Prevalence of Diabetes and Impaired Fasting Glucose in Hypertensive Adults in Rural China: Far from Leveling-Off
Abstract
:1. Introduction
2. Methods
2.1. Study Population
2.2. Data Collection and Measurements
2.3. Definitions
2.4. Statistical Analysis
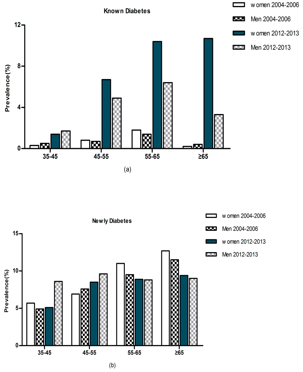
3. Results
| Variables | Men (n = 2892) | Women (n = 3027) | p values |
|---|---|---|---|
| Age (year) | 57.23 ± 10.63 | 57.35 ± 9.87 | 0.647 |
| BMI (kg/m2) | 25.37 ± 3.53 | 25.75 ± 3.77 | <0.001 |
| Diet score | 2.53 ± 1.12 | 2.08 ± 1.10 | <0.001 |
| Sleep duration (h/d) | 7.45 ± 1.71 | 7.03 ± 1.79 | <0.001 |
| Mean systolic blood pressure (mmHg) | 159.06 ± 19.04 | 158.66 ± 20.23 | 0.433 |
| Mean systolic blood pressure (mmHg) # | 158.18 ± 17.42 | 157.01 ± 16.50 | 0.029 |
| Mean diastolic blood pressure (mmHg) | 90.26 ± 11.17 | 87.46 ± 11.00 | <0.001 |
| Mean diastolic blood pressure (mmHg) # | 89.75 ± 10.60 | 86.68 ± 10.17 | <0.001 |
| Fasting plasma glucose (mmol/L) | 6.14 ± 1.86 | 6.18 ± 1.92 | 0.413 |
| Fasting plasma glucose (mmol/L) ## | 5.98 ± 1.49 | 5.94 ± 1.55 | 0.307 |
| Total cholesterol (mmol/L) | 5.31 ± 1.05 | 5.52 ± 1.16 | <0.001 |
| Triglycerides (mmol/L) | 1.80 ± 1.76 | 1.86 ± 1.55 | 0.122 |
| LDL-C (mmol/L) | 2.99 ± 0.82 | 3.16 ± 0.88 | <0.001 |
| HDL-C (mmol/L) | 1.43 ± 0.45 | 1.41 ± 0.36 | 0.240 |
| Current smoking status, % | 1551 (53.6) | 525 (17.3) | <0.001 |
| Current drinking status, % | 1352 (46.7) | 98 (3.2) | <0.001 |
| Ethnicity | 0.347 | ||
| Han | 2742 (94.8) | 2862 (94.5) | |
| Others * | 150 (5.2) | 165 (5.5) | |
| Educational status | <0.001 | ||
| Primary school or below | 1303 (45.1) | 1999 (66.0) | |
| Middle school | 1249 (43.2) | 848 (28.0) | |
| High school or above | 340 (11.8) | 180 (5.9) | |
| Physical activity | <0.001 | ||
| Light | 783 (27.1) | 1229 (40.6) | |
| Moderate | 1935 (66.9) | 1626 (53.7) | |
| Severe | 174 (6.0) | 172 (5.7) | |
| Annual income (CNY/year) | 0.006 | ||
| ≤5000 | 439 (15.2) | 468 (15.5) | |
| 5000–20,000 | 1569 (54.3) | 1746 (57.7) | |
| >20,000 | 884 (30.6) | 813 (26.9) |
| Variables | Normal (n = 2607) | IFG (n = 2409) | Diabetes (n = 903) | p values |
|---|---|---|---|---|
| Age (year) | 56.43 ± 10.76 | 57.74 ± 10.00 | 58.58 ± 9.12 | <0.001 |
| Ethnicity | <0.001 | |||
| Han | 2434 (93.4) | 2313 (96.0) | 857 (94.9) | |
| Others * | 173 (6.6) | 96 (4.0) | 46 (5.1) | |
| Educational status | 0.367 | |||
| Primary school or below | 1433 (55.0) | 1341 (55.7) | 528 (58.5) | |
| Middle school | 936 (35.9) | 865 (35.9) | 296 (32.8) | |
| High school or above | 238 (9.1) | 203 (8.4) | 79 (8.7) | |
| Physical activity | <0.001 | |||
| Light | 841 (32.3) | 799 (33.2) | 372 (41.2) | |
| Moderate | 1630 (62.5) | 1460 (60.6) | 471 (52.2) | |
| Severe | 136 (5.2) | 150 (6.2) | 60 (6.6) | |
| Annual income (dollar/year) | 0.187 | |||
| ≤788 | 417 (16.0) | 362 (15.0) | 128 (14.2) | |
| 788–3152 | 1481 (56.8) | 1337 (55.5) | 497 (55.0) | |
| >3152 | 709 (27.2) | 710 (29.5) | 278 (30.8) | |
| Current smoking (yes) | 962 (36.9) | 854 (35.5) | 260 (28.8) | <0.001 |
| Current drinking (yes) | 583 (22.4) | 671 (27.9) | 196 (21.7) | <0.001 |
| Diet score | 2.30 ± 1.13 | 2.33 ± 1.13 | 2.18 ± 1.12 | 0.003 |
| Sleep duration (h/d) | 7.31 ± 1.73 | 7.18 ± 1.72 | 7.18 ± 1.95 | 0.019 |
| BMI (kg/m2) | 25.22 ± 3.71 | 25.57 ± 3.54 | 26.53 ± 3.66 | <0.001 |
| SBP (mmHg) | 156.94 ± 16.62 | 159.42 ± 17.80 | 159.16 ± 17.77 | <0.001 |
| DBP (mmHg) | 88.14 ± 10.43 | 89.24 ± 10.55 | 88.02 ± 10.87 | 0.04 |
| FPG (mmol/L) | 5.40 ± 0.42 | 6.43 ± 0.24 | 9.17 ± 2.93 | <0.001 |
| Total cholesterol (mmol/L) | 5.26 ± 1.05 | 5.49 ± 1.09 | 5.68 ± 1.26 | <0.001 |
| Triglycerides (mmol/L) | 1.58 ± 1.16 | 1.82 ± 1.46 | 2.59 ± 2.76 | <0.001 |
| LDL-C (mmol/L) | 2.99 ± 0.83 | 3.12 ± 0.85 | 3.22 ± 0.94 | <0.001 |
| HDL-C (mmol/L) | 1.46 ± 0.42 | 1.41 ± 0.40 | 1.32 ± 0.35 | <0.001 |



| Variables | Diabetes * | IFG * | ||
|---|---|---|---|---|
| OR (95% CI) | p values | OR (95% CI) | p values | |
| Gender (Male) | 1.008 (0.825, 1.232) | 0.937 | 1.207 (1.046, 1.392) | 0.010 |
| Race (Han) | 1.297 (0.913, 1.843) | 0.147 | 1.609 (1.239, 2.088) | <0.001 |
| Age (per one year) | 1.022 (1.012, 1.033) | <0.001 | 1.019 (1.012, 1.026) | <0.001 |
| Educational status | ||||
| High school or above | 1.000 (reference) | 1.000 (reference) | ||
| Middle school | 1.035 (0.768, 1.394) | 0.822 | 1.147 (0.926, 1.421) | 0.209 |
| Primary school or below | 0.963 (0.715, 1.296) | 0.802 | 1.097 (0.885, 1.359) | 0.400 |
| Physical activity | ||||
| Severe | 1.000 (reference) | 1.000 (reference) | ||
| Moderate | 0.796 (0.571, 1.110) | 0.179 | 0.837 (0.647, 1.083) | 0.176 |
| Light | 0.950 (0.675, 1.337) | 0.768 | 0.857 (0.669, 1.098) | 0.222 |
| Annual income, dollar/year | ||||
| ≤788 | 1.000 (reference) | 1.000 (reference) | ||
| 788–3152 | 0.810 (0.675, 0.973) | 0.024 | 0.892 (0.781, 1.019) | 0.092 |
| >3152 | 0.662 (0.509, 0.863) | 0.002 | 0.823 (0.681, 0.994) | 0.044 |
| Current smoking | 0.705 (0.583, 0.851) | <0.001 | 0.814 (0.713, 0.929) | 0.002 |
| Current drinking | 1.337 (1.059, 1.688) | 0.015 | 1.381 (1.177, 1.620) | <0.001 |
| Body mass index, kg/m2 | ||||
| <25 | 1.000 (reference) | 1.000 (reference) | ||
| 25–30 | 1.419 (1.190, 1.693) | <0.00 | 1.162 (1.027, 1.313) | 0.017 |
| ≥30 | 2.121 (1.638, 2.746) | <0.001 | 1.288 (1.048, 1.582) | 0.016 |
| Diet score (per one point) | 0.929 (0.864, 0.999) | 0.048 | 1.016 (0.964, 1.070) | 0.553 |
| Sleep duration (per one hour) | 0.962 (0.920, 1.007) | 0.095 | 0.952 (0.922, 0.984) | 0.003 |
| SBP (per one mmHg) | 1.008 (1.003, 1.013) | 0.001 | 0.998 (0.994, 1.001) | 0.998 |
| DBP (per one mmHg) | 0.994 (0.986, 1.003) | 0.204 | 1.009 (1.002,1.015) | 0.009 |
| Total cholesterol, mmol/L | ||||
| <6.21 | 1.000 (reference) | 1.000 (reference) | ||
| ≥6.21 | 1.603 (1.263, 2.035) | <0.001 | 1.457 (1.213, 1.749) | <0.001 |
| Triglycerides, mmol/L | ||||
| <2.26 | 1.000 (reference) | 1.000 (reference) | ||
| ≥2.26 | 2.633 (2.190, 3.165) | <0.001 | 1.147 (0.985, 1.336) | 0.077 |
| LDL-C, mmol/L | ||||
| <4.16 | 1.000 (reference) | 1.000 (reference) | ||
| ≥4.16 | 1.101 (0.809, 1.498) | 0.542 | 1.244 (0.976, 1.586) | 0.078 |
| HDL-C, mmol/L | ||||
| ≥1.03 | 1.000 (reference) | 1.000 (reference) | ||
| <1.03 | 1.409 (1.117, 1.778) | 0.004 | 1.312 (1.095, 1.571) | 0.003 |
4. Discussion
5. Conclusions
Acknowledgments
Author Contributions
Conflicts of Interest
References
- IDF Diabetes Atlas Group. Update of mortality attributable to diabetes for the IDF Diabetes Atlas: Estimates for the year 2011. Diabetes Res. Clin. Pract. 2013, 100, 277–279. [Google Scholar] [CrossRef] [PubMed]
- World Health Organization. Prevention of Diabetes Mellitus Report of a WHO Study Group; World Health Organization: Geneva, Switzerland, 1994. [Google Scholar]
- Preis, S.R.; Hwang, S.J.; Coady, S.; Pencina, M.J.; D’Agostino, R.B., Sr.; Savage, P.J.; Levy, D.; Fox, C.S. Trends in all-cause and cardiovascular disease mortality among women and men with and without diabetes mellitus in the Framingham Heart Study, 1950–2005. Circulation 2009, 119, 1728–1735. [Google Scholar] [CrossRef] [PubMed]
- Abraham, T.M.; Pencina, K.M.; Pencina, M.J.; Fox, C.S. Trends in diabetes incidence: The Framingham Heart Study. Diabetes Care 2015, 38, 482–487. [Google Scholar] [CrossRef] [PubMed]
- Geiss, L.S.; Wang, J.; Cheng, Y.J.; Thompson, T.J.; Barker, L.; Li, Y.; Albright, A.L.; Gregg, E.W. Prevalence and incidence trends for diagnosed diabetes among adults aged 20 to 79 years, United States, 1980–2012. JAMA 2014, 312, 1218–1226. [Google Scholar] [CrossRef] [PubMed]
- Tabaei, B.P.; Chamany, S.; Driver, C.R.; Kerker, B.; Silver, L. Incidence of self-reported diabetes in New York city, 2002, 2004, and 2008. Prev. Chronic Dis. 2012, 9. [Google Scholar] [CrossRef]
- Holden, S.H.; Barnett, A.H.; Peters, J.R.; Jenkins-Jones, S.; Poole, C.D.; Morgan, C.L.; Currie, C.J. The incidence of type 2 diabetes in the United Kingdom from 1991 to 2010. Diabetes Obes. Metab. 2013, 15, 844–852. [Google Scholar] [CrossRef] [PubMed]
- Carstensen, B.; Kristensen, J.K.; Ottosen, P.; Borch-Johnsen, K. Steering Group of the National Diabetes Register. The Danish National Diabetes Register: Trends in incidence, prevalence and mortality. Diabetologia 2008, 51, 2187–2196. [Google Scholar] [CrossRef] [PubMed]
- Yu, S.; Guo, X.; Yang, H.; Zheng, L.; Sun, Y. Metabolic syndrome in hypertensive adults from rural Northeast China: An update. BMC Public Health 2015, 15. [Google Scholar] [CrossRef] [PubMed]
- Sun, G.Z.; Li, Z.; Guo, L.; Zhou, Y.; Yang, H.M.; Sun, Y.X. High prevalence of dyslipidemia and associated risk factors among rural Chinese adults. Lipids Health Dis. 2014, 13. [Google Scholar] [CrossRef] [PubMed]
- Guo, X.; Li, Z.; Guo, L.; Zheng, L.; Yu, S.; Yang, H.; Zou, L.; Zhou, Y.; Zhang, Y.; Zhu, L.; et al. An update on overweight and obesity in rural Northeast China: From lifestyle risk factors to cardiometabolic comorbidities. BMC Public Health 2014, 14. [Google Scholar] [CrossRef] [PubMed]
- Yu, S.; Guo, X.; Yang, H.; Zheng, L.; Sun, Y. An update on the prevalence of metabolic syndrome and its associated factors in rural Northeast China. BMC Public Health 2014, 14. [Google Scholar] [CrossRef] [PubMed]
- Sun, Z.; Zheng, L.; Xu, C.; Zhang, X.; Li, J.; Liu, S.; Li, J.; Hu, D.; Sun, Y. Prevalence of diabetes and impaired fasting glucose in hypertensive adults in rural China. Acta Cardiol. 2009, 64, 351–356. [Google Scholar] [CrossRef] [PubMed]
- Dong, G.; Sun, Z.; Zheng, L.; Li, J.; Zhang, X.; Zhang, X.; Xu, C.; Li, J.; Hu, D.; Sun, Y. Prevalence, awareness, treatment, and control of hypertension in rural adults from Liaoning province, Northeast China. Hypertens. Res. 2007, 30, 951–958. [Google Scholar] [CrossRef] [PubMed]
- O’Brien, E.; Petrie, J.; Littler, W.; de Swiet, M.; Padfield, P.L.; O’Malley, K.; Jamieson, M.; Altman, D.; Bland, M.; Atkins, N. The British Hypertension Society protocol for the evaluation of automated and semi-automated blood pressure measuring devices with special reference to ambulatory systems. J. Hypertens. 1990, 8, 607–619. [Google Scholar] [CrossRef] [PubMed]
- Kim, S.M.; Lee, J.S.; Lee, J.; Na, J.K.; Han, J.H.; Yoon, D.K.; Baik, S.H.; Choi, D.S.; Choi, K.M. Prevalence of diabetes and impaired fasting glucose in Korea: Korean National Health and Nutrition Survey 2001. Diabetes Care 2006, 29, 226–231. [Google Scholar] [CrossRef] [PubMed]
- The Expert Committee on the Diagnosis and Classification of Diabetes Mellitus. Report of the Expert Committee on the Diagnosis and Classification of Diabetes Mellitus. Diabetes Care 1997, 20, 1183–1197. [Google Scholar] [CrossRef] [PubMed]
- American Diabetes Association. Standards of medical care in diabetes—2014. Diabetes Care 2014, 37, S14–S80. [Google Scholar] [CrossRef] [PubMed]
- James, P.A.; Oparil, S.; Carter, B.L.; Cushman, W.C.; Dennison-Himmelfarb, C.; Handler, J.; Lackland, D.T.; LeFevre, M.L.; MacKenzie, T.D.; Ogedegbe, O.; et al. 2014 evidence-based guideline for the management of high blood pressure in adults: Report from the panel members appointed to the Eighth Joint National Committee (JNC 8). JAMA 2014, 311, 507–520. [Google Scholar] [CrossRef] [PubMed]
- World Health Organization. Hypertension Control: Report of a WHO Expert Committee; World Health Organization: Geneva, Switzerland, 1996; Volume 862. [Google Scholar]
- Hu, G.; Tuomilehto, J.; Silventoinen, K.; Barengo, N.; Jousilahti, P. Joint effects of physical activity, body mass index, waist circumference and waist-to-hip ratio with the risk of cardiovascular disease among middle-aged Finnish men and women. Eur. Heart J. 2004, 25, 2212–2219. [Google Scholar] [CrossRef] [PubMed]
- Panagiotakos, D.B.; Pitsavos, C.; Chrysohoou, C.; Risvas, G.; Kontogianni, M.D.; Zampelas, A.; Stefanadis, C. Epidemiology of overweight and obesity in a Greek adult population: The ATTICA Study. Obes. Res. 2004, 12, 1914–1920. [Google Scholar] [CrossRef] [PubMed]
- International Diabetes Federation. Diabetes Atlas, 6th ed.; International Diabetes Federation: Brussels, Belgium, 2013; Available online: http://www.idf.org/sites/default/files/EN_6E_Atlas_Full_0.pdf (accessed on 15 May 2015).
- Pan, X.R.; Yang, W.Y.; Li, G.W.; Liu, J. Prevalence of diabetes and its risk factors in China, 1994. Diabetes Care 1997, 20, 1664–1669. [Google Scholar] [CrossRef] [PubMed]
- National Diabetes Research Group. Diabetes mellitus survey of 300,000 in fourteen provinces and cities of China. Chin. Med. J. 1981, 20, 678–681. [Google Scholar]
- Gu, D.; Reynolds, K.; Duan, X.; Xin, X.; Chen, J.; Wu, X.; Mo, J.; Whelton, P.K.; He, J.; InterASIA Collaborative Group. Prevalence of diabetes and impaired fasting glucose in the Chinese adult population: International Collaborative Study of Cardiovascular Disease in Asia (InterASIA). Diabetologia 2003, 46, 1190–1198. [Google Scholar] [CrossRef] [PubMed]
- Jia, W.P.; Pang, C.; Chen, L.; Bao, Y.Q.; Lu, J.X.; Lu, H.J.; Tang, J.L.; Wu, Y.M.; Zuo, Y.H.; Jiang, S.Y.; et al. Epidemiological characteristics of diabetes mellitus and impaired glucose regulation in a Chinese adult population: The Shanghai Diabetes Studies, a cross-sectional 3-year follow-up study in Shanghai urban communities. Diabetologia 2007, 50, 286–292. [Google Scholar] [CrossRef] [PubMed]
- Xu, Y.; Wang, L.; He, J.; Bi, Y.; Li, M.; Wang, T.; Wang, L.; Jiang, Y.; Dai, M.; Lu, J.; et al. Prevalence and control of diabetes in Chinese adults. JAMA 2013, 310, 948–959. [Google Scholar] [CrossRef] [PubMed]
- Qin, X.; Li, J.; Zhang, Y.; Ma, W.; Fan, F.; Wang, B.; Xing, H.; Tang, G.; Wang, X.; Xu, X.; et al. Prevalence and associated factors of diabetes and impaired fasting glucose in Chinese hypertensive adults aged 45 to 75 years. PLoS ONE 2012, 7. [Google Scholar] [CrossRef] [PubMed]
- Yang, W.; Lu, J.; Weng, J.; Jia, W.; Ji, L.; Xiao, J.; Shan, Z.; Liu, J.; Tian, H.; Ji, Q.; et al. Prevalence of diabetes among men and women in China. N. Engl. J. Med. 2010, 362, 1090–1101. [Google Scholar] [CrossRef] [PubMed]
- Dahlöf, B.; Sever, P.S.; Poulter, N.R.; Wedel, H.; Beevers, D.G.; Caulfield, M.; Collins, R.; Kjeldsen, S.E.; Kristinsson, A.; McInnes, G.T.; et al. Prevention of cardiovascular events with an antihypertensive regimen of amlodipine adding perindopril as required versus atenolol adding bendroflumethiazide as required, in the Anglo-Scandinavian Cardiac Outcomes Trial-Blood Pressure Lowering Arm (ASCOT-BPLA): A multicentre randomised controlled trial. Lancet 2005, 366, 895–906. [Google Scholar] [PubMed]
- Zillich, A.J.; Garg, J.; Basu, S.; Bakris, G.L.; Carter, B.L. Thiazide diuretics, potassium, and the development of diabetes: A quantitative review. Hypertension 2006, 48, 219–224. [Google Scholar] [CrossRef] [PubMed]
- Epstein, M.; Sowers, J.R. Diabetes mellitus and hypertension. Hypertension 1992, 19, 403–418. [Google Scholar] [CrossRef] [PubMed]
- Nayak, B.S.; Sobrian, A.; Latiff, K.; Pope, D.; Rampersad, A.; Lourenço, K.; Samuel, N. The association of age, gender, ethnicity, family history, obesity and hypertension with type 2 diabetes mellitus in Trinidad. Diabetes Metab. Syndr. 2014, 8, 91–95. [Google Scholar] [CrossRef] [PubMed]
- Katulanda, P.; Constantine, G.R.; Mahesh, J.G.; Sheriff, R.; Seneviratne, R.D.; Wijeratne, S.; Wijesuriya, M.; McCarthy, MI.; Adler, A.I.; Matthews, D.R. Prevalence and projections of diabetes and pre-diabetes in adults in Sri Lanka—Sri Lanka Diabetes, Cardiovascular Study (SLDCS). Diabet. Med. 2008, 25, 1062–1069. [Google Scholar] [CrossRef] [PubMed]
- Eliasson, B. Cigarette smoking and diabetes. Prog. Cardiovasc. Dis. 2003, 45, 405–413. [Google Scholar] [CrossRef]
- Sun, K.; Liu, D.; Wang, C.; Ren, M.; Yang, C.; Yan, L. Passive smoke exposure and risk of diabetes: A meta-analysis of prospective studies. Endocrine 2014, 47, 421–427. [Google Scholar] [CrossRef] [PubMed]
- Stein, J.H.; Asthana, A.; Smith, S.S.; Piper, M.E.; Loh, W.Y.; Fiore, M.C.; Baker, T.B. Smoking cessation and the risk of diabetes mellitus and impaired fasting glucose: Three-year outcomes after a quit attempt. PLoS ONE 2014, 9. [Google Scholar] [CrossRef] [PubMed]
© 2015 by the authors; licensee MDPI, Basel, Switzerland. This article is an open access article distributed under the terms and conditions of the Creative Commons Attribution license (http://creativecommons.org/licenses/by/4.0/).
Share and Cite
Yu, S.; Sun, Z.; Zheng, L.; Guo, X.; Yang, H.; Sun, Y. Prevalence of Diabetes and Impaired Fasting Glucose in Hypertensive Adults in Rural China: Far from Leveling-Off. Int. J. Environ. Res. Public Health 2015, 12, 14764-14779. https://doi.org/10.3390/ijerph121114764
Yu S, Sun Z, Zheng L, Guo X, Yang H, Sun Y. Prevalence of Diabetes and Impaired Fasting Glucose in Hypertensive Adults in Rural China: Far from Leveling-Off. International Journal of Environmental Research and Public Health. 2015; 12(11):14764-14779. https://doi.org/10.3390/ijerph121114764
Chicago/Turabian StyleYu, Shasha, Zhaoqing Sun, Liqiang Zheng, Xiaofan Guo, Hongmei Yang, and Yingxian Sun. 2015. "Prevalence of Diabetes and Impaired Fasting Glucose in Hypertensive Adults in Rural China: Far from Leveling-Off" International Journal of Environmental Research and Public Health 12, no. 11: 14764-14779. https://doi.org/10.3390/ijerph121114764
APA StyleYu, S., Sun, Z., Zheng, L., Guo, X., Yang, H., & Sun, Y. (2015). Prevalence of Diabetes and Impaired Fasting Glucose in Hypertensive Adults in Rural China: Far from Leveling-Off. International Journal of Environmental Research and Public Health, 12(11), 14764-14779. https://doi.org/10.3390/ijerph121114764
