The Impact of Different Degrees of Feedback on Physical Activity Levels: A 4-Week Intervention Study
Abstract
:1. Introduction
2. Experimental Section
2.1. Study Design
2.2. Participants
2.3. Intervention
2.3.1. Intervention Arms


2.3.2. Need-Supportive Coaching
2.4. Measures
2.5. Analysis
3. Results and Discussion
3.1. Participants
| Participants Characteristics | MIG | Pedometer G | Display G | Coaching G | p-Value | ||||
|---|---|---|---|---|---|---|---|---|---|
| N (%) | 54 | (24.5) | 55 | (24.9) | 56 | (25.3) | 56 | (25.3) | |
| SOCIODEMOGRAPHIC CHARACTERISTICS | |||||||||
| Gender (%male) a | 46.3 | 45.5 | 46.4 | 44.6 | 0.997 | ||||
| Age in years (mean, SD) b | 41.2 | (11.0) | 43.3 | (10.7) | 44.3 | (9.9) | 40.7 | (9.8) | 0.211 |
| Percent married (%) a | 41.5 | 64.2 | 60.4 | 46.3 | 0.529 | ||||
| Percent with children (%) a | 64.2 | 74.1 | 73.2 | 62.3 | 0.428 | ||||
| Percent white collar (%) a | 67.3 | 80.0 | 75.0 | 76.4 | 0.802 | ||||
| Percent higher education (%) a | 67.3 | 70.9 | 60.7 | 70.9 | 0.990 | ||||
| BIOLOGICAL CHARACTERISTICS | |||||||||
| Body Fat % (mean, SD) b | 28.4 | (6.6) | 29.4 | (6.7) | 29.6 | (6.9) | 29.4 | (5.8) | 0.753 |
| BMI in kg/m² (mean, SD) b | 26.4 | (3.3) | 26.8 | (4.2) | 27.5 | (3.9) | 27.8 | (4.5) | 0.216 |
| SBP in mmHg (mean, SD) b | 122.7 | (16.0) | 126.7 | (17.4) | 125.7 | (16.4) | 120.8 | (15.0) | 0.193 |
| DBP in mmHg (mean, SD) b | 82.3 | (10.3) | 83.2 | (11.4) | 83.3 | (10.4) | 78.6 | (8.5) | 0.056 |
| BEHAVIORIAL CHARACTERISTIC | |||||||||
| Smoking (% smokers) a | 15.1 | 7.4 | 7.1 | 11.1 | 0.557 | ||||
| Units alcohol/week (mean, SD) b | 1.60 | (1.30) | 1.60 | (1.60) | 1.60 | (1.40) | 1.70 | (1.70) | 0.978 |
| FPACQ PA level (mean, SD) b | 1.68 | (0.20) | 1.63 | (0.11) | 1.71 | (0.19) | 1.68 | (0.16) | 0.148 |
| PA OUTCOME by SWA | |||||||||
| Steps/day (mean, SD) b | 9855 | (2983) | 8840 | (2306) | 11079 | (3431) | 9978 | (2940) | 0.001 |
| Min of MVPA/day (mean, SD) b | 116 | (42) | 101 | (45) | 118 | (46) | 107 | (51) | 0.186 |
| Total daily EE (mean, SD) b | 2713 | (402) | 2634 | (484) | 2835 | (533) | 2751 | (534) | 0.187 |
| Active daily EE (mean, SD) b | 595 | (234) | 516 | (245) | 638 | (305) | 578 | (289) | 0.125 |
| PA level (mean, SD) b | 1.46 | (0.14) | 1.39 | (0.16) | 1.47 | (0.16) | 1.41 | (0.17) | 0.030 |

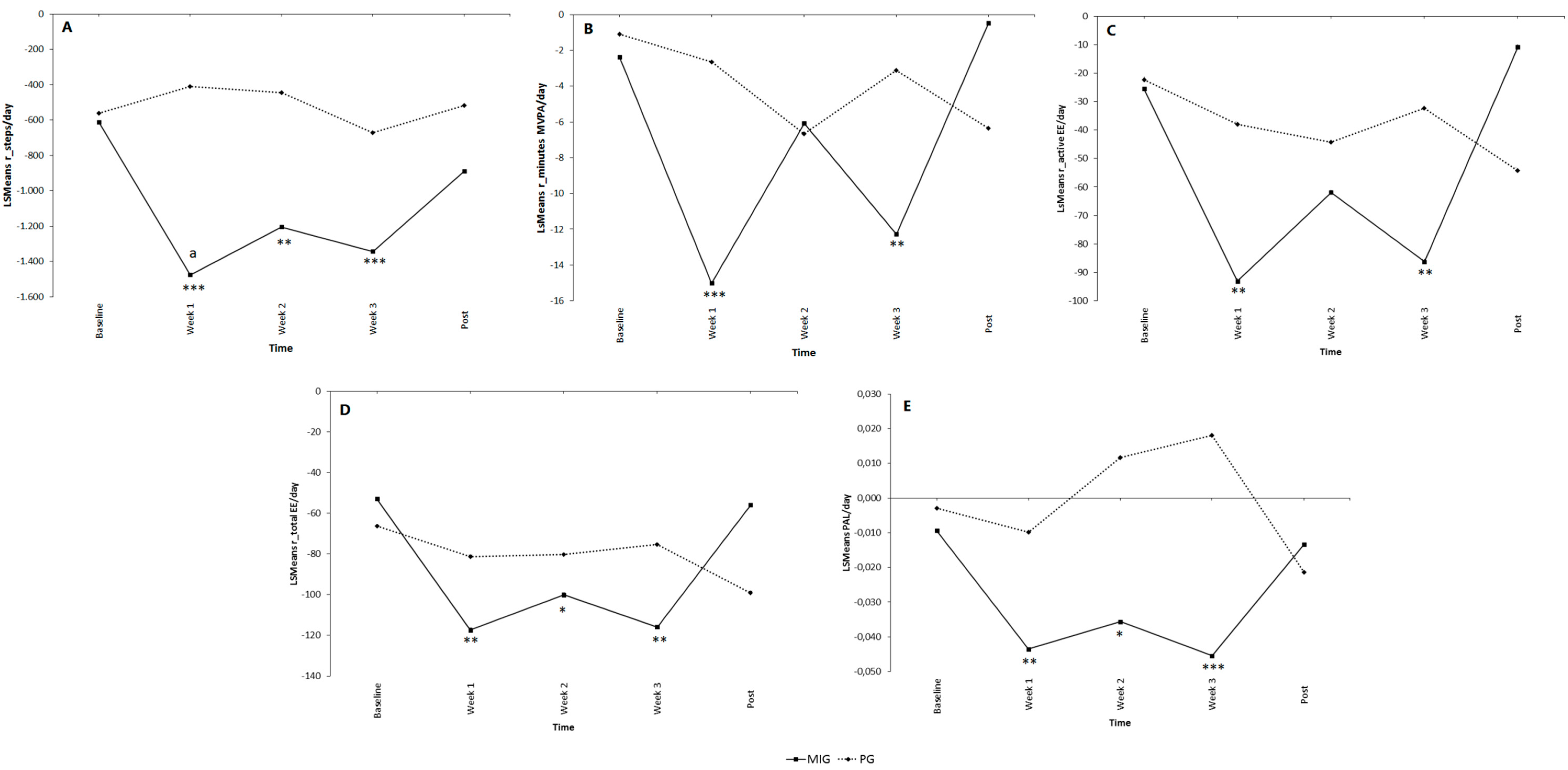
3.2. Comparative Effectiveness of Feedback on Steps vs. No Feedback
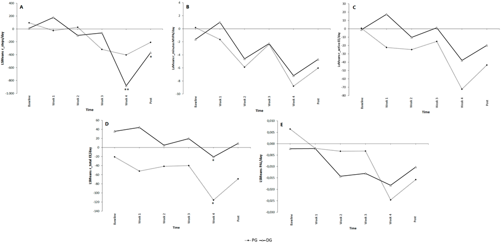
3.3. Comparative Effectiveness of Feedback on Behavior (e.g., Steps) vs. Feedback on Both Behavior (e.g., Steps and Minutes of MVPA) and Behavioral Outcome (e.g., Total Calories Burned)


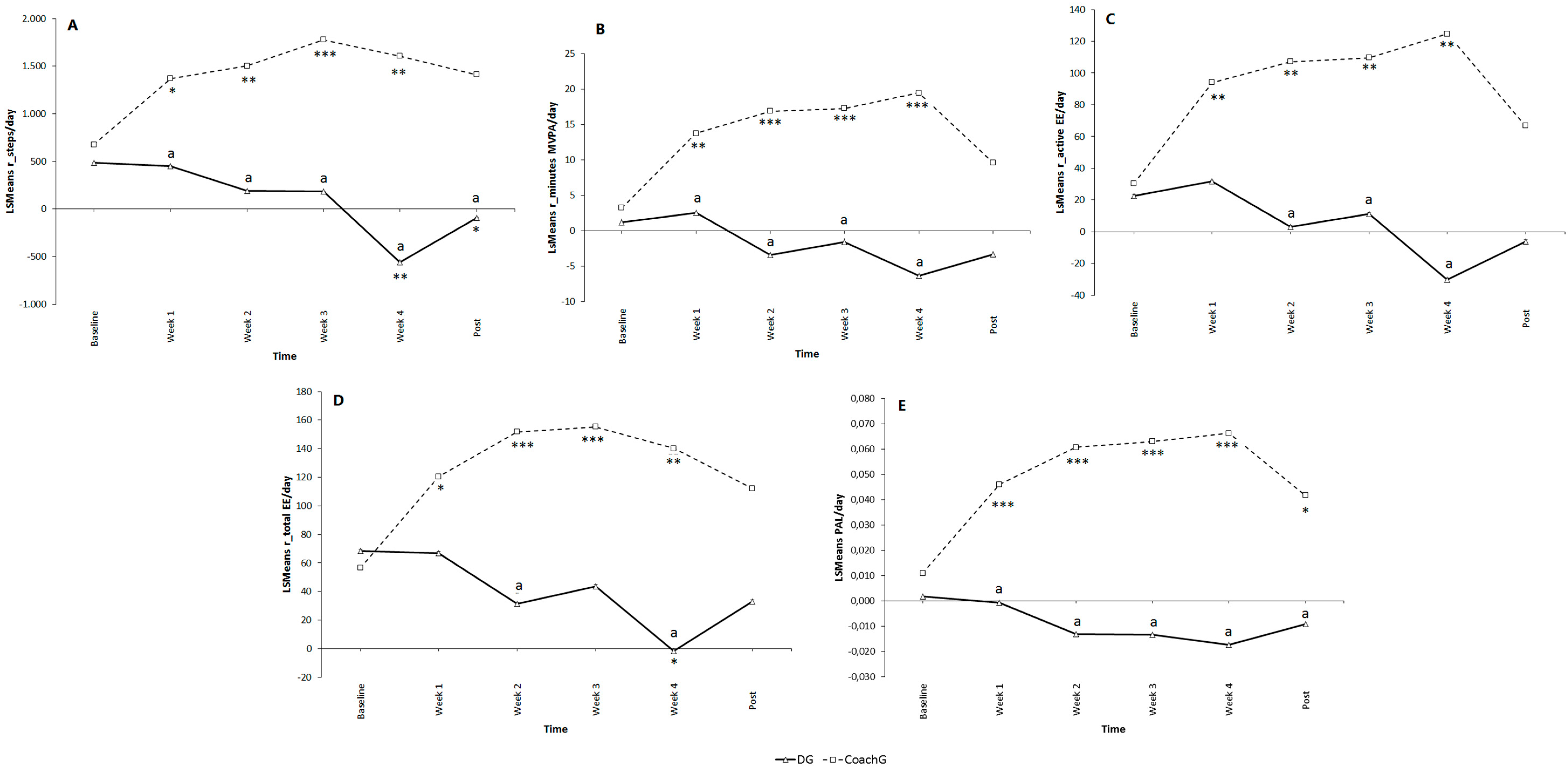
3.4. Added Value of Personal Coaching
4. Conclusions
4.1. Limitations and Strengths
4.2. Conclusions
Acknowledgments
Author Contributions
Conflicts of Interest
References
- Powell, K.E.; Paluch, A.E.; Blair, S.N. Physical activity for health, what kind? How much? How intense? On top of what? Annu. Rev. Public Health 2011, 32, 349–365. [Google Scholar] [CrossRef] [PubMed]
- Vuori, I.M.; Oja, P.; Paronen, O. Physically active commuting to work—Testing its potential for exercise promotion. Med. Sci. Sports Exerc. 1994, 26, 844–850. [Google Scholar] [CrossRef] [PubMed]
- Andersen, R.E.; Blair, S.N.; Cheskin, L.J.; Bartlett, S.J. Encouraging patients to become more physically active, the physician’s role. Ann. Intern. Med. 1997, 127, 395–400. [Google Scholar] [CrossRef] [PubMed]
- Dunn, A.L.; Marcus, B.H.; Kampert, J.B.; Garcia, M.E.; Kohl, H.W.; Blair, S.N. Comparison of lifestyle and structured interventions to increase physical activity and cardiorespiratory fitness, a randomized trial. JAMA 1999, 281, 327–334. [Google Scholar] [CrossRef] [PubMed]
- Warburton, D.E.; Nicol, C.W.; Bredin, S.S. Health benefits of physical activity, the evidence. CMAJ 2006, 174, 801–809. [Google Scholar] [CrossRef] [PubMed]
- Giannuzzi, P.; Mezzani, A.; Saner, H.; Björnstad, H.; Fioretti, P.; Mendes, M.; Cohen-Solal, A.; Dugmore, L.; Hambrecht, R.; Hellemans, I.; et al. Physical activity for primary and secondary prevention. Position paper of the Working Group on Cardiac Rehabilitation and Exercise Physiology of the European Society of Cardiology. Eur. J. Cardiovasc. Prev. Rehabil. 2003, 10, 319–327. [Google Scholar] [CrossRef] [PubMed]
- Caspersen, C.J.; Powell, K.E.; Christenson, G.M. Physical activity, exercise, and physical fitness, definitions and distinctions for health-related research. Public Health Rep. 1985, 100, 126–131. [Google Scholar] [PubMed]
- Wang, J.; Sereika, S.M.; Chasens, E.R.; Ewing, L.J.; Matthews, J.T.; Burke, L.E. Effect of adherence to self-monitoring of diet and physical activity on weight loss in a technology-supported behavioral intervention. Patient Prefer. Adherence 2012, 6, 221–226. [Google Scholar] [CrossRef] [PubMed]
- Lippke, S.; Ziegelmann, J.P. Theory-based health behavior change: Developing, testing, and applying theories for evidence-based interventions. Appl. Psychol. Int. Rev. 2008, 57, 698–716. [Google Scholar] [CrossRef]
- De Silva, D. Evidence, Helping People Help Themselves; The Health Foundation: London, UK, 2011. [Google Scholar]
- Avery, L.; Flynn, D.; van Wersch, A.; Sniehotta, F.F.; Trenell, M.I. Changing physical activity behavior in type 2 diabetes, a systematic review and meta-analysis of behavioral interventions. Diabetes Care 2012, 35, 2681–2689. [Google Scholar] [CrossRef] [PubMed]
- Heath, G.W.; Parra, D.C.; Sarmiento, O.L.; Andersen, L.B.; Owen, N.; Goenka, S.; Montes, F.; Brownson, R.C.; Lancet Physical Activity Series Working Group. Evidence-based intervention in physical activity, lessons from around the world. Lancet 2012, 380, 272–281. [Google Scholar] [CrossRef]
- Conroy, M.B.; Yang, K.; Elci, O.U.; Gabriel, K.P.; Styn, M.A.; Wang, J.; Kriska, A.M.; Sereika, S.M.; Burke, L.E. Physical activity self-monitoring and weight loss: 6-Month results of the SMART trial. Med. Sci. Sports Exerc. 2011, 43, 1568–1574. [Google Scholar] [CrossRef] [PubMed]
- Michie, S.; Ashford, S.; Sniehotta, F.F.; Dombrowski, S.U.; Bishop, A.; French, D.P. A refined taxonomy of behaviour change techniques to help people change their physical activity and healthy eating behaviours, the CALO-RE taxonomy. Psychol. Health 2011, 26, 1479–1498. [Google Scholar] [CrossRef] [PubMed]
- Bassett, D.R., Jr.; Dinesh, J. Use of pedometers and accelerometers in clinical populations, validity and reliability issues. Phys. Ther. Rev. 2010, 15, 135–142. [Google Scholar] [CrossRef]
- Tudor-Locke, C.; Craig, C.L.; Brown, W.J.; Clemes, S.A.; de Cocker, K.; Giles-Corti, B.; Hatano, Y.; Inoue, S.; Matsudo, S.M.; Mutrie, N.; et al. How many steps/day are enough? For adults. Int. J. Behav. Nutr. Phys. Act. 2011, 8. [Google Scholar] [CrossRef]
- Kang, M.; Marshall, S.J.; Barreira, T.V.; Lee, J.O. Effect of pedometer-based physical activity interventions, a meta-analysis. Res. Q. Exerc. Sport 2009, 80, 648–655. [Google Scholar] [CrossRef] [PubMed]
- Bravata, D.M.; Smith-Spangler, C.; Sundaram, V.; Gienger, A.L.; Lin, N.; Lewis, R.; Stave, C.D.; Olkin, I.; Sirard, J.R. Using pedometers to increase physical activity and improve health: A systematic review. JAMA 2007, 298, 2296–2304. [Google Scholar] [CrossRef] [PubMed]
- Baker, G.; Mutrie, N.; Lowry, R. A comparison of goals set in steps using a pedometer and goals set in minutes, A randomized controlled trial. Int. J. Health Promot. Educ. 2011, 49, 60–68. [Google Scholar] [CrossRef]
- Clemes, S.A.; Deans, N.K. Presence and duration of reactivity to pedometers in adults. Med. Sci. Sports Exerc. 2012, 44, 1097–1101. [Google Scholar] [CrossRef] [PubMed]
- Rennie, K.L.; Wareham, N.J. The validation of physical activity instruments for measuring energy expenditure, problems and pitfalls. Public Health Nutr. 1998, 1, 265–271. [Google Scholar] [CrossRef] [PubMed]
- Wilson, D.; Haglund, B. Worklplace performance monitoring: Analysing the combination of physiological and environmental sensory inputs. In Proceedings of the IEE Eurowearable, Burmingham, UK, 4–5 September 2003; pp. 17–22.
- Jones, V.; Bults, R.; de Wijk, R.; Widya, I.; Batista, R.; Hermens, H. Experience with using the sensewear BMS sensor system in the context of a health and wellbeing application. Int. J. Telemed. Appl. 2011. [Google Scholar] [CrossRef] [PubMed]
- Deci, E.L.; Eghrari, H.; Patrick, B.C.; Leone, D.R. Facilitating internalization: The self-determination theory perspective. J. Personal. 1994, 62, 119–142. [Google Scholar] [CrossRef]
- Ryan, R.M.; Deci, E.L. Self-determination theory and the facilitation of intrinsic motivation, social development, and well-being. Am. Psychol. 2000, 55, 68–78. [Google Scholar] [CrossRef] [PubMed]
- Van Hoye, K.; Boen, F.; Lefevre, J. The effects of physical activity feedback on behavior and awareness in employees, study protocol for a randomized controlled trial. Int. J. Telemed. Appl. 2012, 2012. [Google Scholar] [CrossRef] [PubMed]
- Saris, W.H.; Blair, S.N.; van Baak, M.A.; Eaton, S.B.; Davies, P.S.; di Pietro, L.; Fogelholm, M.; Rissanen, A.; Schoeller, D.; Swinburn, B.; et al. How much physical activity is enough to prevent unhealthy weight gain? Outcome of the IASO 1st Stock Conference and consensus statement. Obes. Rev. 2003, 4, 101–114. [Google Scholar] [CrossRef] [PubMed]
- FAO/WHO/UNO. Energy and Protein Requirements; Technical Report Series 724; WHO: Geneva, Switzerland, 1985. [Google Scholar]
- World Health Organization. Global Recommendations on Physical Activity for Health; WHO: Geneva, Switzerland, 2010. [Google Scholar]
- Jakicic, J.M.; Marcus, M.; Gallagher, K.I.; Randall, C.; Thomas, E.; Goss, F.L.; Robertson, R.J. Evaluation of the SenseWear Pro Armband to assess energy expenditure during exercise. Med. Sci. Sports Exerc. 2004, 36, 897–904. [Google Scholar] [CrossRef] [PubMed]
- St-Onge, M.; Mignault, D.; Allison, D.B.; Rabasa-Lhoret, R. Evaluation of a portable device to measure daily energy expenditure in free-living adults. Am. J. Clin. Nutr. 2007, 85, 742–749. [Google Scholar] [PubMed]
- Ainsworth, B.E.; Haskell, W.L.; Whitt, M.C.; Irwin, M.L.; Swartz, A.M.; Strath, S.J.; O’Brien, W.L.; Bassett, D.R., Jr.; Schmitz, K.H.; Emplaincourt, P.O.; et al. Compendium of physical activities, an update of activity codes and MET intensities. Med. Sci. Sports Exerc. 2000, 32, S498–S504. [Google Scholar] [CrossRef] [PubMed]
- Schneider, P.L.; Crouter, S.E.; Bassett, D.R. Pedometer measures of free-living physical activity, comparison of 13 models. Med. Sci. Sports Exerc. 2004, 36, 331–335. [Google Scholar] [CrossRef] [PubMed]
- Crouter, S.E.; Schneider, P.L.; Karabulut, M.; Bassett, D.R. Validity of 10 electronic pedometers for measuring steps, distance, and energy cost. Med. Sci. Sports Exerc. 2003, 35, 1455–1460. [Google Scholar] [CrossRef] [PubMed]
- Fisher, L.D.; Dixon, D.O.; Herson, J.; Frankowski, R.K.; Hearron, M.S.; Peace, K.E.F. Intention to treat in clinical trials. In Statistical Issues in Drug Research and Development; Marcel Dekker: New York, NY, USA, 1990; pp. 331–350. [Google Scholar]
- Cook, D.; Weisberg, S. Residuals and Influence in Regression; Taylor & Francis, Ltd.: New York, NY, USA, 1982. [Google Scholar]
- Matevey, C.; Rogers, G.R.; Dawson, E.; Tudor-Locke, C. Lack of reactivity during pedometer self-monitoring in adults. Meas. Phys. Educ. Exerc. Sci. 2009, 10, 1–11. [Google Scholar] [CrossRef]
- Burke, L.E.; Wang, J.; Sevick, M.A. Self-monitoring in weight loss, a systematic review of the literature. J. Am. Diet. Assoc. 2011, 111, 92–102. [Google Scholar] [CrossRef] [PubMed]
- Godino, J.G.; Watkinson, C.; Corder, K.; Marteau, T.M.; Sutton, S.; Sharp, S.J.; Griffin, S.J.; van Sluijs, E.M.F. Impact of personalised feedback about physical activity on change in objectively measured physical activity (the FAB study): A randomised controlled trial. PLoS ONE 2013. [Google Scholar] [CrossRef] [PubMed]
- Van Hoecke, A.S.; Delecluse, C.; Opdenacker, J.; Lipkens, L.; Martien, S.; Boen, F. Long-Term effectiveness and mediators of a need-supportive physical activity coaching among Flemish sedentary employees. Health Promot. Int. 2013, 28, 407–417. [Google Scholar] [CrossRef] [PubMed]
- Ogilvie, D.; Foster, C.E.; Rothnie, H.; Cavill, N.; Hamilton, V.; Fitzsimons, C.F.; Mutrie, N. Interventions to promote walking: Systematic review. BMJ 2007, 334. [Google Scholar] [CrossRef] [PubMed]
- Opdenacker, J.; Boen, F. Effectiveness of face-to-face versus telephone support in increasing physical activity and mental health among university employees. J. Phys. Act. Health 2008, 5, 830–843. [Google Scholar] [PubMed]
- Sebire, S.J.; Standage, M.; Vansteenkiste, M. Predicting objectively assessed physical activity from the content and regulation of exercise goals, evidence for a mediational model. J. Sport Exerc. Psychol. 2011, 33, 175–197. [Google Scholar] [PubMed]
- Dwyer, T.J.; Alison, J.A.; McKeough, Z.J.; Elkins, M.R.; Bye, P.T. Evaluation of the SenseWear activity monitor during exercise in cystic fibrosis and in health. Respir. Med. 2009, 10, 1511–1517. [Google Scholar] [CrossRef] [PubMed]
- Hill, K.; Dolmage, T.E.; Woon, L.; Goldstein, R.; Brooks, D. Measurement properties of the SenseWear armband in adults with chronic obstructive pulmonary disease. Thorax 2010, 65, 486–491. [Google Scholar] [CrossRef] [PubMed]
- Van Hoye, K.; Mortelmans, P.; Lefevre, J. Validation of the SenseWear Pro3 Armband using an incremental exercise test. J. Strenght Cond. Res. 2014, 28, 2806–2814. [Google Scholar] [CrossRef] [PubMed]
- Scheers, T.; Philippaerts, R.; Lefevre, J. Patterns of physcial activitya and sedentary behavior in normal-weight, overweight and obese adults, as measured with a portable armband device and an electornic diary. Clin. Nutr. 2012, 31, 756–764. [Google Scholar] [CrossRef] [PubMed]
© 2015 by the authors; licensee MDPI, Basel, Switzerland. This article is an open access article distributed under the terms and conditions of the Creative Commons Attribution license (http://creativecommons.org/licenses/by/4.0/).
Share and Cite
Van Hoye, K.; Boen, F.; Lefevre, J. The Impact of Different Degrees of Feedback on Physical Activity Levels: A 4-Week Intervention Study. Int. J. Environ. Res. Public Health 2015, 12, 6561-6581. https://doi.org/10.3390/ijerph120606561
Van Hoye K, Boen F, Lefevre J. The Impact of Different Degrees of Feedback on Physical Activity Levels: A 4-Week Intervention Study. International Journal of Environmental Research and Public Health. 2015; 12(6):6561-6581. https://doi.org/10.3390/ijerph120606561
Chicago/Turabian StyleVan Hoye, Karen, Filip Boen, and Johan Lefevre. 2015. "The Impact of Different Degrees of Feedback on Physical Activity Levels: A 4-Week Intervention Study" International Journal of Environmental Research and Public Health 12, no. 6: 6561-6581. https://doi.org/10.3390/ijerph120606561
APA StyleVan Hoye, K., Boen, F., & Lefevre, J. (2015). The Impact of Different Degrees of Feedback on Physical Activity Levels: A 4-Week Intervention Study. International Journal of Environmental Research and Public Health, 12(6), 6561-6581. https://doi.org/10.3390/ijerph120606561
