Antibacterial Applications of Nanodiamonds
Abstract
:1. Introduction
Glyco-Nanoparticles
Gold Glycoconjugates
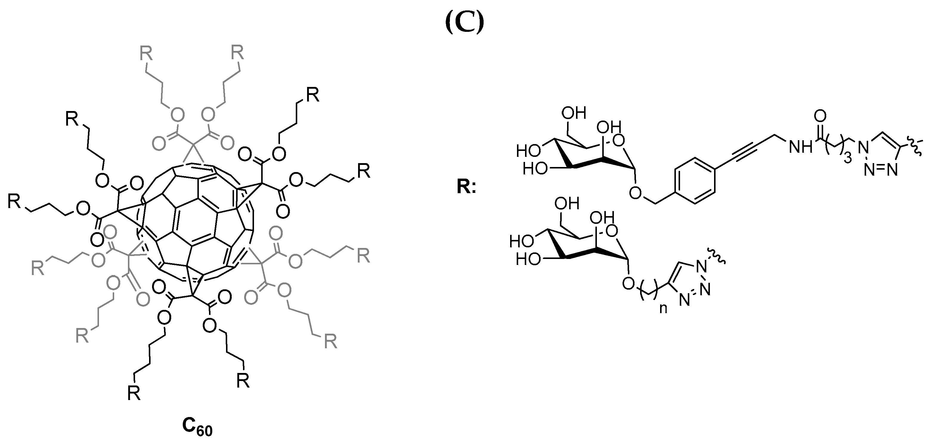
Fullerene Glycoconjugates
Glyco-Nanodiamonds
2. Design of Glyco-Nanodiamonds (Glyco-NDs)
3. Application of Glycol-NDs for Combating Bacterial Infections
3.1. Antimicrobial Activity
3.2. Inhibition of Biofilm Formation
4. Conclusions
Acknowledgments
Author Contributions
Conflicts of Interest
References
- O’Neill, J. Antimicrobial Resistance: Tackling a Crisis for the Health and Wealth of Nations. The Review on Antimicrobial Resistance Chaired by Jim O’Neill, December 2014. Available online: http://amr-review.org/sites/default/files/AMR (accessed on 2 December 2015).
- Allaker, R.P.; Memarzadeh, K. Nanoparticles and the control of oral infections. Int. J. Antimicrob. Agents 2014, 43, 95–104. [Google Scholar] [CrossRef] [PubMed]
- Chernousova, S.; Epple, M. Silver as antibacterial agent: Ion, nanoparticle, and metal. Angew. Chem. Int. Ed. 2013, 52, 1636–1653. [Google Scholar] [CrossRef] [PubMed]
- Das, M.R.; Sarma, R.K.; Borah, S.; Kumari, R.; Saikia, R.; Deshmukh, A.B.; Shelke, M.V.; Sengupta, P.; Szunerits, S.; Boukherroub, R. The synthesis of citrate-modified silver nanoparticles in an aqueous suspension of graphene oxide nanosheets and their antibacterial activity. Colloids Surf. B: Biointerfaces 2013, 105, 128–136. [Google Scholar] [CrossRef] [PubMed]
- Francolini, I.; Donelli, G. Prevention and control of biofilm-based medical-device-related infections. FEMS Immunol. Med. Microbiol. 2010, 59, 227–238. [Google Scholar] [CrossRef] [PubMed]
- Herman, A.; Herman, A.P. Nanoparticles as antimicrobial agents: Their toxicity and mechanisms of action. J. Nanosci. Nanotechnol. 2014, 14, 946–957. [Google Scholar] [CrossRef] [PubMed]
- Taylor, E.; Webster, T.J. Reducing infections through nanotechnology and nanoparticles. Int. J. Nanomedicine 2011, 6, 1463–1473. [Google Scholar] [PubMed]
- Dizaj, S.M.; Lotfipour, F.; Barzegar-Jalali, M.; Zarrintan, M.H.; Adibkia, K. Antimicrobial activity of the metals and metal oxide nanoparticles. Mater. Sci. Eng. C 2014, 44, 278–284. [Google Scholar] [CrossRef] [PubMed]
- Wong, K.K.Y.; Liu, X. Silver nanoparticles—The real “silver bullet” in clinical medicine? Med. Chem. Comm. 2010, 1, 125–131. [Google Scholar] [CrossRef]
- Barras, A.; Martin, F.A.; Bande, O.; Baumann, J.S.; Ghigo, J.-M.; Boukherroub, R.; Beloin, C.; Siriwardena, A.; Szunerits, S. Glycan-functionalized diamond nanoparticles as potent E. coli anti-adhesives. Nanoscale 2013, 5, 2307–2316. [Google Scholar] [CrossRef] [PubMed]
- Fessele, C.; Wachtler, S.; Chandrasekaran, V.; Stiller, C.; Lindhorst, T.K.; Krueger, A. Thiourea-bridged nanodiamond glycoconjugates as inhibitors of bacterial adhesion. Eur. J. Org. Chem. 2015, 2015, 5519–5525. [Google Scholar] [CrossRef]
- Hartmann, M.; Betz, P.; Sun, Y.; Gorb, S.H.; Lindhorst, T.K.; Krueger, A. Saccharide-modified nanodiamond conjugates for the efficient detection and removal of pathogenic bacteria. Chem. Eur. J. 2012, 18, 6485–6592. [Google Scholar] [CrossRef] [PubMed]
- Khanal, M.; Larsonneur, F.; Raks, V.; Barras, A.; Baumann, J.-S.; Ariel Martin, F.; Boukherroub, R.; Ghigo, J.-M.; Ortiz Mettet, C.; et al. Inhibition of type 1 fimbriae-mediated Escherichia coli adhesion and biofilm formation by trimeric cluster thiomannosides conjugated to diamond nanoparticles. Nanoscale 2015, 7, 2325–2335. [Google Scholar] [CrossRef] [PubMed]
- Marradi, M.; Chiodo, F.; Garcia, I.; Penades, S. Glyconanoparticles as multifunctional and multimodal carbohydrate systems. Chem. Soc. Rev. 2013, 42, 4728–4745. [Google Scholar] [CrossRef] [PubMed]
- Sharon, N.; Lis, H. History of lectins: from hemagglutinins to biological recognition molecules. Glycobiology 2004, 14, 53R–62R. [Google Scholar] [CrossRef] [PubMed]
- Cecioni, S.; Oerthel, V.; Lehl, J.; Hoiller, M.; Goyard, D.; Praly, J.-P.; Imberty, J.F.; Nierengarten, J.-F.; Vidal, S. Synthesis of dodecavalent fullerene-based glycoclusters and evaluation of their binding properties towards a bacterial lectin. Chem. Eur. J. 2011, 17, 3252–3261. [Google Scholar] [CrossRef] [PubMed]
- Almant, M.; Moreau, V.; Kovernsky, J.; Bouckaert, J.; Gouin, S.G. Clustering of Escherichia coli Type-1 Fimbrial Adhesins by using Multimeric Heptyl α-D-Mannoside probes with a carbohydrate core. Chem. Eur. J. 2011, 17, 10029–10038. [Google Scholar] [CrossRef] [PubMed]
- Brument, S.; Sivignon, A.; Moreau, N.; Roos, G.; Gueradel, Y.; Chalopin, T.; Deniaud, D.; Bilyy, R.; Darfeille-Michaud, A.; Bouckaert, J.; et al. Thiazolylaminomannosides as potent Antiadhesives of type 1 piliated Escherichia coli isolated from Crohn’s disease patients. J. Med. Chem. 2013, 56, 5395–5406. [Google Scholar] [CrossRef] [PubMed]
- Durka, M.; Buffet, K.; Lehl, J.; Holler, M.; Nierengarten, J.-F.; Taganna, J.; Bouckaert, J.; Vincent, S.P. The functional valency of dodecamannosylated fullerenes with Escherichia coli FimH-towards novel bacterial antiadhesives. Chem. Commun. 2011, 47, 1321–1323. [Google Scholar] [CrossRef] [PubMed]
- Kiessling, L.L.; Gestwicki, J.E.; Strong, L.E. Synthetic multivalent ligands in the exploration of cell-surface interactions. Curr. Opin. Chem. Biol. 2004, 4, 696–703. [Google Scholar] [CrossRef]
- Lee, Y.C.; Lee, R.T. Carbohydrate-protein interactions: Basis of glycobiology. Acc. Chem. Res. 1995, 28, 321–327. [Google Scholar] [CrossRef]
- Lin, C.C.; Yeh, Y.C.; Yang, C.Y.; Chen, C.L.; Chen, G.F.; Chen, C.C.; Wu, Y.C. Selective binding of mannose-encapsulated gold nanoparticles to Type 1 Pili in Escherichia coli. J. Am. Chem. Soc. 2002, 124, 3508–3509. [Google Scholar] [CrossRef] [PubMed]
- Lundquist, J.J.; Toone, E.J. The cluster glycoside effect. Chem. Rev. 2002, 102, 555–578. [Google Scholar] [CrossRef] [PubMed]
- Mammen, M.; Choi, S.-K.; Whitesides, G.M. Polyvalent interactions in biological systems: Implications for design and use of multivalent ligands and inhibitors. Angew. Chem. Int. Ed. 1998, 37, 2754–2794. [Google Scholar] [CrossRef]
- De la Fuente, J.M.; Barrientos, A.G.; Rojas, T.C.; Rojo, J.; Canada, J.; Fernandez, A.; Penades, S. Gold glyconanoparticles as water-soluble polyvalent models to study carbohydrate interactions. Angew. Chem. Int. Ed. 2001, 40, 2257–2261. [Google Scholar] [CrossRef]
- Szunerits, S.; Boukherroub, R. Sensing using localised surface plasmon resonance sensors. Chem. Commun. 2012, 48, 8999–9010. [Google Scholar] [CrossRef] [PubMed]
- Hartmann, M.; Linhorst, T.K. The bacterial lectin FimH, a target for drug discovery—Carbohydrate inhibitors of Type 1 fimbriae-mediated bacterial adhesion. Eur. J. Org. Chem. 2011, 3583–3609. [Google Scholar] [CrossRef]
- Klemm, P.; Schembri, M. Type 1 Fimbriae, Curli, and Antigen 43: Adhesion, Colonization, and Biofilm Formation. In EcoSal- Escherichia coli and Salmonella: Cellular and Molecular Biology; Böck, A., Curtiss, R., III, Kaper, J.B., Neidhardt, F.C., Nyström, T., Rudd, K.E., Squires, C.L., Eds.; ASM Press: Washington, DC, USA, 2004. [Google Scholar]
- Wu, X.R.; Sun, T.T.; Medina, J.J. In vitro binding of type 1-fimbriated Escherichia coli to uroplakins Ia and Ib: Relation to urinary tract infections. Proc. Natl. Acad. Sci. USA 1996, 93, 9630–9635. [Google Scholar] [CrossRef] [PubMed]
- Khanal, M.; Raks, V.; Issa, R.; Chernyshenko, V.; Barras, A.; Garcia Fernandes, J.M.; Siriwardena, A.; Cooper, I.; Cragg, P.; Mikhalovska, L.I.; et al. Selective antimicrobial and antibiofilm disrupting properties of functionalized diamond nanoparticles against Escherichia coli and Staphylococcus aureus. Part. Part. Syst. Charact. 2015, 32, 822–830. [Google Scholar] [CrossRef]
- Barras, A.; Lyskawa, J.; Szunerits, S.; Woisel, P.; Boukherroub, R. Direct functionalization of nanodiamond particles using dopamine derivatives. Langmuir 2011, 27, 12451–12457. [Google Scholar] [CrossRef] [PubMed]
- Barras, A.; Szunerits, S.; Marcon, L.; Monfilliette-Dupont, N.; Boukherroub, R. Functionalization of diamond nanoparticles using “click” chemistry. Langmuir 2010, 26, 13168–13172. [Google Scholar] [CrossRef] [PubMed]
- Chang, Y.-R.; Lee, H.-Y.; Chen, K.; Chang, C.-C.; Tsai, D.-S.; Fu, C.-C.; Lim, T.-S.; Tzeng, Y.-K.; Fang, C.-Y.; Han, C.-C.; Chang, H.-C.; Fann, W.; et al. Mass production and dynamic imaging of fluorescent nanodiamonds. Nature Nanotechnol. 2008, 3, 284–288. [Google Scholar] [CrossRef] [PubMed]
- Dahoumane, S.A.; Nguyen, M.N.; Thorel, A.; Boudou, J.P.; Chehimi, M.M.; Mangeney, C. Protein-functionalized hairy diamond nanoparticles. Langmuir 2009, 25, 9633–9638. [Google Scholar] [CrossRef] [PubMed]
- Krüger, A. Hard and soft: Biofunctionalized diamond. Angew. Chem. Int. Ed. 2006, 45, 6426–6427. [Google Scholar] [CrossRef] [PubMed]
- Krüger, A. New carbon materials: Biological applications of functionalized nanodiamond materials. Chem. Eur. J. 2008, 14, 1382–1390. [Google Scholar] [CrossRef] [PubMed]
- Liang, Y.; Ozawa, M.; Krueger, A. A general procedure to functionalize agglomerating nanoparticles demonstrated on nanodiamond. ACS Nano 2009, 3, 2288–2296. [Google Scholar] [CrossRef] [PubMed]
- Mochalin, V.N.; Shenderova, O.A.; Ho, D.; Gogotsi, Y. The properties and applications of nanodiamonds. Nat. Nanotechnol. 2012, 7, 11–23. [Google Scholar] [CrossRef] [PubMed]
- Navalon, S.; Martin, R.; Alvaro, M.; Garcia, H. Sunlight-assisted Fenton reaction catalyzed by gold supported on diamond nanoparticles as pretreatment for biological degradation of aqueous phenol solutions. Chem. Sus. Chem. 2011, 4, 650–657. [Google Scholar] [CrossRef] [PubMed]
- Marcon, L.; Riquet, F.; Vicogne, D.; Szunerits, S.; Bodart, J.F.; Boukherroub, R. Cellular and in vivo toxicity of functionalized nanodiamond in Xenopus embryos. J. Mater. Chem. 2010, 20, 8064–8069. [Google Scholar] [CrossRef]
- Schrand, A.M.; Huang, H.; Carlson, C.; Schlager, J.J.; Osawa, E.; Hussain, S.M.; Dai, L. Are diamond nanoparticles cytotoxic? J. Phys. Chem. B 2007, 111, 2–7. [Google Scholar] [CrossRef] [PubMed]
- Fu, C.-C.; Lee, H.-Y.; Chen, K.; Lim, T.-S.; Wu, H.-Y.; Lin, P.-K.; Wei, P.-K.; Taso, P.-H.; Chang, H.-C.; Fann, W. Characterization and application of single fluorescent nanodiamonds as cellular biomarkers. Proc. Natl. Acad. Sci. USA 2007, 104, 727–732. [Google Scholar] [CrossRef] [PubMed]
- Diamond in Its Finest Form. Available online: http://www.microdiamant.com/ (accessed on 4 December 2015).
- Nanodiamond Technologies. Available online: http://www.nanodiamond.co.il/ (accessed on 3 December 2015).
- Daulton, T.L.; Kirk, M.A.; Lewis, R.S.; Rehn, I.E.E. Production of nanodiamonds by high-energy ion irradiation of graphite at room temperature. Nucl. Instrum. Meth. B 2001, 175, 12–20. [Google Scholar] [CrossRef]
- Welz, S.; Gogotsi, Y.; McNallan, M.J. Nucleation, growth, and graphitization of diamond nanocrystals during chlorination of carbides. J. Appl. Phys. 2003, 93, 4207. [Google Scholar] [CrossRef]
- Nanodiamonds. Available online: http://www.nabond.com/ (accessed on 5 December 2015).
- Danilenko, V.V. On the history of the discovery of nanodiamond synthesis. Phys. Solid State 2004, 46, 595–599. [Google Scholar] [CrossRef]
- Shenderova, O.A.; Zhirnov, V.V.; Brenner, D.W. Carbon nanostructures. Crit. Rev. Solid State Mater Sci. 2002, 27, 227–356. [Google Scholar] [CrossRef]
- Krüger, A.; Katoako, F.; Ozawa, M.; Fujino, T.; Suzuki, Y.; Aleksesnkii, A.E.; Vul, A.Y.; Osawa, E. Unusually tight aggregation in detonation nanodiamond: Identification and disintegration. Carbon 2005, 43, 1722–1730. [Google Scholar] [CrossRef]
- Aleksenski, A.E.; Osipov, V.Y.; Dideikin, A.T.; Vul’, A.Y.; Adriaenssens, G.J.; Afanas’ev, V.V. Ultradisperse diamond cluster aggregation studied by atomic force microscopy. Technol. Phys. Lett. 2000, 26, 819–821. [Google Scholar] [CrossRef]
- Krüger, A.; Ozawa, M.; Jarre, G.; Liand, Y.; Stegk, J.; Lu, L. Deagglomeration and functionalisation of detonation diamond. Phys. Stat. Sol. 2007, 204, 2881–2887. [Google Scholar] [CrossRef]
- Osswald, S.; Yushin, G.; Mochalin, V.; Kucheyev, S.O.; Gogotski, Y. Control of sp2/sp3 carbon ratio and surface chemistry of nanodiamond powders by selective oxidation in air. J. Am. Chem. Soc. 2006, 128, 11635–11642. [Google Scholar] [CrossRef] [PubMed]
- Ushizawa, K.; Sato, Y.; Mitsumori, T.; Machinami, T.; Ueda, T.; Ando, T. Covalent immobilization of DNA on diamond and its verification by diffuse reflectance infrared spectroscopy. Chem. Phys. Lett. 2002, 351, 105–108. [Google Scholar] [CrossRef]
- Khanal, M.; Vausselin, T.; Barras, A.; Bande, O.; Turcheniuk, K.; Benazza, M.; Zaitsev, V.; Teodurescu, C.M.; Boukherroub, R.; Siriwardena, A.; et al. Phenylboronic acid-modified nanoparticles: Potential antiviral therapeutics. ACS Appl. Mater. Interfaces 2013, 5, 12488–12498. [Google Scholar] [CrossRef] [PubMed]
- Turcheniuk, V.; Raks, V.; Issa, R.; Cooper, I.R.; Cragg, P.J.; Jijie, R.; Dumitrescu, N.; Mikhalovska, L.I.; Battas, A.; Zaitsev, V.; Boukherroub, R.; Szunerits, S. Antimicrobial activity of menthol modified nanodiamond particles. Diamond Relat. Mater. 2015, 57, 2–8. [Google Scholar] [CrossRef]
- Wehling, J.; Dringer, R.; Zare, R.N.; Maas, M.; Rezwan, K. Bactericidal activity of partially oxidized nanodiamonds. ACS Nano 2014, 8, 6475–6483. [Google Scholar] [CrossRef] [PubMed]
- Khanal, M.; Turcheniuk, V.; Barras, A.; Rosay, R.; Bande, O.; Siriwardena, A.; Zaitsev, V.; Pan, G.-H.; Boukherroub, R.; Szunerits, S. Toward multifunctional “clickable” diamond nanoparticles. Langmuir 2015, 31, 3926–3933. [Google Scholar] [CrossRef] [PubMed]
- Turcheniuk, V.; Turcheniuk, K.; Bouckaert, J.; Barras, A.; Dumych, T.; Bilyy, R.; Zaitsev, V.; Siriwardena, A.; Wang, Q.; Boukherroub, R.; et al. Affinity of glycan-Modified nanodiamonds towards lectins and uropathogenic Escherichia coli. Chem. Nano. Mat. 2016. [Google Scholar] [CrossRef]
- Maalouli, N.; Barras, A.; Siriwardena, A.; Boukherroub, R.; Szunerits, S. Comparison of photo- and Cu(I)-catalyzed “click” chemistries for the formation of carbohydrate SPR interfaces. Analyst 2013, 138, 805–812. [Google Scholar] [CrossRef] [PubMed]
- Beranova, J.; Seydlova, G.; Kozak, H.; Potocky, S.; Konopasek, I.; Kromka, A. Antibacterial behavior of diamond nanoparticles against Escherichia coli. Phys. Stat. Sol. 2012, 12, 2581–2584. [Google Scholar] [CrossRef]
- O'Toole, G.; Kaplan, H.B.; Kolter, R. Biofilm formation as microbial development. Annu. Rev. Microbiol. 2000, 54, 49–79. [Google Scholar] [CrossRef] [PubMed]
- Cusumano, C.K.; Pinkner, J.S.; Han, Z.; Greene, S.E.; Ford, B.A.; Crowley, J.R.; Henderson, J.P.; Janetka, J.W.; Hultgren, S.J. Treatment and prevention of urinary tract infection with orally active FimH inhibitors. Sci. Transl. Med. 2011, 3, 109–115. [Google Scholar] [CrossRef] [PubMed]
- Wellens, A.; Garofalo, C.; Nguyen, H.; Van Gerven, N.; Slattegard, R.; Hernalsteens, J.P.; Wyns, L.; Oscarson, S.; De Greve, H.; Hultgren, S.; et al. Intervening with urinary tract infections using anti-adhesives based on the crystal structure of the FimH–oligomannose-3 complex. PLoS ONE 2008, 3, e2040. [Google Scholar] [CrossRef]









© 2016 by the authors; licensee MDPI, Basel, Switzerland. This article is an open access article distributed under the terms and conditions of the Creative Commons Attribution (CC-BY) license (http://creativecommons.org/licenses/by/4.0/).
Share and Cite
Szunerits, S.; Barras, A.; Boukherroub, R. Antibacterial Applications of Nanodiamonds. Int. J. Environ. Res. Public Health 2016, 13, 413. https://doi.org/10.3390/ijerph13040413
Szunerits S, Barras A, Boukherroub R. Antibacterial Applications of Nanodiamonds. International Journal of Environmental Research and Public Health. 2016; 13(4):413. https://doi.org/10.3390/ijerph13040413
Chicago/Turabian StyleSzunerits, Sabine, Alexandre Barras, and Rabah Boukherroub. 2016. "Antibacterial Applications of Nanodiamonds" International Journal of Environmental Research and Public Health 13, no. 4: 413. https://doi.org/10.3390/ijerph13040413
APA StyleSzunerits, S., Barras, A., & Boukherroub, R. (2016). Antibacterial Applications of Nanodiamonds. International Journal of Environmental Research and Public Health, 13(4), 413. https://doi.org/10.3390/ijerph13040413
