, H.; Jackson-Smith, D. A survey of selected heavy metal concentrations in Wisconsin dairy feeds. J. Dairy Sci. 2005, 88, 2911–2922. [Google Scholar] [CrossRef]
- López Alonso, M.; Benedito, J.L.; Miranda, M.; Castillo, C.; Hernández, J.; Shore, R.F. The effect of pig farming on copper and zinc accumulation in cattle in Galicia (North-Western Spain). Vet. J. 2000, 160, 259–266. [Google Scholar] [CrossRef] [PubMed]
- Zhang, F.S.; Li, Y.X.; Yang, M.; Li, W. Content of heavy metals in animal feeds and manures from farms of different scales in Northeast China. Int. J. Environ. Res. Public Health 2012, 9, 2658–2668. [Google Scholar] [CrossRef] [PubMed]
- Yin, Y.; Zhang, Y.L.; Shi, Z.Q.; Feng, L.Q.; Zhu, G.W. Temporal-spatial variations of chemical oxygen demand and biochemical oxygen demand in Lake Taihu. Acta Sci. Circumst. 2010, 30, 2544–2552. (In Chinese) [Google Scholar]
- Xu, L.; Li, H.; Chen, Y.X.; Yao, Y.X.; Liang, X.Q.; Zhou, L.; Yang, X.Z. Research on seasonal variation of self-purification ability for small shallow lakes in South Lake Taihu. Environ. Sci. 2010, 31, 924–930. (In Chinese) [Google Scholar]
- Yuan, J.Q.; Huang, Q.R.; Xiong, G.G.; Yu, X.C.; He, X.Y.; Zhuge, Y.; Nie, R.H. Preliminary exploration of water quality and fertilization in red soil exploitation area in Jiangxi Province. Acta Agric. Jiangxi 2002, 14, 13–17. (In Chinese) [Google Scholar]
- Stumborg, C.; Schoenau, J.J. Evaluating phosphorus loading from repeated manure applications to two Saskatchewan soils. Can. J. Soil Sci. 2008, 88, 377–387. [Google Scholar] [CrossRef]
- Eghball, B.; Wienhold, B.J.; Woodbury, B.L. Plant availability of phosphorus in swine slurry and cattle slurry and cattle feedlot manure. Am. Soc. Agron. 2005, 97, 542–548. [Google Scholar] [CrossRef]
- Lu, R.K. Principles of Soil and Plant Nutrition and Fertilizer; Chemical Industry Press: Beijing, China, 1998. (In Chinese) [Google Scholar]
- Chojnacka, K.; Chojnacki, A.; Górecka, H.; Górecki, H. Bioavailability of heavy metals from polluted soils to plants. Sci. Total Environ. 2005, 337, 175–182. [Google Scholar] [CrossRef] [PubMed]
- Kirkham, M.B. Cadmium in plants on polluted soils: Effects of soil factors, hyperaccumulation, and amendments. Geoderma 2006, 137, 19–32. [Google Scholar] [CrossRef]





| Content | Quantity |
|---|---|
| Proportion of pig farms starting | |
| before 2001 | 15.30% |
| in 2001–2005 | 28.50% |
| after 2005 (until 2015) | 56.20% |
| Sows in a pig farm (head) | |
| range | 7–104 |
| median | 40 |
| Annual sold hogs from a pig farm (head yr−1) | |
| range | 70–980 |
| median | 500 |
| Average sold hog amount per sow (head) | 14 |
| Contribution of annual sold hog from small-scale pig farms to the total annual of the study county | 13.70% |
| Proportion of pig farms at a critical distance from village <500 m | 46.60% |
| Annual manure production (ton yr−1) | |
| range | 52–422 |
| median | 216 |
| Annual urine production (ton yr−1) | |
| range | 81–652 |
| median | 333 |
| Annual washing wastewater production (ton yr−1) | |
| range | 177–1524 |
| median | 773 |
| Proportion of manure removal by | |
| dry-cleaning | 63.70% |
| water flushing | 28.10% |
| both | 8.20% |
| Proportion of manure disposal by | |
| application to croplands and orchards | 50% |
| application to fish-raising waters | 50% |
| Proportion of wastewater disposal by | |
| discharge to water bodies | 65% |
| irrigating croplands and orchards | 35% |
| Percentage of pig farms mounted with biogas tank | 13.60% |
| Basic Information | Annual Rainfall (mm) | Annual Runoff (mm) | Inception Year | Sows in Stock (Head) | Annual Sold Hog (Head) | Fresh Manure (ton yr−1) | Urine (ton yr−1) | Washing Wastewater (ton yr−1) |
|---|---|---|---|---|---|---|---|---|
| Range | 1472–1795 | 873–1302 | 1992–2009 | 25–60 | 300–990 | 137–404 | 210–632 | 486–1486 |
| median | 1553 | 1004 | 2003 | 56 | 700 | 306 | 472 | 1100 |
| Pollutants Source | Pollutants | TN (g kg−1) | TP (g kg−1) | Cu (mg kg−1) | Zn (mg kg−1) | Cd (mg kg−1) | Pb (mg kg−1) |
| Manure | Range | 3.7–11.7 | 2.7–7.0 | 19.4–110.0 | 121.6–331.5 | 0.017–0.119 | 0.14–1.01 |
| Mean | 7.3 | 4.6 | 40.8 | 262.4 | 0.064 | 0.55 | |
| Standard deviation | 2.44 | 1.55 | 26.8 | 48.5 | 0.034 | 0.33 | |
| Pollutants Source | Pollutants | TN (mg L−1) | TP (mg L−1) | Cu (mg L−1) | Zn (mg L−1) | Cd (mg L−1) | Pb (mg L−1) |
| Wastewater | Range | 0.25–1.69 | 0.004–0.031 | 0.02–0.29 | 0.03–5.81 | 0.0002–0.005 | 0.001–0.007 |
| Mean | 0.79 | 0.012 | 0.13 | 0.97 | 0.0004 | 0.006 | |
| Standard deviation | 0.34 | 0.011 | 0.09 | 1.22 | 0.0008 | 0.001 |
| Pollutants | TN (ton yr−1) | TP (ton yr−1) | Cu (kg yr−1) | Zn (kg yr−1) | Cd (kg yr−1) | Pb (kg yr−1) |
|---|---|---|---|---|---|---|
| Range | 0.47–3.66 | 0.22–0.94 | 16.99–147.4 | 97.8–495 | 0.01–0.11 | 0.08–1.09 |
| Mean | 1.87 | 0.51 | 46.4 | 297 | 0.07 | 0.64 |
| Standard deviation | 0.44 | 0.21 | 28.7 | 36.9 | 0.03 | 0.29 |
| Time | Treatment | COD | NH4+-N | NO3−-N | TN | TP | Cu | Zn | |
|---|---|---|---|---|---|---|---|---|---|
| (mg L−1) | |||||||||
| March | CK | Range | 0 | 0.05–0.23 | 0–0.23 | 0.04–1.08 | 0 | ND | ND |
| Mean | 0 | 0.14 | 0.12 | 0.67 | 0 | ND | ND | ||
| T | Range | 0 | 0.35–0.63 | 0.28–0.58 | 0.47–3.48 | 0.02–0.14 | ND | ND–0.021 | |
| Mean | 0 | 0.49 | 0.40 | 1.70 | 0.08 | ND | 0.02 | ||
| June | CK | Range | 0 | 0–0.24 | 0–0.11 | 0.01–0.63 | 0 | ND | ND |
| Mean | 0 | 0.11 | 0.07 | 0.52 | 0 | ND | ND | ||
| T | Range | 0 | 0–0.64 | 0–0.37 | 0.11–1.33 | 0.01–0.03 | ND–0.002 | ND–0.023 | |
| Mean | 0 | 0.26 | 0.18 | 0.82 | 0.02 | 0.001 | 0.016 | ||
| September | CK | Range | 0–4 | 0–0.89 | 0.08–0.23 | 0.36–1.05 | 0.01–0.04 | ND | ND |
| Mean | 2 | 0.37 | 0.15 | 0.74 | 0.02 | ND | ND | ||
| T | Range | 2–14 | 0.04–2.50 | 0.31–0.44 | 0.60–7.85 | 0.07–0.26 | 0.004–0.008 | ND–0.10 | |
| Mean | 8 | 0.99 | 0.40 | 2.62 | 0.14 | 0.006 | 0.05 | ||
| December | CK | Range | 3–18 | 0.07–1.03 | 0.11–0.26 | 0.51–0.92 | 0.02–0.11 | ND | ND |
| Mean | 9 | 0.56 | 0.18 | 0.79 | 0.07 | ND | ND | ||
| T | Range | 13–65 | 0.20–5.14 | 0.31–0.76 | 1.51–4.31 | 0.06–0.43 | 0.008–0.012 | ND–0.13 | |
| Mean | 39 | 1.72 | 0.57 | 2.91 | 0.17 | 0.01 | 0.09 | ||
| Time | Treatment | COD | NH4+-N | NO3−-N | TN | TP | Cu | Zn | |
|---|---|---|---|---|---|---|---|---|---|
| (mg L−1) | |||||||||
| March | CK | Range | 0 | 0–0.38 | 0.12–1.08 | 0.21–1.53 | 0 | ND | ND |
| Mean | 0 | 0.12 | 0.66 | 0.77 | 0 | ND | ND | ||
| T | Range | 0 | 0.21–0.58 | 0.27–5.82 | 0.21–6.81 | 0.03–0.06 | ND | 0–0.01 | |
| Mean | 0 | 0.40 | 3.05 | 3.51 | 0.04 | ND | 0.005 | ||
| June | CK | Range | 0 | 0–0.44 | 0.37–2.08 | 0.12–2.41 | 0 | ND | ND |
| Mean | 0 | 0.16 | 1.25 | 1.12 | 0 | ND | ND | ||
| T | Range | 0 | 0.09–1.33 | 2.40–18.2 | 1.62–19.3 | 0.07–0.11 | ND | ND | |
| Mean | 0 | 0.51 | 8.47 | 8.36 | 0.09 | ND | ND | ||
| September | CK | Range | 0 | 0.04–0.92 | 0.09–0.94 | 0.23–8.79 | 0.01–0.03 | ND | ND |
| Mean | 0 | 0.28 | 0.72 | 1.35 | 0.02 | ND | ND | ||
| T | Range | 0 | 0.08–2.09 | 0.63–6.89 | 1.10–11.9 | 0.03–0.05 | ND–0.008 | 0.007–0.013 | |
| Mean | 0 | 0.76 | 4.37 | 7.91 | 0.04 | 0.006 | 0.009 | ||
| December | CK | Range | 0 | 0–0.04 | 0.22–1.64 | 0.09–3.25 | 0 | ND | ND |
| Mean | 0 | 0.01 | 0.93 | 1.46 | 0 | ND | ND | ||
| T | Range | 0 | 0–0.15 | 3.56–9.49 | 3.83–7.74 | 0.03–0.06 | 0.004–0.008 | 0.008–0.042 | |
| Mean | 0 | 0.06 | 5.78 | 5.44 | 0.04 | 0.005 | 0.019 | ||
| Crop | Treatment | TN (g kg−1) | TP (g kg−1) | AN (mg kg−1) | AP (mg kg−1) | Cu (mg kg−1) | Zn (mg kg−1) | Cd (mg kg−1) | Pb (mg kg−1) | |
|---|---|---|---|---|---|---|---|---|---|---|
| Vegetable | CK | Range | 0.78–1.25 | 0.61–0.68 | 115.3–157.7 | 33.2–85.9 | 16.5–36.5 | 82.1–90.3 | 0.07–0.12 | 21.7–22.8 |
| Mean | 1.03 | 0.66 | 136.7 | 58.5 | 28.5 | 88.3 | 0.10 | 22.3 | ||
| T | Range | 1.79–2.85 | 1.05–3.91 | 209.7–318.9 | 121.2–349.6 | 80.2–168.7 | 166.0–344.5 | 0.12–0.27 | 22.3–43.0 | |
| Mean | 1.92 | 1.27 | 241.9 | 244.7 | 112.9 | 253.4 | 0.17 | 31.6 | ||
| Grade II of soil heavy metal ① | 0 | 16.7% | 100% | 100% | ||||||
| Standards of soil heavy metal in America | 0 | 0 | 100% | 100% | ||||||
| Standards of soil heavy metal in Holland | 0 | 0 | 100% | 100% | ||||||
| Paddy | CK | Range | 0.78–1.74 | 0.42–0.61 | 117.7–165.3 | 18.4–56.2 | 12.2–26.5 | 27.5–72.4 | 0.01–0.18 | 2.9–8.5 |
| Mean | 1.46 | 0.52 | 136.5 | 39.5 | 20.2 | 48.3 | 0.07 | 4.2 | ||
| T | Range | 1.25–3.15 | 0.33–2.91 | 115.0–307.2 | 120.4–373.2 | 13.6–80.2 | 67.7–249.8 | 0.11–0.99 | 28.5–53.5 | |
| Mean | 2.14 | 1.15 | 261.3 | 253.6 | 33.5 | 102.3 | 0.22 | 35.9 | ||
| Grade II of soil heavy metal ① | 86.3% | 87.1% | 91.7% | 100% | ||||||
| Standards of soil heavy metal in America | 96.6% | 71.3% | 100% | 100% | ||||||
| Standards of soil heavy metal in Holland | 67.8% | 64.4% | 97.7% | 100% |
| Crop | Cu (mg kg−1 yr−1) | Zn (mg kg−1 yr−1) | Cd (mg kg−1 yr−1) | Pb (mg kg−1 yr−1) | |
|---|---|---|---|---|---|
| Vegetable | Range Mean | 4.37–9.94 6.15 | 5.41–18.16 12.80 | 0.007–0.015 0.008 | 0.34–2.01 1.02 |
| Paddy | Range Mean | 1.01–3.13 1.79 | 4.05–6.18 5.00 | 0.004–0.014 0.007 | 0.38–1.21 0.84 |
| Crop | TN (g kg−1) | TP (g kg−1) | Cu (mg kg−1) | Zn (mg kg−1) | Cd (mg kg−1) | Pb (mg kg−1) | |
|---|---|---|---|---|---|---|---|
| Vegetable | Range | 3.76–3.84 | 0.40–0.57 | 0.38–0.64 | 5.92–66.23 | 0.01–0.10 | 0.04–0.14 |
| Mean | 3.77 | 0.47 | 0.49 | 33.15 | 0.05 | 0.08 | |
| Paddy | Range | 0.85–1.70 | 0.27–0.40 | 4.08–8.96 | 25.14–38.74 | ND | ND |
| Mean | 1.18 | 0.33 | 6.74 | 27.81 | ND | ND |
© 2017 by the authors. Licensee MDPI, Basel, Switzerland. This article is an open access article distributed under the terms and conditions of the Creative Commons Attribution (CC BY) license (http://creativecommons.org/licenses/by/4.0/).
Share and Cite
Zhang, D.; Wang, X.; Zhou, Z. Impacts of Small-Scale Industrialized Swine Farming on Local Soil, Water and Crop Qualities in a Hilly Red Soil Region of Subtropical China. Int. J. Environ. Res. Public Health 2017, 14, 1524. https://doi.org/10.3390/ijerph14121524
Zhang D, Wang X, Zhou Z. Impacts of Small-Scale Industrialized Swine Farming on Local Soil, Water and Crop Qualities in a Hilly Red Soil Region of Subtropical China. International Journal of Environmental Research and Public Health. 2017; 14(12):1524. https://doi.org/10.3390/ijerph14121524
Chicago/Turabian StyleZhang, Di, Xingxiang Wang, and Zhigao Zhou. 2017. "Impacts of Small-Scale Industrialized Swine Farming on Local Soil, Water and Crop Qualities in a Hilly Red Soil Region of Subtropical China" International Journal of Environmental Research and Public Health 14, no. 12: 1524. https://doi.org/10.3390/ijerph14121524
APA StyleZhang, D., Wang, X., & Zhou, Z. (2017). Impacts of Small-Scale Industrialized Swine Farming on Local Soil, Water and Crop Qualities in a Hilly Red Soil Region of Subtropical China. International Journal of Environmental Research and Public Health, 14(12), 1524. https://doi.org/10.3390/ijerph14121524
