Mercury Exposure in Children of the Wanshan Mercury Mining Area, Guizhou, China
Abstract
:1. Introduction
2. Materials and Methods
2.1. Study Area
2.2. Sample Collection and Preparation
2.3. Analytical Methods
2.4. Quality Control
2.5. Calculation of the Probable Daily Intake (PDI) of MeHg
2.6. Statistical Analysis
3. Results
3.1. Basic Information
3.2. Hg in Rice
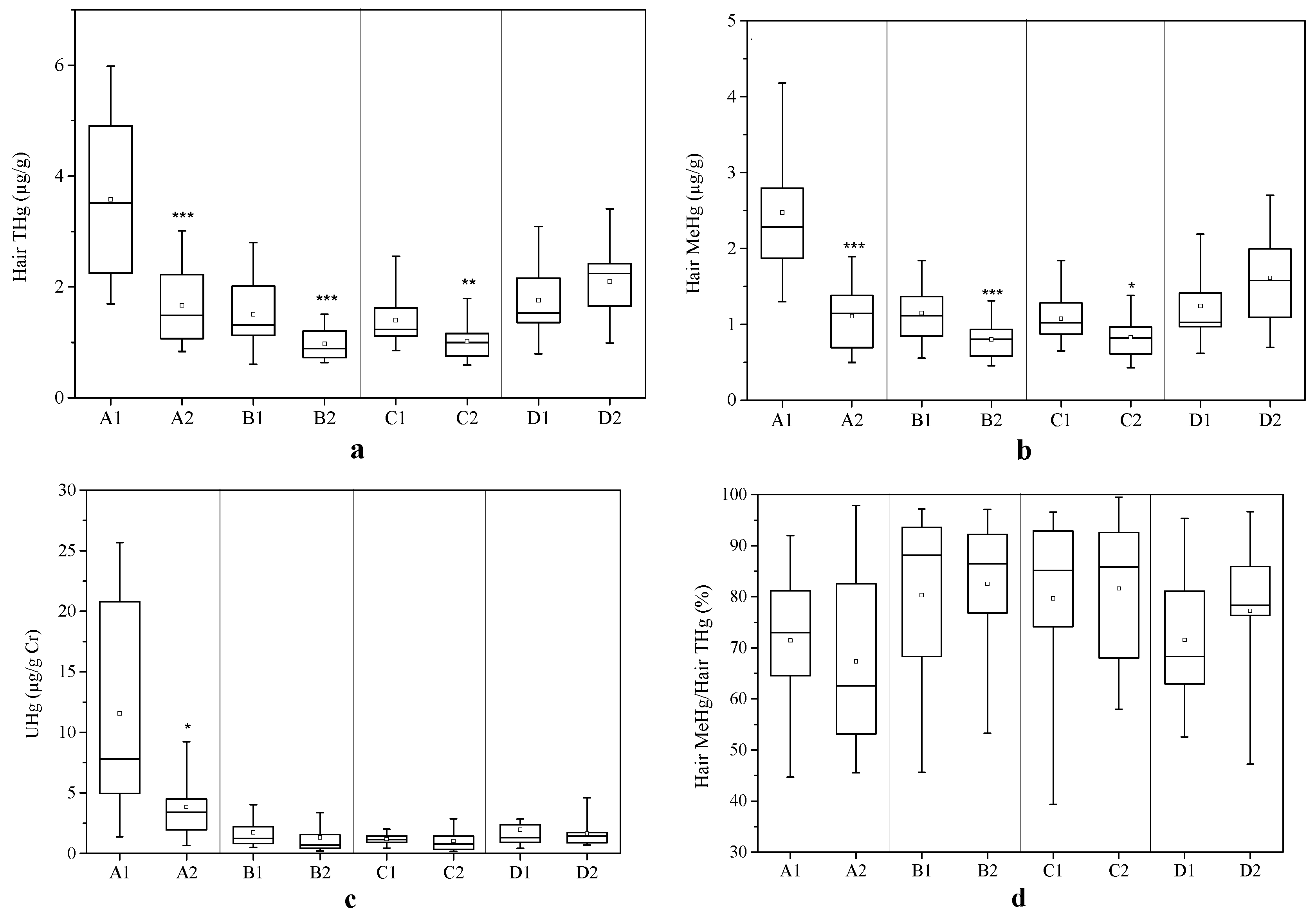
3.3. Hg in Hair
3.4. Hg in Urine
3.5. PDIs of MeHg
4. Discussion
4.1. Geographical Differences
4.2. Comparison with Adults
4.3. Worldwide Comparison
4.4. Relationship between Hair MeHg and PDI
- C = MeHg concentration in blood (μg/L);
- d = daily dietary intake (μg/kg/day);
- A = absorption factor (unitless, 0.95);
- b = elimination constant (0.014 per days for adults);
- bw = body weight (kg);
- V = volume of blood in the body (L); and
- = fraction of daily intake taken up by blood (unitless, 0.05 for adults).
4.5. Implication for Health of Children
5. Conclusions
Acknowledgments
Author Contributions
Conflicts of Interest
References
- World Health Organization (WHO). Environmental Health Criteria 118: Inorganic Mercury; WHO: Geneva, Switzerland, 1991. [Google Scholar]
- Blough, E.R.; Rice, K.M.; Walker, E.M.; Wu, M.; Gillette, C. Environmental mercury and its toxic effects. J. Prev. Med. Public Health 2014, 47, 74–83. [Google Scholar]
- World Health Organization (WHO). Methylmercury: Environmental Health Criteria 101; WHO: Geneva, Switzerland, 1990. [Google Scholar]
- National Research Council. Toxicological Effects of Methylmercury; Council, N.R., Ed.; The National Academy Press: Washington, DC, USA, 2000. [Google Scholar]
- Sandborgh-Englund, G.; Elinder, C.G.; Johanson, G.; Lind, B.; Skare, I.; Ekstrand, J. The absorption, blood levels, and excretion of mercury after a single dose of mercury vapor in humans. Toxicol. Appl. Pharmacol. 1998, 150, 146–153. [Google Scholar] [CrossRef] [PubMed]
- Clarkson, T.W.; Vyas, J.B.; Ballatori, N. Mechanisms of mercury disposition in the body. Am. J. Ind. Med. 2007, 50, 757–764. [Google Scholar] [CrossRef] [PubMed]
- Cherian, M.G.; Hursh, J.B.; Clarkson, T.W.; Allen, J. Radioactive mercury distribution in biological fluids and excretion in human subjects after inhalation of mercury vapor. Arch. Environ. Health 1978, 33, 109–114. [Google Scholar] [CrossRef] [PubMed]
- World Health Organization (WHO). Environmental Health Criteria 214: Human Exposure Assessment; WHO: Geneva, Switzerland, 2000. [Google Scholar]
- Falk, R.; Snihs, J.O.; Ekman, L.; Greitz, U.; Åberg, B. Whole-body measurements on the distribution of mercury-203 in humans after oral intake of methylradiomercury nitrate. Acta Radiol. 2009, 9, 55–72. [Google Scholar] [CrossRef]
- Ishihara, N. Excretion of methyl mercury in human feces. Arch. Environ. Health 2000, 55, 44–47. [Google Scholar] [CrossRef] [PubMed]
- Cordier, S.; Garel, M.; Mandereau, L.; Morcel, H.; Doineau, P.; Gosme-Seguret, S.; Josse, D.; White, R.; Amiel-Tison, C. Neurodevelopmental investigations among methylmercury-exposed children in French Guiana. Environ. Res. 2002, 89, 1–11. [Google Scholar] [CrossRef] [PubMed]
- Davidson, P.W.; Myers, G.J.; Weiss, B. Mercury exposure and child development outcomes. Pediatrics 2004, 113, 1023–1029. [Google Scholar] [PubMed]
- Chevrier, C.; Sullivan, K.; White, R.F.; Comtois, C.; Cordier, S.; Grandjean, P. Qualitative assessment of visuospatial errors in mercury-exposed Amazonian children. Neurotoxicology 2009, 30, 37–46. [Google Scholar] [CrossRef] [PubMed]
- Debes, F.; Budtz-Jorgensen, E.; Weihe, P.; White, R.F.; Grandjean, P. Impact of prenatal methylmercury exposure on neurobehavioral function at age 14 years. Neurotoxicol. Teratol. 2006, 28, 536–547. [Google Scholar] [CrossRef] [PubMed]
- Grandjean, P.; Weihe, P.; Nielsen, F.; Heinzow, B.; Debes, F.; Budtz-Jorgensen, E. Neurobehavioral deficits at age 7 years associated with prenatal exposure to toxicants from maternal seafood diet. Neurotoxicol. Teratol. 2012, 34, 466–472. [Google Scholar] [CrossRef] [PubMed]
- Murata, K.; Weihe, P.; Budtz-Jorgensen, E.; Jorgensen, P.J.; Grandjean, P. Delayed brainstem auditory evoked potential latencies in 14-year-old children exposed to methylmercury. J. Pediatr. 2004, 144, 177–183. [Google Scholar] [CrossRef] [PubMed]
- Debes, F.; Weihe, P.; Grandjean, P. Cognitive deficits at age 22 years associated with prenatal exposure to methylmercury. Cortex 2016, 74, 358–369. [Google Scholar] [CrossRef] [PubMed]
- Axelrad, A.D.; Bellinger, C.D.; Ryan, M.L.; Woodruff, J.T. Dose-response relationship of prenatal mercury exposure and IQ: An integrative analysis of epidemiologic data. Environ. Health Perspect. 2007, 115, 609–615. [Google Scholar] [CrossRef] [PubMed]
- Sorensen, N.; Murata, K.; Budtz-Jorgensen, E.; Weihe, P.; Grandjean, P. Prenatal methylmercury exposure as a cardiovascular risk factor at seven years of age. Epidemiology 1999, 10, 370–375. [Google Scholar] [CrossRef] [PubMed]
- Sanfeliu, C.; Sebastia, J.; Cristofol, R.; Rodriguez-Farre, E. Neurotoxicity of organomercurial compounds. Neurol. Res. 2003, 5, 283–305. [Google Scholar] [CrossRef]
- Feitosa-Santana, C.; Barboni, M.T.S.; Oiwa, N.N.; Paramei, G.V.; Simoes, A.L.A.C.; Da Costa, M.F.; Silveira, L.C.L.; Ventura, D.F. Irreversible color vision losses in patients with chronic mercury vapor intoxication. Vis. Neurosci. 2008, 25, 487–491. [Google Scholar] [CrossRef] [PubMed]
- Dorea, J.G.; Bezerra, V.L.V.A.; Fajon, V.; Horvat, M. Speciation of methyl-and ethyl-mercury in hair of breastfed infants acutely exposed to thimerosal-containing vaccines. Clin. Chim. Acta 2011, 412, 1563–1566. [Google Scholar] [CrossRef] [PubMed]
- Dreschler, B. Small-Scale Mining and Sustainable Development within the SADC Region; International Institute for Environment and Development (IIED): London, UK, 2001. [Google Scholar]
- Feng, X.; Qiu, G. Mercury pollution in Guizhou, Southwestern China—An overview. Sci. Total Environ. 2008, 400, 227–237. [Google Scholar] [CrossRef] [PubMed]
- Zhang, H.; Feng, X.; Larssen, T.; Shang, L.; Vogt, R.D.; Rothenberg, S.E.; Li, P.; Zhang, H.; Lin, Y. Fractionation, distribution and transport of mercury in rivers and tributaries around Wanshan Hg mining district, Guizhou province, southwestern China: Part 1—Total mercury. Appl. Geochem. 2010, 25, 633–641. [Google Scholar] [CrossRef]
- Li, P.; Feng, X.; Qiu, G.; Shang, L.; Li, G. Human hair mercury levels in the Wanshan mercury mining area, Guizhou Province, China. Environ. Geochem. Health 2009, 31, 683–691. [Google Scholar] [CrossRef] [PubMed]
- Li, P.; Feng, X.; Qiu, G.; Shang, L.; Wang, S.; Meng, B. Atmospheric mercury emission from artisanal mercury mining in Guizhou Province, Southwestern China. Atmos. Environ. 2009, 43, 2247–2251. [Google Scholar] [CrossRef]
- Li, P.; Feng, X.; Shang, L.; Qiu, G.; Meng, B.; Zhang, H.; Guo, Y.; Liang, P. Human co-exposure to mercury vapor and methylmercury in artisanal mercury mining areas, Guizhou, China. Ecotoxicol. Environ. Saf. 2011, 74, 473–479. [Google Scholar] [CrossRef] [PubMed]
- Li, P.; Feng, X.; Qiu, G.; Wang, S. Mercury emission from the indigenous method of mercury smelting in Wuchuan mercury mining areas, Guizhou Province. Environ. Sci. 2006, 27, 837–840. (In Chinese) [Google Scholar]
- Iwata, T.; Sakamoto, M.; Feng, X.; Yoshida, M.; Liu, X.J.; Dakeishi, M.; Li, P.; Qiu, G.; Jiang, H.; Nakamura, M.; et al. Effects of mercury vapor exposure on neuromotor function in Chinese miners and smelters. Int. Arch. Occup. Environ. Health 2007, 80, 381–387. [Google Scholar] [CrossRef] [PubMed]
- Li, P.; Feng, X.; Qiu, G.; Zhang, J.; Meng, B.; Wang, J. Mercury speciation and mobility in mine wastes from mercury mines in China. Environ. Sci. Pollut. Res. 2013, 25, 60–68. [Google Scholar]
- Meng, B.; Feng, X.; Qiu, G.; Liang, P.; Li, P.; Chen, C.; Shang, L. The process of methylmercury accumulation in rice (Oryza sativa L.). Environ. Sci. Technol. 2011, 45, 2711–2717. [Google Scholar] [CrossRef] [PubMed]
- Zhang, H.; Feng, X.; Larssen, T.; Qiu, G.; Vogt, R.D. In inland China, rice, rather than fish, is the major pathway for methylmercury exposure. Environ. Health Perspect. 2010, 118, 1183–1188. [Google Scholar] [CrossRef] [PubMed]
- Zhang, H.; Feng, X.; Larssen, T.; Shang, L.; Vogt, R.D.; Lin, Y.; Li, P.; Zhang, H. Fractionation, distribution and transport of mercury in rivers and tributaries around Wanshan Hg mining district, Guizhou Province, Southwestern China: Part 2—Methylmercury. Appl. Geochem. 2010, 25, 642–649. [Google Scholar] [CrossRef]
- Guizhou Bureau of Statistics. Guizhou Statistical Yearbook 2012; China Statistics Press: Beijing, China, 2012.
- Li, L.; Wang, F.Y.; Meng, B.; Lemes, M.; Feng, X.B.; Jiang, G.B. Speciation of methylmercury in rice grown from a mercury mining area. Environ. Pollut. 2010, 158, 3103–3107. [Google Scholar] [CrossRef] [PubMed]
- United States Environmental Protection Agency (USEPA). Method 1631: Mercury in Water by Oxidation, Purge and Trap, and Cold Vapor Atomic Fluorescence Spectrometry; USEPA: Washington, DC, USA, 2002; pp. 1–33.
- Liang, L.; Horvat, M.; Cernichiari, E.; Gelein, B.; Balogh, S. Simple solvent extraction technique for elimination of matrix interferences in the determination of methylmercury in environmental and biological samples by ethylation gas chromatography cold vapor atomic fluorescence spectrometry. Talanta 1996, 43, 1883–1888. [Google Scholar] [CrossRef]
- United States Environmental Protection Agency (USEPA). Method 1630: Methyl Mercury in Water by Distillation, Aqueous Ethylation, Purge and Trap, and CVAFS; USEPA: Washington, DC, USA, 2001; pp. 1–41.
- Chinese National Standard Agency (CNSA). Tolerance Limit of Mercury in Foods; CNSA: Beijing, China, 1994; pp. 171–173. (In Chinese)
- Li, P.; Feng, X.; Qiu, G.; Li, Z.; Fu, X.; Sakamoto, M.; Liu, X.; Wanga, D. Mercury exposures and symptoms in smelting workers of artisanal mercury mines in Wuchuan, Guizhou, China. Environ. Res. 2008, 107, 108–114. [Google Scholar] [CrossRef] [PubMed]
- United States Environmental Protection Agency (USEPA). Mercury Study Report to the Congress, Volume V: Health Effects of Mercury and Mercury Compounds; USEPA: Washington, DC, USA, 1997.
- Joint FAO/WHO Expert Committee on Food Additives (JECFA). Summary and Conclusions of the Sixty-First Meeting of the Joint FAO/WHO Expert Committee on Food Additives; JECFA: Rome, Italy, 2003. [Google Scholar]
- United Nations Industrial Development Organization (UNIDO). Protocols for Environmental and Health Assessment of Mercury Released by Artisanal and Small-Scale Gold Miners (ASM); UNIDO: Vienna, Austria, 2003. [Google Scholar]
- Dai, Z.H.; Feng, X.; Zhang, C.; Qiu, G.; Shang, L. Surface soil mercury translocation in Wanshan mercury mining area of Southwest China. Chin. J. Ecol. 2012, 31, 2103–2111. (In Chinese) [Google Scholar]
- Dai, Z.H.; Feng, X.B.; Sommar, J.; Li, P.; Fu, X.W. Spatial distribution of mercury deposition fluxes in Wanshan Hg mining area, Guizhou province, China. Atmos. Chem. Phys. 2012, 12, 6207–6218. [Google Scholar] [CrossRef]
- Li, P.; Feng, X.; Qiu, G. Methylmercury exposure through rice consumption and its health risk assessment for the residents in Guizhou mercury mining areas. Chin. J. Ecol. 2011, 30, 914–921. (In Chinese) [Google Scholar]
- Wang, J.X.; Feng, X.B.; Anderson, C.W.N.; Zhu, W.; Yin, R.S.; Wang, H. Mercury distribution in the soil-plant-air system at the Wanshan mercury mining district in Guizhou, Southwest China. Environ. Toxicol. Chem. 2011, 30, 2725–2731. [Google Scholar] [CrossRef] [PubMed]
- Li, P.; Feng, X.; Chan, H.M.; Zhang, X.; Du, B. Human body burden and dietary methylmercury intake: The relationship in a rice-consuming population. Environ. Sci. Technol. 2015, 49, 9682–9689. [Google Scholar] [CrossRef] [PubMed]
- Layton, D.W. Metabolically consistent breathing rates for use in dose assessments. Health Phys. 1993, 64, 22–36. [Google Scholar] [CrossRef]
- Caurant, F.; Navarro, M.; Amiard, J.C. Mercury in pilot whales: Possible limits to the detoxification process. Sci. Total Environ. 1996, 186, 95–104. [Google Scholar] [CrossRef]
- Smith, C.A.; Ackerman, J.T.; Yee, J.; Adelsbach, T.L. Mercury demethylation in waterbird livers: Dose–response thresholds and differences among species. Environ. Toxicol. Chem. 2009, 28, 568–577. [Google Scholar] [CrossRef] [PubMed]
- Carta, P.; Flore, C.; Ibba, A.; Tocco, M.; Aru, G.; Mocci, F. Urinary and blood levels of mercury among chloralkali workers and nonoccupationally exposed subjects: Relationship with amalgam fillings and fish consumption. Med. Lav. 2002, 93, 176–183. [Google Scholar] [PubMed]
- Apostoli, P.; Cortesi, I.; Mangili, A.; Elia, G.; Drago, I.; Gagliardi, T. Assessment of reference values for mercury in urine: The results of an Italian polycentric study. Sci. Total Environ. 2002, 289, 13–24. [Google Scholar] [CrossRef]
- Levy, M.; Schwartz, S.; Dijak, M.; Weber, J.P.; Tardif, R.; Rouah, F. Childhood urine mercury excretion: Dental amalgam and fish consumption as exposure factors. Environ. Res. 2004, 94, 283–290. [Google Scholar] [CrossRef] [PubMed]
- Johnsson, C.; Schutz, A.; Sallsten, G. Impact of consumption of freshwater fish on mercury levels in hair, blood, urine, and alveolar air. J. Toxicol. Environ. Health 2005, 68, 129–140. [Google Scholar] [CrossRef] [PubMed]
- Ronen, O.; Malhotra, A.; Pillar, G. Influence of gender and age on upper-airway length during development. Pediatrics 2007, 120, 1028–1034. [Google Scholar] [CrossRef] [PubMed]
- Davis, S.; Mirick, D.K. Soil ingestion in children and adults in the same family. J. Expo. Anal. Environ. 2006, 16, 63–75. [Google Scholar] [CrossRef] [PubMed]
- Ljung, K.; Oomen, A.; Duits, M.; Selinus, O.; Berglund, M. Bioaccessibility of metals in urban playground soils. J. Environ. Sci. Health Part A Toxic/Hazard. Subst. Environ. Eng. 2007, 42, 1241–1250. [Google Scholar] [CrossRef] [PubMed]
- Guney, M.; Zagury, G.J.; Dogan, N.; Onay, T.T. Exposure assessment and risk characterization from trace elements following soil ingestion by children exposed to playgrounds, parks and picnic areas. J. Hazard. Mater. 2010, 182, 656–664. [Google Scholar] [CrossRef] [PubMed]
- Grandjean, P.; Budtzjørgensen, E.; White, R.F.; Jørgensen, P.J.; Weihe, P.; Debes, F. Methylmercury exposure biomarkers as indicators of neurotoxicity in children aged 7 years. Am. J. Epidemiol. 1999, 150, 301–305. [Google Scholar] [CrossRef] [PubMed]
- Barbosa, A.C.; Jardim, W.; Dorea, J.G.; Fosberg, B.; Souza, J. Hair mercury speciation as a function of gender, age, and body mass index in inhabitants of the Negro River basin, Amazon, Brazil. Arch. Environ. Contam. Toxicol. 2001, 40, 439–444. [Google Scholar] [PubMed]
- Murata, K.; Dakeishi, M. Impact of prenatal methylmercury exposure on child neurodevelopment in the Faroe Islands. Jpn. J. Hygiene 2002, 57, 564–570. [Google Scholar] [CrossRef]
- Dorea, J.G.; Barbosa, A.C.; Ferrari, I.; De Souza, J.R. Fish consumption (hair mercury) and nutritional status of Amazonian Amer-Indian children. Am. J. Hum. Biol. 2005, 17, 507–514. [Google Scholar] [CrossRef] [PubMed]
- Malm, O.; Dorea, J.G.; Barbosa, A.C.; Pinto, F.N.; Weihe, P. Sequential hair mercury in mothers and children from a traditional riverine population of the Rio Tapajos, Amazonia: Seasonal changes. Environ. Res. 2010, 110, 705–709. [Google Scholar] [CrossRef] [PubMed]
- Marinho, J.S.; Lima, M.O.; Oliveira Santos, E.C.; Jesus, I.M.; Conceicao, N.; Pinheiro, M.; Alves, C.N.; Muller, R.C.S. Mercury speciation in hair of children in three communities of the Amazon, Brazil. Biomed. Res. Int. 2014, 2014, 1–10. [Google Scholar] [CrossRef] [PubMed]
- Rocha, A.V.; Cardoso, B.R.; Cominetti, C.; Bueno, R.B.; Bortoli, M.C.; Farias, L.A.; Favaro, D.I.T.; Camargo, L.M.A.; Cozzolino, S.M.F. Selenium status and hair mercury levels in riverine children from Rondonia, Amazonia. Nutrition 2014, 30, 1318–1323. [Google Scholar] [CrossRef] [PubMed]
- Adimado, A.A.; Baah, D.A. Mercury in human blood, urine, hair, nail, and fish from the Ankobra and Tano river basins in Southwestern Ghana. Bull. Environ. Contam. Toxicol. 2002, 68, 339–346. [Google Scholar] [CrossRef] [PubMed]
- Murata, K.; Weihe, P.; Araki, S.; Budtz-Jorgensen, E.; Grandjean, P. Evoked potentials in Faroese children prenatally exposed to methylmercury. Neurotoxicol. Teratol. 1999, 21, 471–472. [Google Scholar] [CrossRef]
- Akagi, H.; Castillo, E.S.; Corles-Maramba, N.; Francisco-Rivera, A.T.; Timbang, T.D. Health assessment for mercury exposure among schoolchildren residing near a gold processing and refining plant in Apokon, Tagum, Davao del Norte, Philippines. Sci. Total. Environ. 2000, 259, 31–43. [Google Scholar] [CrossRef]
- Umbangtalad, S.; Parkpian, P.; Visvanathan, C.; Delaune, R.D.; Jugsujinda, A. Assessment of Hg contamination and exposure to miners and schoolchildren at a small-scale gold mining and recovery operation in Thailand. J. Environ. Sci. Health Part A Toxic/Hazard. Subst. Environ. Eng. 2007, 42, 2071–2079. [Google Scholar] [CrossRef] [PubMed]
- Barbieri, F.L.; Cournil, A.; Sarkis, J.E.S.; Benefice, E.; Gardon, J. Hair trace elements concentration to describe polymetallic mining waste exposure in Bolivian Altiplano. Biol. Trace Elem. Res. 2011, 139, 10–23. [Google Scholar] [CrossRef] [PubMed]
- Wang, M.D. Pediatrics; People’s Medical Publishing House (PMPH): Beijing, China, 2002. [Google Scholar]







| Producer | CRM | Matrix | n | Hg Speciation | Obtained Value | Certified Value | Recovery (%) |
|---|---|---|---|---|---|---|---|
| IGGE, CAGS | GBW10020 | Citrus Leaves | 6 | THg (µg/kg) | 149 ± 2 | 150 ± 20 | 99 ± 5 |
| China CDC | ZK020-2 | Human Urine | 13 | THg (µg/L) | 45 ± 4.0 | 49 ± 4.2 | 92 ± 7 |
| IGGE, CAGS | GBW07601 | Human Hair | 28 | THg (µg/kg) | 363 ± 9 | 360 ± 80 | 101 ± 5 |
| Japan, NIES | NIES-13 | Human Hair | 17 | MeHg (mg/kg) | 3.4 ± 0.4 | 3.8 ± 0.4 | 89 ± 10 |
| Canada, NRC | TORT-2 | Lobster | 15 | MeHg (µg/kg) | 132 ± 11 | 152 ± 13 | 87 ± 14 |
| Region | Site | n | Age (years) | Height (cm) | Body Weight (kg) | Description | |
|---|---|---|---|---|---|---|---|
| Male | Female | ||||||
| A | A1 | 8 | 8 | 7.8 ± 0.4 | 118.4 ± 5.1 | 21.9 ± 3.6 | 2 km downstream of the source of Aozhai River |
| A2 | 15 | 15 | 10.1 ± 1.2 | 132.4 ± 6.2 | 27.8 ± 5.1 | 7.5 km downstream of the source of Aozhai River | |
| B | B1 | 15 | 15 | 10.3 ± 1.4 | 141.2 ± 9.5 | 35.3 ± 11.5 | 6 km downstream of the source of Xiaxi River |
| B2 | 13 | 13 | 10.3 ± 0.5 | 136.7 ± 5.1 | 28.3 ± 6.7 | 10 km downstream of the source Xiaxi River | |
| C | C1 | 13 | 16 | 10.6 ± 1.1 | 123.5 ± 7.1 | 30.4 ± 5.2 | 8 km downstream of the source Huangdao River |
| C2 | 15 | 15 | 7.8 ± 2.3 | 136.8 ± 6.8 | 30.3 ± 5.5 | 24 km downstream of the source Huangdao River | |
| D | D1 | 13 | 13 | 10.4 ± 0.6 | 136.4 ± 5.9 | 29.9 ± 5.4 | 2 km upstream of the source of Gaolouping River |
| D2 | 15 | 15 | 10.3 ± 0.7 | 132.6 ± 3.6 | 28.3 ± 4.3 | 14 km downstream of the source Gaolouping River | |
| Sampling Site | Hair | Urine | Rice (Home) | Rice (School) | Location and Description | ||||
|---|---|---|---|---|---|---|---|---|---|
| THg (µg/g) | MeHg (µg/g) | MeHg/THg (%) | THg (μg/g Cr) | THg (ng/g) | MeHg (ng/g) | THg (ng/g) | MeHg (ng/g) | ||
| D | 5.1 ± 3.2 | 3.7 ± 2.2 | 75 ± 16 | 9.1 ± 13 | 81 ± 71 | 14 ± 7.5 | - | - | Near A1 [49], adults |
| F | 2.7 ± 1.2 | 1.9 ± 0.93 | 74 ± 21 | 1.3 ± 0.82 | 21 ± 5.5 | 11 ± 4.5 | - | - | Near A2 [49], adults |
| B | 1.5 ± 0.59 | 0.79 ± 0.35 | 55 ± 14 | 1.1 ± 0.45 | 15 ± 10 | 11 ± 11 | - | - | Near B1 [49], adults |
| C | 1.3 ± 0.89 | 0.80 ± 0.36 | 66 ± 18 | 2.6 ± 5.8 | 8.3 ± 3.3 | 4.7 ± 2.6 | - | - | Near B2 [49], adults |
| A1 | 3.3 ± 1.4 * | 2.5 ± 0.98 ** | 71 ± 14 | 8.6 ± 8.3 ** | 59 ± 41 | 17 ± 7.3 | 40 ± 3.9 | 9.1 ± 1.4 | This research, children |
| A2 | 1.5 ± 0.68 ** | 1.0 ± 0.47 ** | 69 ± 17 | 3.1 ± 3.5 ** | 25 ± 34 | 9.5 ± 12 | 39 ± 3.0 | 8.9 ± 1.2 | This research, children |
| B1 | 1.3 ± 0.63 | 1.2 ± 0.40 ** | 80 ± 17 ** | 1.4 ± 1.5 | 11 ± 8.7 | 6.4 ± 8.7 | 1.4 ± 1.2 | 1.2 ± 0.4 | This research, children |
| B2 | 0.9 ± 0.26 | 0.75 ± 0.26 | 83 ± 14 ** | 0.76 ± 0.91 | 5.9 ± 3.5 | 2.6 ± 2.5 | 3.7 ± 1.2 | 1.6 ± 1.5 | This research, children |
| Location | n | Mean ± SD (μg/g) | Range (μg/g) | Remarks | References |
|---|---|---|---|---|---|
| Wanshan area, China | 227 | 1.40 (GM) | 0.09–5.98 | 5–12 years old, living in mine sites | This research |
| Kayabi, Amazonia, Brazil | 40 | 16.55 ± 11.44 | Children, fish consumers in gold-mining area | [64] | |
| Cururu, Amazonia, Brazil | 86 | 4.76 ± 2.09 | Children, fish consumers in gold-mining area | [64] | |
| Kaburua, Amazonia, Brazil | 77 | 2.87 ± 2.13 | Children, fish consumers in gold-mining area | [64] | |
| Negro river basin, Brazil | 12.56 | 0–44.53 | <15 years old, fish consumers in gold-mining area | [62] | |
| Sao Luiz do Tapajos, Brazil | 40 | 11.41 ± 7.16 | 1.08–28.17 | 0–12 years old, fish consumers in gold-mining area | [66] |
| Barreiras, Brazil | 37 | 5.64 ± 5.55 | 0.43–27.82 | 0–12 years old, fish consumers in gold-mining area | [66] |
| Maranhao, Brazil | 118 | 2.27 ± 1.84 | 0.13–9.54 | Far from prospecting areas, in the city of Abaetetuba | [66] |
| RioTapajo’s, Amazonia, Brazil | 51 | 10.2 | 0.5–41.4 | A traditional riverine village, children eating fish | [65] |
| Rondonia, Amazonia, Brazil | 11 | 6.24 ± 5.89 | 3–9 years old, in Gleba do Rio Preto riverine | [67] | |
| Rondonia, Amazonia, Brazil | 31 | 3.57 ± 1.86 | 3–9 years old, Demarcacao area riverine | [67] | |
| Anwiaso, Ghana | 7 | 4.27 | 0.06–28.3 | Children in gold-mining area | [68] |
| Sahuma, Ghana | 21 | 1.61 | 0.15–5.86 | Children in gold-mining area | [68] |
| Tanoso, Ghana | 11 | 1.21 | 0.07–3.19 | Children in gold-mining area | [68] |
| Elubo, Ghana | 15 | 0.62 | 0.32–2.19 | Children in gold-mining area | [68] |
| Madeira Island, Portugal | 4.09 | 0.38–25.95 | 7 years old | [63] | |
| Island of Madeira, Portugal | 4.08 ± 7.07 | Children working with Hg | [69] | ||
| Island of Madeira, Portugal | 3.82 (GM) | 0.4–26 | 6.4–7.4 years old, fish consumers | [69] | |
| Island of Madeira, Portugal | 2.27 ± 0.83 | Children living in Hg-exposed area | [69] | ||
| Faroe Islands | 917 | 2.99 | 1.7–6.1 | Children, 7-year-old, eating seafood | [61] |
| Tagum, Davao del Norte, Philippines | 0.99 ± 1.6 | 0.28–20.39 | Schoolchildren, near a gold processing and refining plant | [70] | |
| Phanom Pha, Phichit, Thailand | 59 | 0.93 ± 0.01 | Children living near the gold mining area | [71] | |
| Bolivian Altiplano, Bolivian | 242 | 0.49 (GM) | 0.09–8.44 | 7–10 years old, live in polymetallic mining communities | [72] |
© 2016 by the authors; licensee MDPI, Basel, Switzerland. This article is an open access article distributed under the terms and conditions of the Creative Commons Attribution (CC-BY) license (http://creativecommons.org/licenses/by/4.0/).
Share and Cite
Du, B.; Li, P.; Feng, X.; Qiu, G.; Zhou, J.; Maurice, L. Mercury Exposure in Children of the Wanshan Mercury Mining Area, Guizhou, China. Int. J. Environ. Res. Public Health 2016, 13, 1107. https://doi.org/10.3390/ijerph13111107
Du B, Li P, Feng X, Qiu G, Zhou J, Maurice L. Mercury Exposure in Children of the Wanshan Mercury Mining Area, Guizhou, China. International Journal of Environmental Research and Public Health. 2016; 13(11):1107. https://doi.org/10.3390/ijerph13111107
Chicago/Turabian StyleDu, Buyun, Ping Li, Xinbin Feng, Guangle Qiu, Jun Zhou, and Laurence Maurice. 2016. "Mercury Exposure in Children of the Wanshan Mercury Mining Area, Guizhou, China" International Journal of Environmental Research and Public Health 13, no. 11: 1107. https://doi.org/10.3390/ijerph13111107
APA StyleDu, B., Li, P., Feng, X., Qiu, G., Zhou, J., & Maurice, L. (2016). Mercury Exposure in Children of the Wanshan Mercury Mining Area, Guizhou, China. International Journal of Environmental Research and Public Health, 13(11), 1107. https://doi.org/10.3390/ijerph13111107

