Level and Contamination Assessment of Environmentally Sensitive Elements in Smaller than 100 μm Street Dust Particles from Xining, China
Abstract
:1. Introduction
2. Materials and Methods
2.1. Study Area

2.2. Sampling and Analytical Methods
2.3. Methods of Contamination Assessment
2.3.1. Enrichment Factor
| EF | Enrichment Category | Igeo | Pollution Category | PLI | Pollution Category |
|---|---|---|---|---|---|
| EF < 2 | Deficiency to minimal polluted | Igeo ≤ 0 | Unpolluted | 0 < PLI ≤ 1 | Unpolluted |
| 2 ≤ EF < 5 | Moderate polluted | 0 < Igeo ≤ 1 | Unpolluted to moderately polluted | 1 < PLI ≤ 2 | Unpolluted to moderately |
| 5 ≤ EF < 20 | Significant polluted | 1 < Igeo ≤ 2 | Moderately polluted | 2 < PLI ≤ 3 | Moderately polluted |
| 20 ≤ EF < 40 | Very high polluted | 2 < Igeo ≤ 3 | Moderately to strongly polluted | 3 < PLI ≤ 4 | Moderately to highly polluted |
| EF > 40 | Extremely high polluted | 3 < Igeo ≤ 4 | Strongly polluted | 4 < PLI ≤ 5 | Highly polluted |
| 4 < Igeo ≤ 5 | Strongly to extremely polluted | PLI > 5 | Very highly polluted | ||
| Igeo > 5 | Extremely polluted |
2.3.2. Geoaccumulation Index
2.3.3. Pollution Load Index
3. Results and Discussion
3.1. Concentration of ESEs in Smaller than 100 μm Street Dust Particles
| Elements | Min | 5% | 25% | 50% | Mean | 75% | 95% | Max | S.D. | Kurtosis | Skewness | Reference Value |
|---|---|---|---|---|---|---|---|---|---|---|---|---|
| As | 0.8 | 1.8 | 2.7 | 3.3 | 3.6 | 4.1 | 6.7 | 11.1 | 1.5 | 5.9 | 1.8 | 14.0 |
| Co | 27.2 | 34.3 | 41.5 | 49.7 | 50.0 | 56.5 | 67.3 | 110.2 | 11.3 | 3.6 | 1.0 | 10.1 |
| Cu | 15.1 | 20.2 | 30.5 | 37.9 | 40.8 | 47.5 | 76.6 | 115.2 | 16.4 | 3.5 | 1.5 | 22.2 |
| Mn | 150.1 | 351.9 | 385.8 | 405.7 | 408.7 | 425.1 | 506.2 | 623.5 | 47.7 | 8.2 | 0.3 | 580.0 |
| Ni | 16.8 | 18.3 | 19.8 | 21.2 | 22.6 | 22.6 | 30.9 | 74.1 | 6.6 | 30.6 | 5.0 | 29.6 |
| Pb | 24.4 | 34.8 | 41.5 | 48.5 | 52.9 | 56.6 | 85.8 | 233.0 | 21.0 | 29.5 | 4.3 | 20.9 |
| V | 47.4 | 51.5 | 53.6 | 55.5 | 57.1 | 58.7 | 65.2 | 96.8 | 6.0 | 14.6 | 3.0 | 71.8 |
| Zn | 33.1 | 64.4 | 85.9 | 106.9 | 108.9 | 127.1 | 161.8 | 231.1 | 31.3 | 0.9 | 0.6 | 80.3 |

3.2. Assessment Results of the ESEs Contamination in Smaller than 100 μm Street Dust Particles
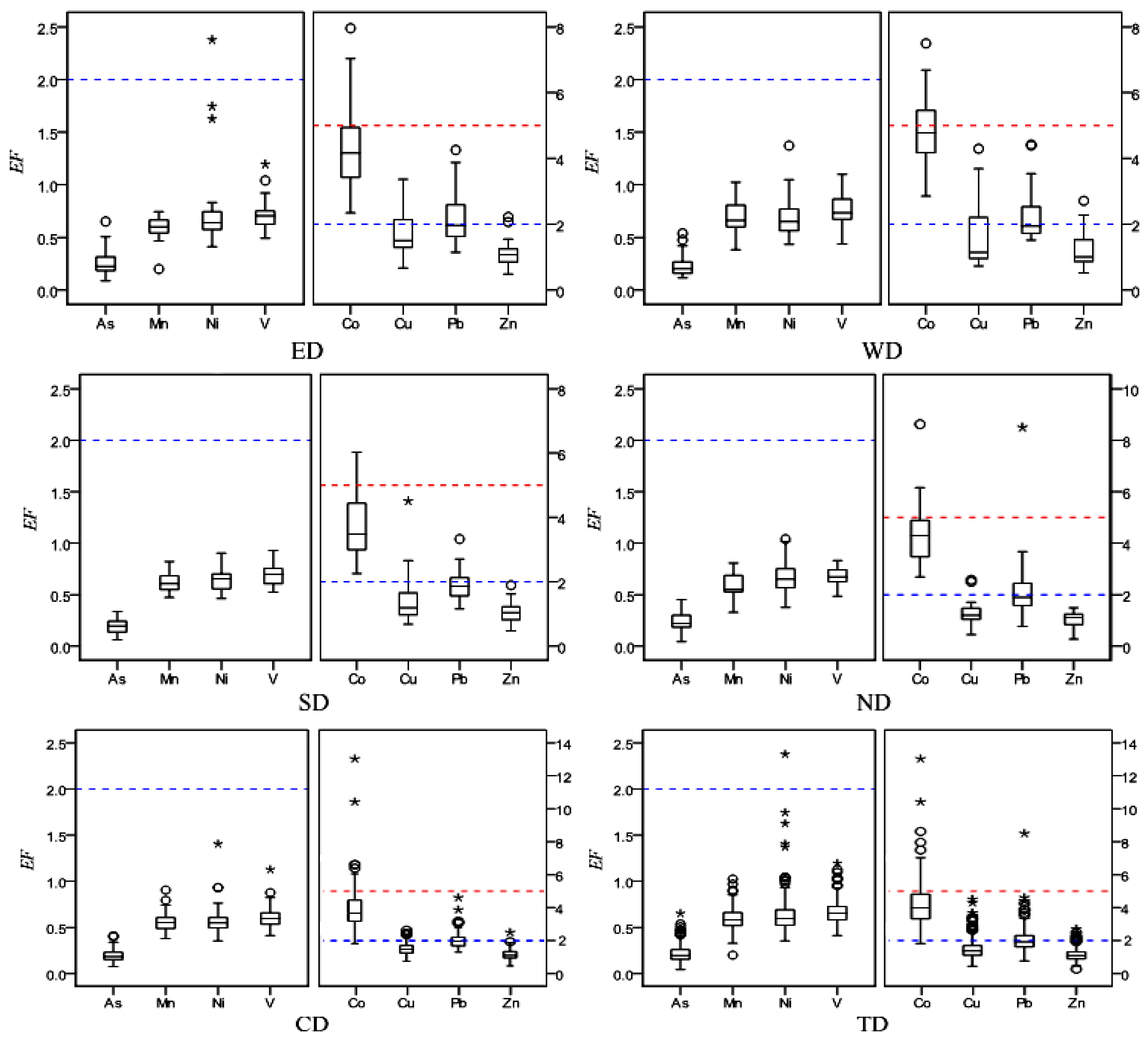
3.2.1. Enrichment Index Assessment Results

3.2.2. Assessment Results of Geoaccumulation Index

3.2.3. Pollution Load Index Assessment Results

4. Conclusions
Acknowledgments
Author Contributions
Conflicts of Interest
References
- Grimm, N.B.; Faeth, S.H.; Golubiewski, N.E.; Redman, C.L.; Wu, J.; Bai, X.; Briggs, J.M. Global change and the ecology of cities. Science 2008, 319, 756–760. [Google Scholar] [CrossRef]
- McKenzie, E.R.; Wong, C.M.; Green, P.G.; Kayhanian, M.; Young, T.M. Size dependent elemental composition of road-associated particles. Sci. Total Environ. 2008, 398, 145–153. [Google Scholar] [CrossRef]
- Tian, P.; Li, Y.; Yang, Z. Effect of rainfall and antecedent dry periods on heavy metal loading of sediments on urban roads. Front. Earth Sci. China 2009, 3, 297–302. [Google Scholar] [CrossRef]
- Zhao, H.; Yin, C.; Chen, M.; Wang, W. Risk assessment of heavy metals in street dust particles to a stream network. Soil Sediment Contam. 2009, 18, 173–183. [Google Scholar] [CrossRef]
- Banerjee, A.D. Heavy metal levels and solid phase speciation in street dusts of Delhi, India. Environ. Poll. 2003, 123, 95–105. [Google Scholar] [CrossRef]
- Zhu, Z.; Li, Z.; Bi, X.; Han, Z.; Yu, G. Response of magnetic properties to heavy metal pollution in dust from three industrial cities in China. J. Hazard. Mater. 2013, 246, 189–198. [Google Scholar]
- Ferreira-Baptista, L.; de Miguel, E. Geochemistry and risk assessment of street dust in Luanda, Angola: A tropical urban environment. Atmos. Environ. 2005, 395, 4501–4512. [Google Scholar] [CrossRef]
- Ahmed, F.; Ishiga, H. Trace metal concentrations in street dusts of Dhaka city, Bangladesh. Atmos. Environ. 2006, 40, 3835–3844. [Google Scholar] [CrossRef]
- De Miguel, E.; Iribarren, I.; Chacón, E.; Ordonez, A.; Charlesworth, S. Risk-based evaluation of the exposure of children to trace elements in playgrounds in Madrid (Spain). Chemosphere 2007, 66, 505–513. [Google Scholar] [CrossRef]
- Lim, H.S.; Lee, J.S.; Chon, H.T.; Sager, M. Heavy metal contamination and health risk assessment in the vicinity of the abandoned Songcheon Au-Ag mine in Korea. J. Geochem. Explor. 2008, 96, 223–230. [Google Scholar] [CrossRef]
- De Miguel, E.; Llamas, J.F.; Chacon, E.; Mazadiego, L.F. Sources and pathways of trace elements in urban environments: A multi-elemental qualitative approach. Sci. Total Environ. 1999, 235, 355–357. [Google Scholar] [CrossRef]
- Sabin, L.D.; Lim, J.H.; Venezia, M.T.; Winer, A.M.; Schiff, K.C.; Stolzenbach, K.D. Dry deposition and resuspension of particle-associated metals near a freeway in Los Angeles. Atmos. Environ. 2006, 40, 7528–7538. [Google Scholar] [CrossRef]
- De Pereira, P.A.; Lopes, W.A.; Carvalho, L.S.; da Rocha, G.O.; de Carvalho Bahia, N.; Loyola, J.; Quiterio, S.L.; Escaleira, V.; Arbilla, G.; de Andrade, J.B. Atmospheric concentrations and dry deposition fluxes of particulate trace metals in Salvador, Bahia, Brazil. Atmos. Environ. 2007, 41, 7837–7850. [Google Scholar] [CrossRef]
- Garnaud, S.; Mouchel, J.M.; Chebbo, G.; Thévenot, D.R. Heavy metal concentrations in dry and wet atmospheric deposits in Paris district: comparison with urban runoff. Sci. Total Environ. 1999, 235, 235–245. [Google Scholar] [CrossRef]
- Yuen, J.Q.; Olin, P.H.; Lim, H.S.; Benner, S.G.; Sutherland, R.A.; Ziegler, A.D. Accumulation of potentially toxic elements in road deposited sediments in residential and light industrial neighborhoods of Singapore. J. Environ. Manage. 2012, 101, 151–163. [Google Scholar] [CrossRef]
- Wei, B.; Yang, L. A review of heavy metal contaminations in urban soils, urban road dusts and agricultural soils from China. Microchem. J. 2010, 94, 99–107. [Google Scholar] [CrossRef]
- Tang, Q.; Liu, G.; Zhou, C.; Zhang, H.; Sun, R. Distribution of environmentally sensitive elements in residential soils near a coal-fired power plant: Potential risks to ecology and children’s health. Chemosphere 2013, 93, 2473–2479. [Google Scholar] [CrossRef]
- Charlesworth, S.; Everett, M.; McCarthy, R.; Ordonez, A.; de Miguel, E. A comparative study of heavy metal concentration and distribution in deposited street dusts in a large and a small urban area: Birmingham and Coventry, West Midlands, UK. Environ. Int. 2003, 29, 563–573. [Google Scholar] [CrossRef]
- Zhao, P.; Feng, Y.; Zhu, T.; Wu, J. Characterizations of resuspended dust in six cities of North China. Atmos. Environ. 2006, 40, 5807–5814. [Google Scholar] [CrossRef]
- Zhang, M.; Wang, H. Concentrations and chemical forms of potentially toxic metals in road-deposited sediments from different zones of Hangzhou, China. J. Environ. Sci. 2009, 21, 625–631. [Google Scholar] [CrossRef]
- McAlister, J.J.; Smith, B.J.; Török, A. Element partitioning and potential mobility within surface dusts on buildings in a polluted urban environment, Budapest. Atmos. Environ. 2006, 40, 6780–6790. [Google Scholar] [CrossRef]
- Tokalıoğlu, Ş.; Kartal, Ş. Multivariate analysis of the data and speciation of heavy metals in street dust samples from the Organized Industrial District in Kayseri (Turkey). Atmos. Environ. 2006, 40, 2797–2805. [Google Scholar] [CrossRef]
- Shi, G.; Chen, Z.; Xu, S.; Zhang, J.; Wang, L.; Bi, C.; Teng, J. Potentially toxic metal contamination of urban soils and roadside dust in Shanghai, China. Environ. Poll. 2008, 156, 251–260. [Google Scholar] [CrossRef]
- Lu, X.; Wang, L.; Lei, K.; Huang, J.; Zhai, Y. Contamination assessment of copper, lead, zinc, manganese and nickel in street dust of Baoji, NW China. J. Hazard. Mater. 2009, 161, 1058–1062. [Google Scholar] [CrossRef]
- Lu, X.; Wang, L.; Li, L.Y.; Lei, K.; Huang, L.; Kang, D. Multivariate statistical analysis of heavy metals in street dust of Baoji, NW China. J. Hazard. Mater. 2010, 173, 744–749. [Google Scholar] [CrossRef]
- Al-Khashman, O. Heavy metal distribution in dust, street dust and soils from the work place in Karak Industrial Estate, Jordan. Atmos. Environ. 2004, 38, 6803–6812. [Google Scholar] [CrossRef]
- Sezgin, N.; Ozcan, H.K.; Demir, G.; Nemlioglu, S.; Bayat, C. Determination of heavy metal concentrations in street dusts in Istanbul E-5 highway. Environ. Int. 2004, 29, 979–985. [Google Scholar] [CrossRef]
- Al-Khashman, O.A. Determination of metal accumulation in deposited street dusts in Amman, Jordan. Environ. Geochem. Health 2007, 29, 1–10. [Google Scholar] [CrossRef]
- Al-Khashman, O.A. The investigation of metal concentrations in street dust samples in Aqaba city, Jordan. Environ. Geochemi. Health 2007, 29, 197–207. [Google Scholar] [CrossRef]
- Faiz, Y.; Tufail, M.; Javed, M.T.; Chaudhry, M.M. Road dust pollution of Cd, Cu, Ni, Pb and Zn along Islamabad Expressway, Pakistan. Microchem. J. 2009, 92, 186–192. [Google Scholar] [CrossRef]
- Ghorbel, M.; Munoz, M.; Courjault-Radé, P.; Destrigneville, C.; de Parseval, P.; Souissi, R.; Souissi, F.; Mammou, A.B.; Abdeljaouad, S. Health risk assessment for human exposure by direct ingestion of Pb, Cd, Zn bearing dust in the former miners’ village of Jebel Ressas (NE Tunisia). Eur. J. Mineral. 2010, 22, 639–649. [Google Scholar] [CrossRef]
- Herngren, L.; Goonetilleke, A.; Ayoko, G.A. Analysis of heavy metals in road-deposited sediments. Anal. Chim. Acta 2006, 571, 270–278. [Google Scholar] [CrossRef]
- Wong, C.S.; Li, X.; Thornton, I. Urban environmental geochemistry of trace metals. Environ. Pollut. 2006, 142, 1–16. [Google Scholar] [CrossRef]
- Zhao, H.; Li, X.; Wang, X.; Tian, D. Grain size distribution of road-deposited sediment and its contribution to heavy metal pollution in urban runoff in Beijing, China. J. Hazard. Mater. 2010, 183, 203–210. [Google Scholar] [CrossRef]
- Walker, T.; Wong, T.H.F. Effectiveness of Street Sweeping for Storm Water Pollution Control. 1999. Available online: http://www.clearwater.asn.au/user-data/resource-files/CRC-Street-Sweep-Eval-1999.pdf (accessed on 12 February 2014).
- Final Report No WH-55; Results of the Nationwide Urban Runoff Program, 4th ed.United States Environmental Protection Agency Water Planning Division (USEPA): Washington, DC, USA, 1983; Volume 1.
- Sartor, J.D.; Gaboury, D.R. Street sweeping as a water pollution control measure: Lessons learned over the past ten years. Sci. Total Environ. 1984, 33, 171–183. [Google Scholar] [CrossRef]
- Han, Y.; Du, P.; Cao, J.; Posmentier, E.S. Multivariate analysis of heavy metal contamination in urban dusts of Xi’an, Central China. Sci. Total Environ. 2006, 355, 176–186. [Google Scholar] [CrossRef]
- Han, L.; Zhuang, G.; Cheng, S.; Wang, Y.; Li, J. Characteristics of re-suspended road dust and its impact on the atmospheric environment in Beijing. Atmos. Environ. 2007, 41, 7485–7499. [Google Scholar] [CrossRef]
- Duong, T.T.; Lee, B.K. Partitioning and mobility behavior of metals in road dusts from national-scale industrial areas in Korea. Atmos. Environ. 2009, 43, 3502–3509. [Google Scholar] [CrossRef]
- Joshi, U.M.; Vijayaraghavan, K.; Balasubramanian, R. Elemental composition of urban street dusts and their dissolution characteristics in various aqueous media. Chemosphere 2009, 77, 526–533. [Google Scholar] [CrossRef]
- Yang, T.; Liu, Q.; Li, H.; Zeng, Q.; Chan, L. Anthropogenic magnetic particles and heavy metals in the road dust: Magnetic identification and its implications. Atmos. Environ. 2010, 44, 1175–1185. [Google Scholar] [CrossRef]
- Fujiwara, F.G.; Gómez, D.R.; Dawidowski, L.; Perelman, P.; Faggi, A. Metals associated with airborne particulate matter in road dust and tree bark collected in a megacity (Buenos Aires, Argentina). Ecol. Indic. 2011, 11, 240–247. [Google Scholar] [CrossRef]
- Kong, S.; Lu, B.; Ji, Y.; Zhao, X.; Chen, L.; Li, Z.; Han, B.; Bai, Z. Levels, risk assessment and sources of PM10 fraction heavy metals in four types dust from a coal-based city. Microchem. J. 2011, 98, 280–290. [Google Scholar] [CrossRef]
- Kartal, Ş.; Aydın, Z.; Tokalıoğlu, Ş. Fractionation of metals in street sediment samples by using the BCR sequential extraction procedure and multivariate statistical elucidation of the data. J. Hazard. Mater. 2006, 132, 80–89. [Google Scholar] [CrossRef]
- Turner, A.; Simmonds, L. Elemental concentrations and metal bioaccessibility in UK household dust. Sci. Total Environ. 2006, 371, 74–81. [Google Scholar] [CrossRef]
- Meza-Figueroa, D. Heavy metal distribution in dust from elementary schools in Hermosillo, Sonora, México. Atmos. Environ. 2007, 41, 276–288. [Google Scholar] [CrossRef]
- CNEMC (China National Environmental Monitoring Centre). The Background Values of Qinghai Soils; Environmental Science Press of China: Beijing, China, 1990. [Google Scholar]
- Tomlinson, D.L.; Wilson, J.G.; Harris, C.R.; Jeffrey, D.W. Problems in the assessment of heavy-metal levels in estuaries and the formation of a pollution index. Helgoländer Meeresuntersuchungen 1980, 33, 566–575. [Google Scholar] [CrossRef]
- Yeung, Z.L.L.; Kwok, R.C.W.; Yu, K.N. Determination of multi-element profiles of street dust using energy dispersive X-ray fluorescence (EDXRF). Appl. Radiat. Isotopes 2003, 58, 339–346. [Google Scholar] [CrossRef]
- Jiries, A.; Hussein, H.; Halaseh, Z. The quality of water and sediments of street runoff in Amman, Jordan. Hydrol. Process. 2001, 15, 815–824. [Google Scholar] [CrossRef]
- Suresh, G.; Ramasamy, V.; Meenakshisundaram, V.; Venkatachalapathy, R.; Ponnusamy, V. Influence of mineralogical and heavy metal composition on natural radionuclide concentrations in the river sediments. Appl. Radiat. Isotopes 2011, 69, 1466–1474. [Google Scholar] [CrossRef]
© 2014 by the authors; licensee MDPI, Basel, Switzerland. This article is an open access article distributed under the terms and conditions of the Creative Commons Attribution license (http://creativecommons.org/licenses/by/3.0/).
Share and Cite
Zhao, N.; Lu, X.; Chao, S. Level and Contamination Assessment of Environmentally Sensitive Elements in Smaller than 100 μm Street Dust Particles from Xining, China. Int. J. Environ. Res. Public Health 2014, 11, 2536-2549. https://doi.org/10.3390/ijerph110302536
Zhao N, Lu X, Chao S. Level and Contamination Assessment of Environmentally Sensitive Elements in Smaller than 100 μm Street Dust Particles from Xining, China. International Journal of Environmental Research and Public Health. 2014; 11(3):2536-2549. https://doi.org/10.3390/ijerph110302536
Chicago/Turabian StyleZhao, Ni, Xinwei Lu, and Shigang Chao. 2014. "Level and Contamination Assessment of Environmentally Sensitive Elements in Smaller than 100 μm Street Dust Particles from Xining, China" International Journal of Environmental Research and Public Health 11, no. 3: 2536-2549. https://doi.org/10.3390/ijerph110302536
APA StyleZhao, N., Lu, X., & Chao, S. (2014). Level and Contamination Assessment of Environmentally Sensitive Elements in Smaller than 100 μm Street Dust Particles from Xining, China. International Journal of Environmental Research and Public Health, 11(3), 2536-2549. https://doi.org/10.3390/ijerph110302536
